Suppr超能文献

长链非编码RNA ASB16-AS1和AFAP1-AS1:在结直肠癌中的诊断、预后影响及生存分析

Long Non-Coding RNAs ASB16-AS1 and AFAP1-AS1: Diagnostic, Prognostic Impact and Survival Analysis in Colorectal Cancer.

作者信息

Elabd Naglaa S, Soliman Shimaa E, Elhamouly Moamena S, Gohar Suzy F, Elgamal Ayman, Alabassy Mahmoud Magdy, Soliman Haitham A, Gadallah Abdelnaser A, Elbahr Osama D, Soliman Ghada, Saleh Amany A

机构信息

Tropical Medicine Department, Faculty of Medicine - Menoufia University, Menoufia, Egypt.

Medical Biochemistry and Molecular Biology Department, Faculty of Medicine, Menoufia University, Menoufia, Egypt.

出版信息

Appl Clin Genet. 2022 Aug 1;15:97-109. doi: 10.2147/TACG.S370242. eCollection 2022.

Abstract

BACKGROUND

We aimed to evaluate the diagnostic roles of AFAP1-AS1 and ASB16-AS1 in colorectal cancer and highlight their roles in predicting colorectal cancer patients' prognosis.

METHODS

In this case-control study, 146 participants were involved. Group I included 47 patients with CRC. Group II composed of 49 patients with benign lesions in the colon, and Group III included 50 apparently normal subjects of coincided age and gender as controls. All participants were subjected to clinical and endoscopic evaluations, CA19-9, CEA, and quantification of relative expression of lncRNAs ASB16-AS1 and AFAP1-AS1.

RESULTS

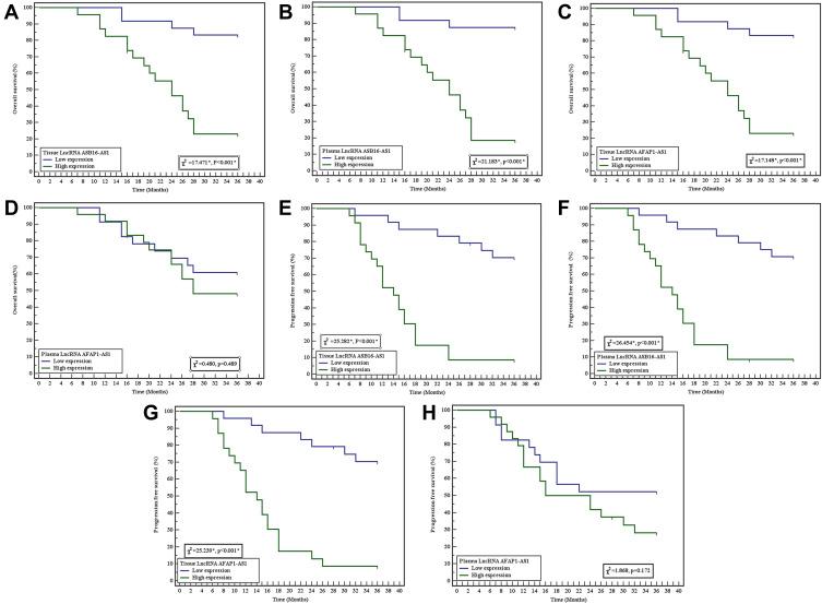
CRC patients had significantly elevated expression levels of both lncRNAs in tissue and plasma samples versus benign and control groups (p < 0.001). Despite the higher sensitivity of tissue samples results, the relative expression of both lncRNAs in plasma samples was very encouraging in the discrimination between patients with CRC versus control and benign groups. Furthermore, both lncRNAs could discriminate patients with early-stage CRC (stage I&II) from being colonic lesion and control groups with better sensitivity and specificity presented by ASB16-AS1 in tissue and plasma than results detailed by AFAP1-AS1. High expression levels of ASB16-AS1 in tissue and plasma and tissue lncRNA AFAP1-AS1 are significantly correlated with decreased overall survival (p < 0.001) and reduced progression-free (p < 0.001) compared to low expression in CRC patients.

CONCLUSION

We propose the utilization of lncRNA ASB16-AS1 and lncRNA AFAP1-AS1 as biomarkers in diagnosis and prognosis estimation for CRC patients. Moreover, their value in early CRC patients may affect the assortment of target therapy and treatment protocols.

摘要

背景

我们旨在评估AFAP1-AS1和ASB16-AS1在结直肠癌中的诊断作用,并突出它们在预测结直肠癌患者预后方面的作用。

方法

在这项病例对照研究中,纳入了146名参与者。第一组包括47例结直肠癌患者。第二组由49例结肠良性病变患者组成,第三组包括50名年龄和性别匹配的明显正常受试者作为对照。所有参与者均接受临床和内镜评估、CA19-9、CEA检测以及lncRNAs ASB16-AS1和AFAP1-AS1相对表达量的定量分析。

结果

与良性组和对照组相比,结直肠癌患者组织和血浆样本中这两种lncRNAs的表达水平均显著升高(p < 0.001)。尽管组织样本结果的敏感性更高,但血浆样本中这两种lncRNAs的相对表达在区分结直肠癌患者与对照组和良性组方面也非常令人鼓舞。此外,这两种lncRNAs均可将早期结直肠癌(I&II期)患者与结肠病变组和对照组区分开来,ASB16-AS1在组织和血浆中的敏感性和特异性均优于AFAP1-AS1。与结直肠癌患者低表达相比,组织和血浆中ASB16-AS1以及组织lncRNA AFAP1-AS1的高表达水平与总生存期缩短(p < 0.001)和无进展生存期缩短(p < 0.001)显著相关。

结论

我们建议将lncRNA ASB16-AS1和lncRNA AFAP1-AS1用作结直肠癌患者诊断和预后评估的生物标志物。此外,它们在早期结直肠癌患者中的价值可能会影响靶向治疗和治疗方案的选择。

https://cdn.ncbi.nlm.nih.gov/pmc/blobs/268f/9355339/72870ff4a2f9/TACG-15-97-g0001.jpg

文献检索

告别复杂PubMed语法,用中文像聊天一样搜索,搜遍4000万医学文献。AI智能推荐,让科研检索更轻松。

立即免费搜索

文件翻译

保留排版,准确专业,支持PDF/Word/PPT等文件格式,支持 12+语言互译。

免费翻译文档

深度研究

AI帮你快速写综述,25分钟生成高质量综述,智能提取关键信息,辅助科研写作。

立即免费体验