• 文献检索
  • 文档翻译
  • 深度研究
  • 学术资讯
  • Suppr Zotero 插件Zotero 插件
  • 邀请有礼
  • 套餐&价格
  • 历史记录
应用&插件
Suppr Zotero 插件Zotero 插件浏览器插件Mac 客户端Windows 客户端微信小程序
定价
高级版会员购买积分包购买API积分包
服务
文献检索文档翻译深度研究API 文档MCP 服务
关于我们
关于 Suppr公司介绍联系我们用户协议隐私条款
关注我们

Suppr 超能文献

核心技术专利:CN118964589B侵权必究
粤ICP备2023148730 号-1Suppr @ 2026

文献检索

告别复杂PubMed语法,用中文像聊天一样搜索,搜遍4000万医学文献。AI智能推荐,让科研检索更轻松。

立即免费搜索

文件翻译

保留排版,准确专业,支持PDF/Word/PPT等文件格式,支持 12+语言互译。

免费翻译文档

深度研究

AI帮你快速写综述,25分钟生成高质量综述,智能提取关键信息,辅助科研写作。

立即免费体验

内源性催产素水平的变化及外源性催产素给药对多囊卵巢综合征模型大鼠体重变化和摄食量的影响。

Changes in Endogenous Oxytocin Levels and the Effects of Exogenous Oxytocin Administration on Body Weight Changes and Food Intake in Polycystic Ovary Syndrome Model Rats.

机构信息

Department of Obstetrics and Gynecology, Institute of Biomedical Sciences, Graduate School, Tokushima University, Tokushima 770-8501, Japan.

Department of Renal and Genitourinary Surgery, Graduate School of Medicine, Hokkaido University, Sapporo 060-0808, Japan.

出版信息

Int J Mol Sci. 2022 Jul 26;23(15):8207. doi: 10.3390/ijms23158207.

DOI:10.3390/ijms23158207
PMID:35897783
原文链接:https://pmc.ncbi.nlm.nih.gov/articles/PMC9330807/
Abstract

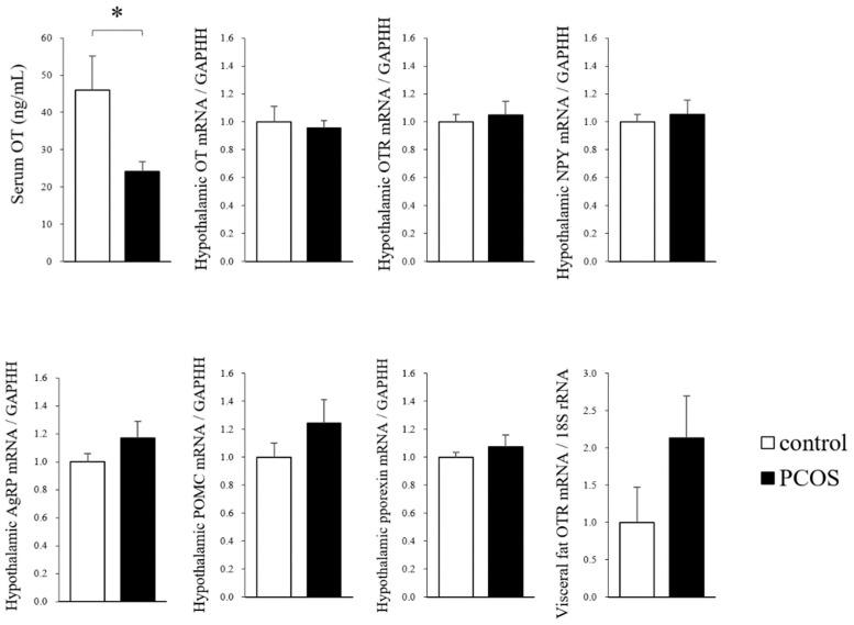
Polycystic ovary syndrome (PCOS) is frequently seen in females of reproductive age and is associated with metabolic disorders that are exacerbated by obesity. Although body weight reduction programs via diet and lifestyle changes are recommended for modifying reproductive and metabolic phenotypes, the drop-out rate is high. Thus, an efficacious, safe, and continuable treatment method is needed. Recent studies have shown that oxytocin (OT) reduces body weight gain and food intake, and promotes lipolysis in some mammals, including humans (especially obese individuals), without any adverse effects. In the present study, we evaluated the changes in endogenous OT levels, and the effects of acute and chronic OT administration on body weight changes, food intake, and fat mass using novel dihydrotestosterone-induced PCOS model rats. We found that the serum OT level was lower in PCOS model rats than in control rats, whereas the hypothalamic OT mRNA expression level did not differ between them. Acute intraperitoneal administration of OT during the dark phase reduced the body weight gain and food intake in PCOS model rats, but these effects were not observed in control rats. In contrast, chronic administration of OT decreased the food intake in both the PCOS model rats and control rats. These findings indicate that OT may be a candidate medicine that is efficacious, safe, and continuable for treating obese PCOS patients.

