Suppr超能文献

通过超快X射线衍射探测钆铁石榴石异质结构中的低温纳米级热传输。

Low-temperature nanoscale heat transport in a gadolinium iron garnet heterostructure probed by ultrafast x-ray diffraction.

作者信息

Sri Gyan Deepankar, Mannix Danny, Carbone Dina, Sumpter James L, Geprägs Stephan, Dietlein Maxim, Gross Rudolf, Jurgilaitis Andrius, Pham Van-Thai, Coudert-Alteirac Hélène, Larsson Jörgen, Haskel Daniel, Strempfer Jörg, Evans Paul G

机构信息

University of Wisconsin-Madison, Madison, Wisconsin 53706, USA.

MAX IV Laboratory, Lund University, P.O. Box 118, SE-221 00 Lund, Sweden.

出版信息

Struct Dyn. 2022 Jul 28;9(4):045101. doi: 10.1063/4.0000154. eCollection 2022 Jul.

Abstract

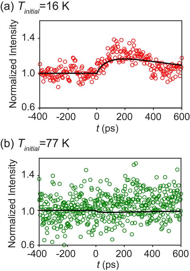
Time-resolved x-ray diffraction has been used to measure the low-temperature thermal transport properties of a Pt/GdFeO//GdGaO metal/oxide heterostructure relevant to applications in spin caloritronics. A pulsed femtosecond optical signal produces a rapid temperature rise in the Pt layer, followed by heat transport into the GdFeO (GdIG) thin film and the GdGaO (GGG) substrate. The time dependence of x-ray diffraction from the GdIG layer was tracked using an accelerator-based femtosecond x-ray source. The ultrafast diffraction measurements probed the intensity of the GdIG (1 -1 2) x-ray reflection in a grazing-incidence x-ray diffraction geometry. The comparison of the variation of the diffracted x-ray intensity with a model including heat transport and the temperature dependence of the GdIG lattice parameter allows the thermal conductance of the Pt/GdIG and GdIG//GGG interfaces to be determined. Complementary synchrotron x-ray diffraction studies of the low-temperature thermal expansion properties of the GdIG layer provide a precise calibration of the temperature dependence of the GdIG lattice parameter. The interfacial thermal conductance of the Pt/GdIG and GdIG//GGG interfaces determined from the time-resolved diffraction study is of the same order of magnitude as previous reports for metal/oxide and epitaxial dielectric interfaces. The thermal parameters of the Pt/GdIG//GGG heterostructure will aid in the design and implementation of thermal transport devices and nanostructures.

摘要

时间分辨X射线衍射已被用于测量与自旋热电子学应用相关的Pt/GdFeO//GdGaO金属/氧化物异质结构的低温热输运特性。一个脉冲飞秒光信号在Pt层中产生快速的温度上升,随后热量传输到GdFeO(GdIG)薄膜和GdGaO(GGG)衬底中。使用基于加速器的飞秒X射线源跟踪来自GdIG层的X射线衍射的时间依赖性。超快衍射测量在掠入射X射线衍射几何结构中探测GdIG(1 -1 2)X射线反射的强度。将衍射X射线强度的变化与包括热传输和GdIG晶格参数的温度依赖性的模型进行比较,可以确定Pt/GdIG和GdIG//GGG界面的热导率。对GdIG层低温热膨胀特性的补充同步加速器X射线衍射研究提供了GdIG晶格参数温度依赖性的精确校准。从时间分辨衍射研究中确定的Pt/GdIG和GdIG//GGG界面的界面热导率与先前关于金属/氧化物和外延介电界面的报道处于同一数量级。Pt/GdIG//GGG异质结构的热参数将有助于热输运器件和纳米结构的设计与实现。

https://cdn.ncbi.nlm.nih.gov/pmc/blobs/03b1/9337877/e445d8b858c1/SDTYAE-000009-045101_1-g001.jpg

文献检索

告别复杂PubMed语法,用中文像聊天一样搜索,搜遍4000万医学文献。AI智能推荐,让科研检索更轻松。

立即免费搜索

文件翻译

保留排版,准确专业,支持PDF/Word/PPT等文件格式,支持 12+语言互译。

免费翻译文档

深度研究

AI帮你快速写综述,25分钟生成高质量综述,智能提取关键信息,辅助科研写作。

立即免费体验