• 文献检索
  • 文档翻译
  • 深度研究
  • 学术资讯
  • Suppr Zotero 插件Zotero 插件
  • 邀请有礼
  • 套餐&价格
  • 历史记录
应用&插件
Suppr Zotero 插件Zotero 插件浏览器插件Mac 客户端Windows 客户端微信小程序
定价
高级版会员购买积分包购买API积分包
服务
文献检索文档翻译深度研究API 文档MCP 服务
关于我们
关于 Suppr公司介绍联系我们用户协议隐私条款
关注我们

Suppr 超能文献

核心技术专利:CN118964589B侵权必究
粤ICP备2023148730 号-1Suppr @ 2026

文献检索

告别复杂PubMed语法,用中文像聊天一样搜索,搜遍4000万医学文献。AI智能推荐,让科研检索更轻松。

立即免费搜索

文件翻译

保留排版,准确专业,支持PDF/Word/PPT等文件格式,支持 12+语言互译。

免费翻译文档

深度研究

AI帮你快速写综述,25分钟生成高质量综述,智能提取关键信息,辅助科研写作。

立即免费体验

联合配体和结构的虚拟筛选,以评估小分子有机化合物作为 XIAP 抗凋亡蛋白抑制剂:黄腐酚假说。

Ligand and Structure-Based Virtual Screening in Combination, to Evaluate Small Organic Molecules as Inhibitors for the XIAP Anti-Apoptotic Protein: The Xanthohumol Hypothesis.

机构信息

Department of Life & Health Sciences, University of Nicosia, Nicosia 2417, Cyprus.

出版信息

Molecules. 2022 Jul 28;27(15):4825. doi: 10.3390/molecules27154825.

DOI:10.3390/molecules27154825
PMID:35956774
原文链接:https://pmc.ncbi.nlm.nih.gov/articles/PMC9369490/
Abstract

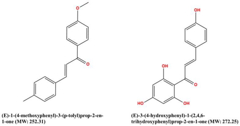
Herein, we propose two chalcone molecules, (E)-1-(4-methoxyphenyl)-3-(p-tolyl) prop-2-en-1-one and (E)-3-(4-hydroxyphenyl)-1-(2,4,6-trihydroxyphenyl) prop-2-en-1-one, based on the anticancer bioactive molecule Xanthohumol, which are suitable for further in vitro and in vivo studies. Their ability to create stable complexes with the antiapoptotic X-linked IAP (XIAP) protein makes them promising anticancer agents. The calculations were based on ligand-based and structure-based virtual screening combined with the pharmacophore build. Additionally, the structures passed Lipinski's rule for drug use, and their reactivity was confirmed using density functional theory studies. ADMET studies were also performed to reveal the pharmacokinetic potential of the compounds. The candidates were chosen from 10,639,400 compounds, and the docking protocols were evaluated using molecular dynamics simulations.

摘要

在此,我们提出了两种查尔酮分子,(E)-1-(4-甲氧基苯基)-3-(对甲苯基)-2-丙烯-1-酮和(E)-3-(4-羟基苯基)-1-(2,4,6-三羟基苯基)-2-丙烯-1-酮,它们基于具有抗癌生物活性的分子黄腐酚,适合进一步的体外和体内研究。它们与抗凋亡的 X 连锁凋亡抑制蛋白(XIAP)蛋白形成稳定复合物的能力使它们成为有前途的抗癌药物。这些计算是基于基于配体的和基于结构的虚拟筛选与药效团构建相结合的。此外,还使用密度泛函理论研究证实了其反应性。还进行了 ADMET 研究以揭示化合物的药代动力学潜力。从 10639400 种化合物中选择了候选物,并使用分子动力学模拟评估了对接方案。

