• 文献检索
  • 文档翻译
  • 深度研究
  • 学术资讯
  • Suppr Zotero 插件Zotero 插件
  • 邀请有礼
  • 套餐&价格
  • 历史记录
应用&插件
Suppr Zotero 插件Zotero 插件浏览器插件Mac 客户端Windows 客户端微信小程序
定价
高级版会员购买积分包购买API积分包
服务
文献检索文档翻译深度研究API 文档MCP 服务
关于我们
关于 Suppr公司介绍联系我们用户协议隐私条款
关注我们

Suppr 超能文献

核心技术专利:CN118964589B侵权必究
粤ICP备2023148730 号-1Suppr @ 2026

文献检索

告别复杂PubMed语法,用中文像聊天一样搜索,搜遍4000万医学文献。AI智能推荐,让科研检索更轻松。

立即免费搜索

文件翻译

保留排版,准确专业,支持PDF/Word/PPT等文件格式,支持 12+语言互译。

免费翻译文档

深度研究

AI帮你快速写综述,25分钟生成高质量综述,智能提取关键信息,辅助科研写作。

立即免费体验

基于SAFT-γ粗粒化方法的用于预测分子流体界面性质的密度泛函理论。

Density functional theory for the prediction of interfacial properties of molecular fluids within the SAFT-γ coarse-grained approach.

作者信息

Algaba Jesús, Mendiboure Bruno, Gómez-Álvarez Paula, Blas Felipe J

机构信息

Department of Chemical Engineering, Imperial College London South Kensington Campus London SW7 2AZ UK.

Laboratoire des Fluides Complexes et Leurs Reserviors, UMR5150, Université de Pau et des Pays de l'Adour B. P. 1155 Pau Cedex 64014 France.

出版信息

RSC Adv. 2022 Jun 29;12(29):18821-18833. doi: 10.1039/d2ra02162e. eCollection 2022 Jun 22.

DOI:10.1039/d2ra02162e
PMID:35873311
原文链接:https://pmc.ncbi.nlm.nih.gov/articles/PMC9241058/
Abstract

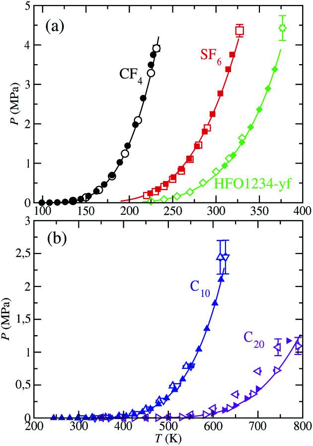
Recently, we have proposed the SAFT-VR Mie MF DFT approach [Algaba , , 2019, , 11937-11948] to investigate systems that exhibit fluid-fluid interfaces. This formalism is based on the combination of the Statistical Associating Fluid Theory for attractive potentials of variable range using Mie intermolecular potential (SAFT-VR Mie) and a Density Functional Theory (DFT) treatment of the free energy. A mean-field approach is used to evaluate the attractive term, neglecting the pair correlations associated to attractions. This theory has been combined with reported SAFT-γ Coarse-Grained (CG) Mie force fields to provide an excellent description of the vapor-liquid interface of carbon dioxide and water pure fluids. The present work is a natural and necessary extension of this previous study. We assess the adequacy of the proposed methodology for dealing with inhomogeneous fluid systems of large complex molecules, in particular carbon tetrafluoride and sulfur hexafluoride greenhouse gases, the refrigerant 2,3,3,3-tetrafluoro-1-propene, and the long-chain -decane and -eicosane hydrocarbons. The obvious diversity of these fluids, their chemical and industrial interest, and the fact of that SAFT-γ CG Mie force fields have been reported for them justify such choice. With the aim of testing the theory, we perform Molecular Dynamics simulations in the canonical ensemble using the direct coexistence technique for the same models. We focus both on bulk, such as coexistence diagrams and vapor pressure curves, as well as interfacial properties, including surface tension. The comparison of the theoretical predictions with the computational results as well as with experimental data taken from the literature demonstrates the reliability and generalization of this method for dealing simultaneously with vapor-liquid equilibrium and interfacial phenomena. Hence, it appears as a potential tool for the interface analysis, with the main advantage over molecular simulation of low computational cost, and solving the experimental difficulties in accurately measuring the surface tension of certain systems.

