• 文献检索
  • 文档翻译
  • 深度研究
  • 学术资讯
  • Suppr Zotero 插件Zotero 插件
  • 邀请有礼
  • 套餐&价格
  • 历史记录
应用&插件
Suppr Zotero 插件Zotero 插件浏览器插件Mac 客户端Windows 客户端微信小程序
定价
高级版会员购买积分包购买API积分包
服务
文献检索文档翻译深度研究API 文档MCP 服务
关于我们
关于 Suppr公司介绍联系我们用户协议隐私条款
关注我们

Suppr 超能文献

核心技术专利:CN118964589B侵权必究
粤ICP备2023148730 号-1Suppr @ 2026

文献检索

告别复杂PubMed语法,用中文像聊天一样搜索,搜遍4000万医学文献。AI智能推荐,让科研检索更轻松。

立即免费搜索

文件翻译

保留排版,准确专业,支持PDF/Word/PPT等文件格式,支持 12+语言互译。

免费翻译文档

深度研究

AI帮你快速写综述,25分钟生成高质量综述,智能提取关键信息,辅助科研写作。

立即免费体验

应对特定类型网络物理攻击影响的安全子系统可靠性模型。

Reliability model of the security subsystem countering to the impact of typed cyber-physical attacks.

作者信息

Kovtun Viacheslav, Izonin Ivan, Gregus Michal

机构信息

Vinnytsia National Technical University, Vinnytsia, 21000, Ukraine.

Lviv Polytechnic National University, Lviv, 79013, Ukraine.

出版信息

Sci Rep. 2022 Jul 27;12(1):12849. doi: 10.1038/s41598-022-17254-4.

DOI:10.1038/s41598-022-17254-4
PMID:35896812
原文链接:https://pmc.ncbi.nlm.nih.gov/articles/PMC9329338/
Abstract

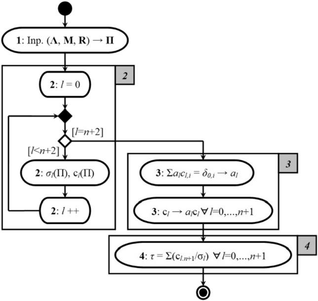
The article's main contribution is the description of the process of the security subsystem countering the impact of typed cyber-physical attacks as a model of end states in continuous time. The input parameters of the model are the flow intensities of typed cyber-physical attacks, the flow intensities of possible cyber-immune reactions, and the set of probabilities of neutralization of cyber-physical attacks. The set of admissible states of the info-communication system is described taking into account possible variants of the development of the modeled process. The initial parameters of the model are the probabilities of the studied system in the appropriate states at a particular moment. The dynamics of the info-communication system's life cycle are embodied in the form of a matrix of transient probabilities. The mentioned matrix connects the initial parameters in the form of a system of Chapman's equations. The article presents a computationally efficient concept based on Gershgorin's theorems to solve such a system of equations with given initiating values. Based on the presented scientific results, the article proposes the concept of calculating the time to failure as an indicator of the reliability of the info-communication system operating under the probable impact of typical cyber-physical attacks. The adequacy of the model and concepts presented in the article is proved by comparing a statically representative amount of empirical and simulated data. We emphasize that the main contribution of the research is the description of the process of the security subsystem countering the impact of typed cyber-physical attacks as a model of end states in continuous time. Based on the created model, the concept of computationally efficient solution of Chapman's equation system based on Gershgorin's theorems and calculating time to failure as an indicator of the reliability of the info-communication system operating under the probable impact of typed cyber-physical attacks are formalized. These models and concepts are the highlights of the research.

摘要

本文的主要贡献在于将安全子系统应对类型化网络物理攻击影响的过程描述为连续时间内的终态模型。该模型的输入参数包括类型化网络物理攻击的流量强度、可能的网络免疫反应的流量强度以及网络物理攻击的中和概率集。考虑到建模过程发展的可能变体,描述了信息通信系统的一组可允许状态。该模型的初始参数是所研究系统在特定时刻处于适当状态的概率。信息通信系统生命周期的动态性以转移概率矩阵的形式体现。上述矩阵以查普曼方程组的形式连接初始参数。本文基于格什戈林定理提出了一种计算效率高的概念,用于求解具有给定初始值的此类方程组。基于所呈现的科学成果,本文提出了将故障时间作为在典型网络物理攻击可能影响下运行的信息通信系统可靠性指标的计算概念。通过比较具有统计代表性的大量经验数据和模拟数据,证明了本文所提出模型和概念的充分性。我们强调,该研究的主要贡献在于将安全子系统应对类型化网络物理攻击影响的过程描述为连续时间内的终态模型。基于所创建的模型,基于格什戈林定理的查普曼方程组的高效计算解概念以及将故障时间作为在类型化网络物理攻击可能影响下运行的信息通信系统可靠性指标的计算概念得以形式化。这些模型和概念是该研究的亮点。