摘要

多囊卵巢综合征(PCOS)在育龄女性中较为常见,与肥胖加重的代谢紊乱有关。尽管通过饮食和生活方式改变来减肥的方案推荐用于改善生殖和代谢表型,但退出率很高。因此,需要一种有效、安全且可持续的治疗方法。最近的研究表明,催产素(OT)可减少某些哺乳动物(包括人类,尤其是肥胖个体)的体重增加和食物摄入,并促进脂肪分解,而无任何不良反应。在本研究中,我们使用新型二氢睾酮诱导的 PCOS 模型大鼠评估了内源性 OT 水平的变化,以及急性和慢性 OT 给药对体重变化、食物摄入和脂肪量的影响。我们发现,与对照组大鼠相比,PCOS 模型大鼠的血清 OT 水平较低,而两者的下丘脑 OT mRNA 表达水平无差异。OT 在暗期经腹腔内急性给药可减少 PCOS 模型大鼠的体重增加和食物摄入,但在对照组大鼠中未观察到这些作用。相反,OT 的慢性给药减少了 PCOS 模型大鼠和对照组大鼠的食物摄入。这些发现表明,OT 可能是一种有效、安全且可持续的治疗肥胖 PCOS 患者的候选药物。

https://cdn.ncbi.nlm.nih.gov/pmc/blobs/fe7d/9330807/da69a2e68832/ijms-23-08207-g005.jpg
https://cdn.ncbi.nlm.nih.gov/pmc/blobs/fe7d/9330807/8b375d6fb901/ijms-23-08207-g001.jpg
https://cdn.ncbi.nlm.nih.gov/pmc/blobs/fe7d/9330807/917abaa3a178/ijms-23-08207-g002.jpg
https://cdn.ncbi.nlm.nih.gov/pmc/blobs/fe7d/9330807/e28a20a55e57/ijms-23-08207-g003.jpg
https://cdn.ncbi.nlm.nih.gov/pmc/blobs/fe7d/9330807/bb186cae21b7/ijms-23-08207-g004.jpg
https://cdn.ncbi.nlm.nih.gov/pmc/blobs/fe7d/9330807/da69a2e68832/ijms-23-08207-g005.jpg
https://cdn.ncbi.nlm.nih.gov/pmc/blobs/fe7d/9330807/8b375d6fb901/ijms-23-08207-g001.jpg
https://cdn.ncbi.nlm.nih.gov/pmc/blobs/fe7d/9330807/917abaa3a178/ijms-23-08207-g002.jpg
https://cdn.ncbi.nlm.nih.gov/pmc/blobs/fe7d/9330807/e28a20a55e57/ijms-23-08207-g003.jpg
https://cdn.ncbi.nlm.nih.gov/pmc/blobs/fe7d/9330807/bb186cae21b7/ijms-23-08207-g004.jpg
https://cdn.ncbi.nlm.nih.gov/pmc/blobs/fe7d/9330807/da69a2e68832/ijms-23-08207-g005.jpg