摘要

最近,我们提出了SAFT-VR Mie MF DFT方法[阿尔加巴,,2019,,11937 - 11948]来研究具有流体-流体界面的系统。这种形式体系基于使用米氏分子间势的可变范围吸引势的统计缔合流体理论(SAFT-VR Mie)与自由能的密度泛函理论(DFT)处理相结合。采用平均场方法来评估吸引项,忽略与吸引力相关的对关联。该理论已与已报道的SAFT-γ粗粒化(CG)米氏力场相结合,以出色地描述二氧化碳和水纯流体的气液界面。目前的工作是这项先前研究自然且必要的扩展。我们评估所提出的方法处理大型复杂分子非均匀流体系统的适用性,特别是四氟化碳和六氟化硫温室气体、制冷剂2,3,3,3 - 四氟 - 1 - 丙烯以及长链癸烷和二十烷烃。这些流体明显的多样性、它们在化学和工业方面的重要性,以及已报道了针对它们的SAFT-γ CG米氏力场这一事实证明了这种选择的合理性。为了检验该理论,我们使用直接共存技术在正则系综中对相同模型进行分子动力学模拟。我们既关注体相性质,如共存相图和蒸气压曲线,也关注界面性质,包括表面张力。将理论预测结果与计算结果以及从文献中获取的实验数据进行比较,证明了该方法在同时处理气液平衡和界面现象方面的可靠性和通用性。因此,它似乎是一种用于界面分析的潜在工具,相对于分子模拟的主要优势在于计算成本低,并且解决了准确测量某些系统表面张力的实验难题。

https://cdn.ncbi.nlm.nih.gov/pmc/blobs/05b9/9241058/a9b647ef25bc/d2ra02162e-f8.jpg
https://cdn.ncbi.nlm.nih.gov/pmc/blobs/05b9/9241058/82b64a2b2276/d2ra02162e-f1.jpg
https://cdn.ncbi.nlm.nih.gov/pmc/blobs/05b9/9241058/faefdf9a84cc/d2ra02162e-f2.jpg
https://cdn.ncbi.nlm.nih.gov/pmc/blobs/05b9/9241058/a5864d33c51a/d2ra02162e-f3.jpg
https://cdn.ncbi.nlm.nih.gov/pmc/blobs/05b9/9241058/5297d7b54ed4/d2ra02162e-f4.jpg
https://cdn.ncbi.nlm.nih.gov/pmc/blobs/05b9/9241058/fac07f524c7d/d2ra02162e-f5.jpg
https://cdn.ncbi.nlm.nih.gov/pmc/blobs/05b9/9241058/26ce7e4f6df8/d2ra02162e-f6.jpg
https://cdn.ncbi.nlm.nih.gov/pmc/blobs/05b9/9241058/bd35d0196a85/d2ra02162e-f7.jpg
https://cdn.ncbi.nlm.nih.gov/pmc/blobs/05b9/9241058/a9b647ef25bc/d2ra02162e-f8.jpg
https://cdn.ncbi.nlm.nih.gov/pmc/blobs/05b9/9241058/82b64a2b2276/d2ra02162e-f1.jpg
https://cdn.ncbi.nlm.nih.gov/pmc/blobs/05b9/9241058/faefdf9a84cc/d2ra02162e-f2.jpg
https://cdn.ncbi.nlm.nih.gov/pmc/blobs/05b9/9241058/a5864d33c51a/d2ra02162e-f3.jpg
https://cdn.ncbi.nlm.nih.gov/pmc/blobs/05b9/9241058/5297d7b54ed4/d2ra02162e-f4.jpg
https://cdn.ncbi.nlm.nih.gov/pmc/blobs/05b9/9241058/fac07f524c7d/d2ra02162e-f5.jpg
https://cdn.ncbi.nlm.nih.gov/pmc/blobs/05b9/9241058/26ce7e4f6df8/d2ra02162e-f6.jpg
https://cdn.ncbi.nlm.nih.gov/pmc/blobs/05b9/9241058/bd35d0196a85/d2ra02162e-f7.jpg
https://cdn.ncbi.nlm.nih.gov/pmc/blobs/05b9/9241058/a9b647ef25bc/d2ra02162e-f8.jpg

