Suppr超能文献

使用石墨相氮化碳(gCN)传感器直接灵敏地电化学评估普拉克索。

Direct and Sensitive Electrochemical Evaluation of Pramipexole Using Graphitic Carbon Nitride (gCN) Sensor.

机构信息

Department of Chemistry, School of Advanced Sciences, KLE Technological University, Vidyanagar, Hubballi 580 031, Karnataka, India.

Department of Chemistry, K.L.E. Institute of Technology, Hubballi-580 027, Karnataka, India.

出版信息

Biosensors (Basel). 2022 Jul 22;12(8):552. doi: 10.3390/bios12080552.

Abstract

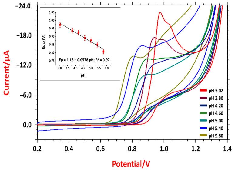
Pramipexole (PMXL) belongs to the benzothiazole class of aromatic compounds and is used in treating Parkinson's disease; however, overdosage leads to some abnormal effects that could trigger severe side effects. Therefore, it demands a sensitive analytical tool for trace level detection. In this work, we successfully developed an electrochemical sensor for the trace level detection of PMXL, using the voltammetric method. For the analysis, graphitic carbon nitride (gCN) was opted and synthesized by using a high-temperature thermal condensation method. The synthesized nanoparticles were employed for surface characterization, using transmission electron microscopy (TEM), X-ray diffraction (XRD), and atomic force microscopy (AFM) techniques. The electrochemical characterization of the material was evaluated by using the electrochemical impedance spectroscopy (EIS) technique to evaluate the solution-electrode interface property. The cyclic voltammetry (CV) behavior of PMXL displayed an anodic peak in the forward scan, indicating that PMXL underwent electrooxidation, and an enhanced detection peak with lower detection potential was achieved for gCN-modified carbon paste electrode (gCN·CPE). The influence of different parameters on the electrochemical behavior was analyzed, revealing the diffusion governing the electrode process with an equal number of hydronium ions and electron involvement. For the fabricated gCN·CPE, good linearity range was noticed from 0.05 to 500 µM, and a lower detection limit (L) of 0.012 µM was achieved for the selected concentration range (0.5 to 30 µM). Selectivity of the electrode in PMXL detection was investigated by conducting an interference study, while the tablet sample analysis demonstrates the sensitive and real-time application of the electrode. The good recovery values for the analysis illustrate the efficiency of the electrode for PMXL analysis.

摘要

普拉克索(PMXL)属于苯并噻唑类芳香族化合物,用于治疗帕金森病;然而,过量会导致一些异常影响,可能引发严重的副作用。因此,需要一种灵敏的分析工具来检测痕量水平。在这项工作中,我们成功地使用伏安法为 PMXL 的痕量检测开发了一种电化学传感器。对于分析,选择并通过高温热缩合法合成了石墨相氮化碳(gCN)。使用透射电子显微镜(TEM)、X 射线衍射(XRD)和原子力显微镜(AFM)技术对合成的纳米粒子进行了表面表征。通过电化学阻抗谱(EIS)技术评估了材料的电化学特性,以评估溶液-电极界面特性。PMXL 的循环伏安(CV)行为在正向扫描中显示出一个阳极峰,表明 PMXL 经历了电氧化,并且在 gCN 修饰的碳糊电极(gCN·CPE)上实现了具有更低检测电位的增强检测峰。分析了不同参数对电化学行为的影响,表明扩散控制着电极过程,其中涉及等量的氢离子和电子。对于制造的 gCN·CPE,在 0.05 到 500 µM 的范围内注意到了良好的线性范围,并且对于所选浓度范围(0.5 到 30 µM),检测限(L)达到了 0.012 µM。通过进行干扰研究,研究了电极在 PMXL 检测中的选择性,而片剂样品分析则展示了电极的敏感和实时应用。分析的良好回收率值说明了电极对 PMXL 分析的效率。

https://cdn.ncbi.nlm.nih.gov/pmc/blobs/5d23/9394362/990b0af1c8e7/biosensors-12-00552-g001.jpg

文献检索

告别复杂PubMed语法,用中文像聊天一样搜索,搜遍4000万医学文献。AI智能推荐,让科研检索更轻松。

立即免费搜索

文件翻译

保留排版,准确专业,支持PDF/Word/PPT等文件格式,支持 12+语言互译。

免费翻译文档

深度研究

AI帮你快速写综述,25分钟生成高质量综述,智能提取关键信息,辅助科研写作。

立即免费体验