https://cdn.ncbi.nlm.nih.gov/pmc/blobs/a7f3/9369490/7dacc411de98/molecules-27-04825-g008.jpg
https://cdn.ncbi.nlm.nih.gov/pmc/blobs/a7f3/9369490/b79595124094/molecules-27-04825-g001.jpg
https://cdn.ncbi.nlm.nih.gov/pmc/blobs/a7f3/9369490/20813f33e0c9/molecules-27-04825-g002.jpg
https://cdn.ncbi.nlm.nih.gov/pmc/blobs/a7f3/9369490/b7e859aadd06/molecules-27-04825-g003.jpg
https://cdn.ncbi.nlm.nih.gov/pmc/blobs/a7f3/9369490/ea2237650a40/molecules-27-04825-g004.jpg
https://cdn.ncbi.nlm.nih.gov/pmc/blobs/a7f3/9369490/5e4bfcc8184f/molecules-27-04825-g005.jpg
https://cdn.ncbi.nlm.nih.gov/pmc/blobs/a7f3/9369490/31149b6a7ec5/molecules-27-04825-g006.jpg
https://cdn.ncbi.nlm.nih.gov/pmc/blobs/a7f3/9369490/77fd2f9981aa/molecules-27-04825-g007.jpg
https://cdn.ncbi.nlm.nih.gov/pmc/blobs/a7f3/9369490/7dacc411de98/molecules-27-04825-g008.jpg
https://cdn.ncbi.nlm.nih.gov/pmc/blobs/a7f3/9369490/b79595124094/molecules-27-04825-g001.jpg
https://cdn.ncbi.nlm.nih.gov/pmc/blobs/a7f3/9369490/20813f33e0c9/molecules-27-04825-g002.jpg
https://cdn.ncbi.nlm.nih.gov/pmc/blobs/a7f3/9369490/b7e859aadd06/molecules-27-04825-g003.jpg
https://cdn.ncbi.nlm.nih.gov/pmc/blobs/a7f3/9369490/ea2237650a40/molecules-27-04825-g004.jpg
https://cdn.ncbi.nlm.nih.gov/pmc/blobs/a7f3/9369490/5e4bfcc8184f/molecules-27-04825-g005.jpg
https://cdn.ncbi.nlm.nih.gov/pmc/blobs/a7f3/9369490/31149b6a7ec5/molecules-27-04825-g006.jpg
https://cdn.ncbi.nlm.nih.gov/pmc/blobs/a7f3/9369490/77fd2f9981aa/molecules-27-04825-g007.jpg
https://cdn.ncbi.nlm.nih.gov/pmc/blobs/a7f3/9369490/7dacc411de98/molecules-27-04825-g008.jpg

相似文献

1
Ligand and Structure-Based Virtual Screening in Combination, to Evaluate Small Organic Molecules as Inhibitors for the XIAP Anti-Apoptotic Protein: The Xanthohumol Hypothesis.联合配体和结构的虚拟筛选,以评估小分子有机化合物作为 XIAP 抗凋亡蛋白抑制剂:黄腐酚假说。
Molecules. 2022 Jul 28;27(15):4825. doi: 10.3390/molecules27154825.
2
Pharmacophore modeling, multiple docking, and molecular dynamics studies on Wee1 kinase inhibitors.基于药效团模型的 Wee1 激酶抑制剂的多位点对接和分子动力学研究。
J Biomol Struct Dyn. 2019 Jul;37(10):2703-2715. doi: 10.1080/07391102.2018.1495576. Epub 2018 Dec 24.
3
Marine-Derived Compounds as Potential Inhibitors of Hsp90 for Anticancer and Antimicrobial Drug Development: A Comprehensive In Silico Study.海洋来源化合物作为 Hsp90 的潜在抑制剂在抗癌和抗菌药物开发中的应用:全面的计算机研究。
Molecules. 2023 Dec 13;28(24):8074. doi: 10.3390/molecules28248074.
4
Structure based pharmacophore modeling, virtual screening, molecular docking and ADMET approaches for identification of natural anti-cancer agents targeting XIAP protein.基于结构的药效团模型构建、虚拟筛选、分子对接和 ADMET 方法鉴定靶向 XIAP 蛋白的天然抗癌剂。
Sci Rep. 2021 Feb 18;11(1):4049. doi: 10.1038/s41598-021-83626-x.
5
Investigation of the New Inhibitors by Sulfadiazine and Modified Derivatives of α-D-glucopyranoside for White Spot Syndrome Virus Disease of Shrimp by In Silico: Quantum Calculations, Molecular Docking, ADMET and Molecular Dynamics Study.通过计算机模拟研究磺胺嘧啶和 α-D-吡喃葡萄糖苷的修饰衍生物对虾白斑综合征病毒病的新型抑制剂:量子计算、分子对接、ADMET 和分子动力学研究。
Molecules. 2022 Jun 8;27(12):3694. doi: 10.3390/molecules27123694.
6
Ligand-based pharmacophore modeling of TNF-α to design novel inhibitors using virtual screening and molecular dynamics.基于配体的 TNF-α 药效团模型设计新型抑制剂的虚拟筛选和分子动力学研究。
J Biomol Struct Dyn. 2022 Mar;40(4):1702-1718. doi: 10.1080/07391102.2020.1831962. Epub 2020 Oct 9.
7
Pharmacophore based virtual screening, molecular docking and molecular dynamic simulation studies for finding ROS1 kinase inhibitors as potential drug molecules.基于药效团的虚拟筛选、分子对接和分子动力学模拟研究寻找 ROS1 激酶抑制剂作为潜在的药物分子。
J Biomol Struct Dyn. 2022 May;40(8):3385-3399. doi: 10.1080/07391102.2020.1847195. Epub 2020 Nov 17.
8
Investigating a Library of Flavonoids as Potential Inhibitors of a Cancer Therapeutic Target MEK2 Using in Silico Methods.运用计算机模拟方法研究黄酮类化合物库作为癌症治疗靶点 MEK2 的潜在抑制剂。
Int J Mol Sci. 2023 Feb 23;24(5):4446. doi: 10.3390/ijms24054446.
9
Identification of selective MMP-9 inhibitors through multiple e-pharmacophore, ligand-based pharmacophore, molecular docking, and density functional theory approaches.通过多电子药效团、基于配体的药效团、分子对接和密度泛函理论方法鉴定选择性 MMP-9 抑制剂。
J Biomol Struct Dyn. 2019 Mar;37(4):944-965. doi: 10.1080/07391102.2018.1444510. Epub 2018 Mar 9.
10
Structural insight into Mycobacterium tuberculosis maltosyl transferase inhibitors: pharmacophore-based virtual screening, docking, and molecular dynamics simulations.结核分枝杆菌麦芽基转移酶抑制剂的结构洞察:基于药效团的虚拟筛选、对接和分子动力学模拟
J Biomol Struct Dyn. 2015;33(12):2655-66. doi: 10.1080/07391102.2014.1003602. Epub 2015 Feb 11.