相似文献

1
Density functional theory for the prediction of interfacial properties of molecular fluids within the SAFT-γ coarse-grained approach.基于SAFT-γ粗粒化方法的用于预测分子流体界面性质的密度泛函理论。
RSC Adv. 2022 Jun 29;12(29):18821-18833. doi: 10.1039/d2ra02162e. eCollection 2022 Jun 22.
2
SAFT-γ force field for the simulation of molecular fluids: 2. Coarse-grained models of greenhouse gases, refrigerants, and long alkanes.用于分子流体模拟的 SAFT-γ 力场:2. 温室气体、制冷剂和长链烷烃的粗粒模型。
J Phys Chem B. 2013 Mar 7;117(9):2717-33. doi: 10.1021/jp306442b. Epub 2013 Feb 27.
3
An accurate density functional theory for the vapor-liquid interface of chain molecules based on the statistical associating fluid theory for potentials of variable range for Mie chainlike fluids.基于米氏链状流体可变范围势的统计缔合流体理论的链状分子气液界面精确密度泛函理论。
Phys Chem Chem Phys. 2019 Jun 5;21(22):11937-11948. doi: 10.1039/c9cp01597c.
4
SAFT-γ force field for the simulation of molecular fluids. 1. A single-site coarse grained model of carbon dioxide.用于模拟分子流体的 SAFT-γ 力场。1. 二氧化碳的单站点粗粒模型。
J Phys Chem B. 2011 Sep 29;115(38):11154-69. doi: 10.1021/jp204908d. Epub 2011 Sep 2.
5
Classical density functional theory for the prediction of the surface tension and interfacial properties of fluids mixtures of chain molecules based on the statistical associating fluid theory for potentials of variable range.基于变程势统计关联流体理论的链状分子流体混合物表面张力和界面性质的预测的经典密度泛函理论。
J Chem Phys. 2010 Jul 14;133(2):024704. doi: 10.1063/1.3449143.
6
An accurate density functional theory for the vapor-liquid interface of associating chain molecules based on the statistical associating fluid theory for potentials of variable range.基于变程势能统计缔合流体理论的缔合链分子气液界面精确密度泛函理论。
J Chem Phys. 2004 Dec 22;121(24):12740-59. doi: 10.1063/1.1807833.
7
On interfacial properties of tetrahydrofuran: Atomistic and coarse-grained models from molecular dynamics simulation.关于四氢呋喃的界面性质:来自分子动力学模拟的原子和粗粒度模型
J Chem Phys. 2016 Apr 14;144(14):144702. doi: 10.1063/1.4945385.
8
Extension of the SAFT-VR Mie EoS To Model Homonuclear Rings and Its Parametrization Based on the Principle of Corresponding States.将 SAFT-VR Mie EoS 扩展到同核环模型及其基于对应状态原理的参数化。
Langmuir. 2017 Oct 24;33(42):11518-11529. doi: 10.1021/acs.langmuir.7b00976. Epub 2017 Jun 28.
9
Beyond the mean-field approximation for pair correlations in classical density functional theory: Reference inhomogeneous non-associating monomeric fluids for use with SAFT-VR Mie DFT.超越经典密度泛函理论中对关联的平均场近似:用于SAFT-VR Mie DFT的参考非均匀非缔合单体流体。
J Chem Phys. 2024 Sep 7;161(9). doi: 10.1063/5.0219968.
10
SAFT-γ Force Field for the Simulation of Molecular Fluids. 5. Hetero-Group Coarse-Grained Models of Linear Alkanes and the Importance of Intramolecular Interactions.用于分子流体模拟的 SAFT-γ 力场。5. 线性烷烃的杂基团粗粒模型和分子内相互作用的重要性。
J Phys Chem B. 2018 Oct 4;122(39):9161-9177. doi: 10.1021/acs.jpcb.8b04095. Epub 2018 Sep 24.