相似文献

1
Changes in Endogenous Oxytocin Levels and the Effects of Exogenous Oxytocin Administration on Body Weight Changes and Food Intake in Polycystic Ovary Syndrome Model Rats.内源性催产素水平的变化及外源性催产素给药对多囊卵巢综合征模型大鼠体重变化和摄食量的影响。
Int J Mol Sci. 2022 Jul 26;23(15):8207. doi: 10.3390/ijms23158207.
2
The effects of chronic oxytocin administration on body weight and food intake in DHT-induced PCOS model rats.慢性给予催产素对双氢睾酮诱导的多囊卵巢综合征模型大鼠体重和食物摄入量的影响。
Gynecol Endocrinol. 2020 Jan;36(1):55-60. doi: 10.1080/09513590.2019.1631276. Epub 2019 Jun 21.
3
Androgen Excess Increases Food Intake in a Rat Polycystic Ovary Syndrome Model by Downregulating Hypothalamus Insulin and Leptin Signaling Pathways Preceding Weight Gain.雄激素过多通过降低下丘脑胰岛素和瘦素信号通路导致大鼠多囊卵巢综合征模型体重增加前的食物摄入增加。
Neuroendocrinology. 2022;112(10):966-981. doi: 10.1159/000521236. Epub 2021 Nov 30.
4
Effects of oxytocin and antagonist antidote atosiban on body weight and food intake of female mice, .催产素和拮抗剂解毒剂阿托西班对雌性小鼠体重和食物摄入量的影响 。 (你提供的原文最后标点等似乎不完整,这是按现有内容翻译的)
Metabol Open. 2021 Nov 2;12:100146. doi: 10.1016/j.metop.2021.100146. eCollection 2021 Dec.
5
Effects of gonadal status and the estrogen milieu on hypothalamic oxytocin gene expression and serum oxytocin levels in female rats.卵巢状态和雌激素环境对雌性大鼠下丘脑催产素基因表达和血清催产素水平的影响。
Horm Behav. 2021 Jul;133:105005. doi: 10.1016/j.yhbeh.2021.105005. Epub 2021 Jun 8.
6
Oxytocin treatment reduced food intake and body fat and ameliorated obesity in ovariectomized female rats.催产素治疗可减少食物摄入和体脂肪,改善去卵巢雌性大鼠的肥胖。
Neuropeptides. 2019 Jun;75:49-57. doi: 10.1016/j.npep.2019.03.002. Epub 2019 Mar 14.
7
Intranasal oxytocin reduces weight gain in diet-induced obese prairie voles.鼻内注射催产素可减少饮食诱导肥胖的草原田鼠的体重增加。
Physiol Behav. 2018 Nov 1;196:67-77. doi: 10.1016/j.physbeh.2018.08.007. Epub 2018 Aug 23.
8
Chronic oxytocin administration inhibits food intake, increases energy expenditure, and produces weight loss in fructose-fed obese rhesus monkeys.慢性催产素给药可抑制摄食,增加能量消耗,并导致果糖喂养肥胖恒河猴体重减轻。
Am J Physiol Regul Integr Comp Physiol. 2015 Mar 1;308(5):R431-8. doi: 10.1152/ajpregu.00441.2014. Epub 2014 Dec 24.
9
Metabolic, behavioral, and reproductive effects of vertical sleeve gastrectomy in an obese rat model of polycystic ovary syndrome.垂直袖状胃切除术对多囊卵巢综合征肥胖大鼠模型的代谢、行为及生殖影响。
Obes Surg. 2014 Jun;24(6):866-76. doi: 10.1007/s11695-013-1153-2.
10
Effects of peripheral oxytocin administration on body weight, food intake, adipocytes, and biochemical parameters in peri- and postmenopausal female rats.外周给予催产素对绝经前和绝经后雌性大鼠体重、食物摄入、脂肪细胞和生化参数的影响。
Endocr J. 2021 Jan 28;68(1):7-16. doi: 10.1507/endocrj.EJ19-0586. Epub 2020 Sep 2.

引用本文的文献

1
Variability in Oxytocin Blood Levels in Rats: A Review and Experimental Insights.大鼠催产素血液水平的变异性:综述与实验见解
Clin Psychopharmacol Neurosci. 2025 Aug 31;23(3):500-512. doi: 10.9758/cpn.25.1273. Epub 2025 Apr 22.
2
The Effects of Testosterone on Hypothalamic and Serum Oxytocin Levels Are Affected by the Estrogen Milieu in Female Rats.睾酮对下丘脑和血清催产素水平的影响受到雌性大鼠雌激素环境的影响。
Nutrients. 2024 Aug 2;16(15):2533. doi: 10.3390/nu16152533.
3
The Role of Oxytocin in Polycystic Ovary Syndrome: A Systematic Review.

