Suppr超能文献

日粮精粗比影响牦牛瘤胃细菌群落组成及代谢组

Dietary Concentrate-to-Forage Ratio Affects Rumen Bacterial Community Composition and Metabolome of Yaks.

作者信息

Yi Simeng, Dai Dongwen, Wu Hao, Chai Shatuo, Liu Shujie, Meng Qingxiang, Zhou Zhenming

机构信息

State Key Laboratory of Animal Nutrition, College of Animal Science and Technology, China Agricultural University, Beijing, China.

Qinghai Academy of Animal and Veterinary Sciences, Qinghai University, Xining, China.

出版信息

Front Nutr. 2022 Jul 14;9:927206. doi: 10.3389/fnut.2022.927206. eCollection 2022.

Abstract

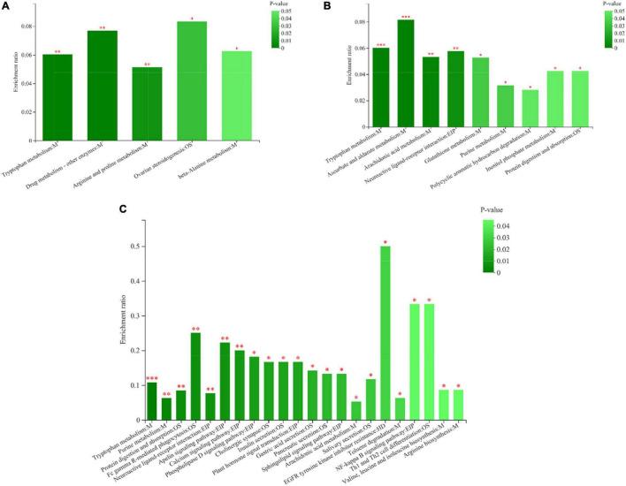
Changes in dietary composition affect the rumen microbiota in ruminants. However, information on the effects of dietary concentrate-to-forage ratio changes on yak rumen bacteria and metabolites is limited. This study characterized the effect of three different dietary concentrate-to-forage ratios (50:50, C50 group; 65:35, C65 group; 80:20, C80 group) on yak rumen fluid microbiota and metabolites using 16S rRNA gene sequencing and liquid chromatography-mass spectrometry (LC-MS) analyses. Rumen fermentation parameters and the abundance of rumen bacteria were affected by changes in the dietary concentrate-to-forage ratio, and there was a strong correlation between them. At the genus level, higher relative abundances of , , , , and were observed with a high dietary concentrate-to-forage ratio ( < 0.05). Combined metabolomic and enrichment analyses showed that changes in the dietary concentrate-to-forage ratio significantly affected rumen metabolites related to amino acid metabolism, protein digestion and absorption, carbohydrate metabolism, lipid metabolism, and purine metabolism. Compared with the C50 group, 3-methylindole, pantothenic acid, D-pantothenic acid, and 20-hydroxy-leukotriene E4 were downregulated in the C65 group, while spermine and ribose 1-phosphate were upregulated. Compared to the C50 group, Xanthurenic acid, tyramine, ascorbic acid, D-glucuronic acid, 6-keto-prostaglandin F1a, lipoxin B4, and deoxyadenosine monophosphate were upregulated in the C80 group, while 3-methylindole and 20-hydroxy-leukotriene E4 were downregulated. All metabolites (Xanthurenic acid, L-Valine, N-Acetyl-L-glutamate 5-semialdehyde, N-Acetyl-L-glutamic acid, Tyramine, 6-Keto-prostaglandin F1a, Lipoxin B4, Xanthosine, Thymine, Deoxyinosine, and Uric acid) were upregulated in the C80 group compared with the C65 group. Correlation analysis of microorganisms and metabolites provided new insights into the function of rumen bacteria, as well as a theoretical basis for formulating more scientifically appropriate feeding strategies for yak.

摘要

日粮组成的变化会影响反刍动物的瘤胃微生物群。然而,关于日粮精粗比变化对牦牛瘤胃细菌和代谢产物影响的信息有限。本研究采用16S rRNA基因测序和液相色谱 - 质谱联用(LC - MS)分析方法,表征了三种不同日粮精粗比(50:50,C50组;65:35,C65组;80:20,C80组)对牦牛瘤胃液微生物群和代谢产物的影响。瘤胃发酵参数和瘤胃细菌丰度受日粮精粗比变化的影响,且二者之间存在强相关性。在属水平上,高日粮精粗比时(P < 0.05),观察到[此处原文缺失具体菌属名称]、[此处原文缺失具体菌属名称]、[此处原文缺失具体菌属名称]、[此处原文缺失具体菌属名称]和[此处原文缺失具体菌属名称]的相对丰度较高。代谢组学和富集分析相结合表明,日粮精粗比的变化显著影响与氨基酸代谢、蛋白质消化吸收、碳水化合物代谢、脂质代谢和嘌呤代谢相关的瘤胃代谢产物。与C50组相比,C65组中3 - 甲基吲哚、泛酸、D - 泛酸和20 - 羟基白三烯E4下调,而精胺和磷酸核糖上调。与C50组相比,C80组中黄尿酸、酪胺、抗坏血酸、D - 葡萄糖醛酸、6 - 酮 - 前列腺素F1a、脂氧素B4和脱氧腺苷一磷酸上调,而3 - 甲基吲哚和20 - 羟基白三烯E4下调。与C65组相比,C80组中所有代谢产物(黄尿酸、L - 缬氨酸、N - 乙酰 - L - 谷氨酸5 - 半醛、N - 乙酰 - L - 谷氨酸、酪胺、6 - 酮 - 前列腺素F1a、脂氧素B4、黄苷、胸腺嘧啶、脱氧肌苷和尿酸)均上调。微生物与代谢产物的相关性分析为瘤胃细菌的功能提供了新见解,也为制定更科学合理的牦牛饲养策略提供了理论依据。

https://cdn.ncbi.nlm.nih.gov/pmc/blobs/b703/9329686/b5c50fda8cad/fnut-09-927206-g001.jpg

文献AI研究员

20分钟写一篇综述,助力文献阅读效率提升50倍。

立即体验

用中文搜PubMed

大模型驱动的PubMed中文搜索引擎

马上搜索

文档翻译

学术文献翻译模型,支持多种主流文档格式。

立即体验