本文引用的文献

1
SGTPy: A Python Code for Calculating the Interfacial Properties of Fluids Based on the Square Gradient Theory Using the SAFT-VR Mie Equation of State.SGTPy:基于 SAFT-VR Mie 状态方程的使用方形梯度理论计算流体界面性质的 Python 代码。
J Chem Inf Model. 2021 Mar 22;61(3):1244-1250. doi: 10.1021/acs.jcim.0c01324. Epub 2021 Feb 17.
2
Vapour-liquid phase equilibria and interfacial properties of fatty acid methyl esters from molecular dynamics simulations.基于分子动力学模拟的脂肪酸甲酯的气液相平衡和界面性质
Phys Chem Chem Phys. 2020 Mar 7;22(9):4974-4983. doi: 10.1039/c9cp06397h. Epub 2020 Feb 21.
3
An accurate density functional theory for the vapor-liquid interface of chain molecules based on the statistical associating fluid theory for potentials of variable range for Mie chainlike fluids.
基于米氏链状流体可变范围势的统计缔合流体理论的链状分子气液界面精确密度泛函理论。
Phys Chem Chem Phys. 2019 Jun 5;21(22):11937-11948. doi: 10.1039/c9cp01597c.
4
Understanding the interfacial behavior in isopycnic Lennard-Jones mixtures by computer simulations.通过计算机模拟理解等密度 Lennard-Jones 混合物中的界面行为。
Phys Chem Chem Phys. 2016 Jan 14;18(2):1114-24. doi: 10.1039/c5cp06562c.
5
Effect of dispersive long-range corrections to the pressure tensor: the vapour-liquid interfacial properties of the Lennard-Jones system revisited.压力张量的色散长程校正的影响:重新审视 Lennard-Jones 系统的气液界面性质。
J Chem Phys. 2014 Nov 14;141(18):184701. doi: 10.1063/1.4900773.
6
Force-field parameters from the SAFT-γ equation of state for use in coarse-grained molecular simulations.用于粗粒度分子模拟的SAFT-γ状态方程的力场参数。
Annu Rev Chem Biomol Eng. 2014;5:405-27. doi: 10.1146/annurev-chembioeng-061312-103314. Epub 2014 Mar 31.
7
Accurate statistical associating fluid theory for chain molecules formed from Mie segments.由 Mie 片段形成的链分子的精确统计关联流体理论。
J Chem Phys. 2013 Oct 21;139(15):154504. doi: 10.1063/1.4819786.
8
SAFT-γ force field for the simulation of molecular fluids: 2. Coarse-grained models of greenhouse gases, refrigerants, and long alkanes.用于分子流体模拟的 SAFT-γ 力场:2. 温室气体、制冷剂和长链烷烃的粗粒模型。
J Phys Chem B. 2013 Mar 7;117(9):2717-33. doi: 10.1021/jp306442b. Epub 2013 Feb 27.
9
Vapor-liquid interfacial properties of rigid-linear Lennard-Jones chains.刚性线性 Lennard-Jones 链的汽液界面性质。
J Chem Phys. 2012 Aug 28;137(8):084706. doi: 10.1063/1.4746120.
10
SAFT-γ force field for the simulation of molecular fluids. 1. A single-site coarse grained model of carbon dioxide.用于模拟分子流体的 SAFT-γ 力场。1. 二氧化碳的单站点粗粒模型。
J Phys Chem B. 2011 Sep 29;115(38):11154-69. doi: 10.1021/jp204908d. Epub 2011 Sep 2.