本文引用的文献

1
A novel PCOS rat model and an evaluation of its reproductive, metabolic, and behavioral phenotypes.一种新型多囊卵巢综合征大鼠模型及其生殖、代谢和行为表型评估。
Reprod Med Biol. 2021 Oct 2;21(1):e12416. doi: 10.1002/rmb2.12416. eCollection 2022 Jan.
2
Effects of peripheral oxytocin administration on body weight, food intake, adipocytes, and biochemical parameters in peri- and postmenopausal female rats.外周给予催产素对绝经前和绝经后雌性大鼠体重、食物摄入、脂肪细胞和生化参数的影响。
Endocr J. 2021 Jan 28;68(1):7-16. doi: 10.1507/endocrj.EJ19-0586. Epub 2020 Sep 2.
3
The effects of chronic oxytocin administration on body weight and food intake in DHT-induced PCOS model rats.
催产素在多囊卵巢综合征中的作用:一项系统评价
Curr Issues Mol Biol. 2024 May 25;46(6):5223-5241. doi: 10.3390/cimb46060313.
4
Stress responses to bacterial and viral mimetics in polycystic ovary syndrome model rats.多囊卵巢综合征模型大鼠对细菌和病毒模拟物的应激反应。
Brain Behav Immun Health. 2024 Apr 9;38:100772. doi: 10.1016/j.bbih.2024.100772. eCollection 2024 Jul.
5
Psychological symptoms and brain activity alterations in women with PCOS and their relation to the reduced quality of life: a narrative review.多囊卵巢综合征(PCOS)女性的心理症状和大脑活动改变及其与生活质量下降的关系:一项叙述性综述。
J Endocrinol Invest. 2024 Jul;47(7):1-22. doi: 10.1007/s40618-024-02329-y. Epub 2024 Mar 15.
6
Age-Dependent Changes in the Effects of Androgens on Female Metabolic and Body Weight Regulation Systems in Humans and Laboratory Animals.年龄依赖性变化对人类和实验动物中雄激素对女性代谢和体重调节系统的影响。
Int J Mol Sci. 2023 Nov 21;24(23):16567. doi: 10.3390/ijms242316567.
7
Developmental Changes in Hypothalamic and Serum Oxytocin Levels in Prenatally Normally Nourished and Undernourished Rats.发育过程中正常营养和营养不良的大鼠下丘脑和血清催产素水平的变化。
Nutrients. 2023 Jun 16;15(12):2768. doi: 10.3390/nu15122768.
8
Changes in Serum Oxytocin Levels under Physiological and Supraphysiological Gonadal Steroid Hormone Conditions in Women of Reproductive Age: A Preliminary Study.育龄期女性在生理和超生理性腺类固醇激素条件下血清催产素水平的变化:一项初步研究。
Nutrients. 2022 Dec 16;14(24):5350. doi: 10.3390/nu14245350.
慢性给予催产素对双氢睾酮诱导的多囊卵巢综合征模型大鼠体重和食物摄入量的影响。
Gynecol Endocrinol. 2020 Jan;36(1):55-60. doi: 10.1080/09513590.2019.1631276. Epub 2019 Jun 21.
4
Oxytocin treatment reduced food intake and body fat and ameliorated obesity in ovariectomized female rats.催产素治疗可减少食物摄入和体脂肪,改善去卵巢雌性大鼠的肥胖。
Neuropeptides. 2019 Jun;75:49-57. doi: 10.1016/j.npep.2019.03.002. Epub 2019 Mar 14.
5
The Anorexigenic Neural Pathways of Oxytocin and Their Clinical Implication.催产素的厌食性神经通路及其临床意义。
Neuroendocrinology. 2018;107(1):91-104. doi: 10.1159/000489263. Epub 2018 Apr 16.
6
The prevalence of polycystic ovary syndrome in reproductive-aged women of different ethnicity: a systematic review and meta-analysis.不同种族育龄妇女多囊卵巢综合征的患病率:一项系统评价和荟萃分析。
Oncotarget. 2017 Jul 12;8(56):96351-96358. doi: 10.18632/oncotarget.19180. eCollection 2017 Nov 10.
7
Impact of sex, fat distribution and initial body weight on oxytocin's body weight regulation.性别、脂肪分布和初始体重对催产素体重调节的影响。
Sci Rep. 2017 Aug 17;7(1):8599. doi: 10.1038/s41598-017-09318-7.
8
Chronic hindbrain administration of oxytocin is sufficient to elicit weight loss in diet-induced obese rats.对饮食诱导的肥胖大鼠进行慢性后脑催产素给药足以引发体重减轻。
Am J Physiol Regul Integr Comp Physiol. 2017 Oct 1;313(4):R357-R371. doi: 10.1152/ajpregu.00169.2017. Epub 2017 Jul 26.
9
Oxytocin's inhibitory effect on food intake is stronger in obese than normal-weight men.催产素对肥胖男性食物摄入量的抑制作用比对正常体重男性更强。
Int J Obes (Lond). 2016 Nov;40(11):1707-1714. doi: 10.1038/ijo.2016.149. Epub 2016 Aug 24.
10
The Pathogenesis of Polycystic Ovary Syndrome (PCOS): The Hypothesis of PCOS as Functional Ovarian Hyperandrogenism Revisited.多囊卵巢综合征(PCOS)的发病机制:重新审视PCOS作为功能性卵巢雄激素过多症的假说
Endocr Rev. 2016 Oct;37(5):467-520. doi: 10.1210/er.2015-1104. Epub 2016 Jul 26.