https://cdn.ncbi.nlm.nih.gov/pmc/blobs/0442/9329338/bfec314c8f77/41598_2022_17254_Fig6_HTML.jpg
https://cdn.ncbi.nlm.nih.gov/pmc/blobs/0442/9329338/20843466f4dd/41598_2022_17254_Fig1_HTML.jpg
https://cdn.ncbi.nlm.nih.gov/pmc/blobs/0442/9329338/0a0b5eb6b24c/41598_2022_17254_Fig2_HTML.jpg
https://cdn.ncbi.nlm.nih.gov/pmc/blobs/0442/9329338/117c0a0e5f5f/41598_2022_17254_Fig3_HTML.jpg
https://cdn.ncbi.nlm.nih.gov/pmc/blobs/0442/9329338/685d31a559a6/41598_2022_17254_Fig4_HTML.jpg
https://cdn.ncbi.nlm.nih.gov/pmc/blobs/0442/9329338/5f364269353e/41598_2022_17254_Fig5_HTML.jpg
https://cdn.ncbi.nlm.nih.gov/pmc/blobs/0442/9329338/bfec314c8f77/41598_2022_17254_Fig6_HTML.jpg
https://cdn.ncbi.nlm.nih.gov/pmc/blobs/0442/9329338/20843466f4dd/41598_2022_17254_Fig1_HTML.jpg
https://cdn.ncbi.nlm.nih.gov/pmc/blobs/0442/9329338/0a0b5eb6b24c/41598_2022_17254_Fig2_HTML.jpg
https://cdn.ncbi.nlm.nih.gov/pmc/blobs/0442/9329338/117c0a0e5f5f/41598_2022_17254_Fig3_HTML.jpg
https://cdn.ncbi.nlm.nih.gov/pmc/blobs/0442/9329338/685d31a559a6/41598_2022_17254_Fig4_HTML.jpg
https://cdn.ncbi.nlm.nih.gov/pmc/blobs/0442/9329338/5f364269353e/41598_2022_17254_Fig5_HTML.jpg
https://cdn.ncbi.nlm.nih.gov/pmc/blobs/0442/9329338/bfec314c8f77/41598_2022_17254_Fig6_HTML.jpg

相似文献

1
Reliability model of the security subsystem countering to the impact of typed cyber-physical attacks.应对特定类型网络物理攻击影响的安全子系统可靠性模型。
Sci Rep. 2022 Jul 27;12(1):12849. doi: 10.1038/s41598-022-17254-4.
2
Trusted Operation of Cyber-Physical Processes Based on Assessment of the System's State and Operating Mode.基于系统状态和运行模式评估的网络物理过程可信运行。
Sensors (Basel). 2023 Feb 10;23(4):1996. doi: 10.3390/s23041996.
3
The functional safety assessment of cyber-physical system operation process described by Markov chain.用马尔可夫链描述的网络物理系统运行过程的功能安全评估。
Sci Rep. 2022 Apr 30;12(1):7089. doi: 10.1038/s41598-022-11193-w.
4
Cyber-attacks in the next-generation cars, mitigation techniques, anticipated readiness and future directions.下一代汽车中的网络攻击、缓解技术、预期就绪情况和未来方向。
Accid Anal Prev. 2020 Dec;148:105837. doi: 10.1016/j.aap.2020.105837. Epub 2020 Oct 26.
5
Cooperative control for cyber-physical multi-agent networked control systems with unknown false data-injection and replay cyber-attacks.具有未知虚假数据注入和重放网络攻击的信息物理多智能体网络控制系统的协同控制
ISA Trans. 2021 Apr;110:1-14. doi: 10.1016/j.isatra.2020.10.002. Epub 2020 Oct 6.
6
Influence of Human Factors on Cyber Security within Healthcare Organisations: A Systematic Review.人为因素对医疗机构网络安全的影响:系统综述。
Sensors (Basel). 2021 Jul 28;21(15):5119. doi: 10.3390/s21155119.
7
Dataset of anomalies and malicious acts in a cyber-physical subsystem.网络物理子系统中的异常和恶意行为数据集。
Data Brief. 2017 Jul 20;14:186-191. doi: 10.1016/j.dib.2017.07.038. eCollection 2017 Oct.
8
Detecting and Localizing Cyber-Physical Attacks in Water Distribution Systems without Records of Labeled Attacks.在没有标记攻击记录的情况下检测和定位供水管网中的网络物理攻击。
Sensors (Basel). 2022 Aug 12;22(16):6035. doi: 10.3390/s22166035.
9
Stochastic forecasting of variable small data as a basis for analyzing an early stage of a cyber epidemic.作为分析网络疫情早期阶段基础的可变小数据的随机预测。
Sci Rep. 2023 Dec 20;13(1):22810. doi: 10.1038/s41598-023-49007-2.
10
Influence of cyber-attacks on longitudinal safety of connected and automated vehicles.网络攻击对联网和自动驾驶车辆纵向安全的影响。
Accid Anal Prev. 2018 Dec;121:148-156. doi: 10.1016/j.aap.2018.09.016. Epub 2018 Sep 21.

引用本文的文献

1
AI security and cyber risk in IoT systems.物联网系统中的人工智能安全与网络风险。
Front Big Data. 2024 Oct 10;7:1402745. doi: 10.3389/fdata.2024.1402745. eCollection 2024.
2
Zero-determinant strategy in stochastic Stackelberg asymmetric security game.零行列式策略在随机 Stackelberg 非对称安全博弈中的应用。
Sci Rep. 2023 Jul 12;13(1):11308. doi: 10.1038/s41598-023-38460-8.

本文引用的文献

1
Secure control design for nonlinear cyber-physical systems under DoS, replay, and deception cyber-attacks with multiple transmission channels.具有多传输通道的拒绝服务、重放和欺骗性网络攻击下非线性网络物理系统的安全控制设计
ISA Trans. 2022 Sep;128(Pt B):294-308. doi: 10.1016/j.isatra.2021.11.033. Epub 2021 Dec 13.
2
Hidden Markov model and Chapman Kolmogrov for protein structures prediction from images.用于从图像预测蛋白质结构的隐马尔可夫模型和查普曼-柯尔莫哥洛夫方程
Comput Biol Chem. 2017 Jun;68:231-244. doi: 10.1016/j.compbiolchem.2017.04.003. Epub 2017 Apr 13.