引用本文的文献

1
-Tocotrienol and -Tocotrienol as Additional Inhibitors of the Main Protease of Feline Infectious Peritonitis Virus: An In Silico Analysis.γ-生育三烯酚和δ-生育三烯酚作为猫传染性腹膜炎病毒主要蛋白酶的额外抑制剂:计算机模拟分析
Vet Sci. 2024 Sep 11;11(9):424. doi: 10.3390/vetsci11090424.
2
Novel systems biology experimental pipeline reveals matairesinol's antimetastatic potential in prostate cancer: an integrated approach of network pharmacology, bioinformatics, and experimental validation.新型系统生物学实验流程揭示马胎素在前列腺癌中的抗转移潜力:网络药理学、生物信息学和实验验证的综合方法。
Brief Bioinform. 2024 Jul 25;25(5). doi: 10.1093/bib/bbae466.

本文引用的文献

1
A Comprehensive In Silico Exploration of Pharmacological Properties, Bioactivities, Molecular Docking, and Anticancer Potential of Vieloplain F from Targeting B-Raf Kinase.基于靶向 B-Raf 激酶的 Vieloplain F 的综合计算机探索:药理学特性、生物活性、分子对接和抗癌潜力。
Molecules. 2022 Jan 28;27(3):917. doi: 10.3390/molecules27030917.
2
Anticancer Activity of Natural and Synthetic Chalcones.天然和合成查耳酮的抗癌活性。
Int J Mol Sci. 2021 Oct 20;22(21):11306. doi: 10.3390/ijms222111306.
3
FEPrepare: A Web-Based Tool for Automating the Setup of Relative Binding Free Energy Calculations.
FEPrepare:一款用于自动设置相对结合自由能计算的网络工具。
J Chem Inf Model. 2021 Sep 27;61(9):4131-4138. doi: 10.1021/acs.jcim.1c00215. Epub 2021 Sep 14.
4
Xanthohumol for Human Malignancies: Chemistry, Pharmacokinetics and Molecular Targets.黄腐酚治疗人类恶性肿瘤:化学,药代动力学和分子靶点。
Int J Mol Sci. 2021 Apr 25;22(9):4478. doi: 10.3390/ijms22094478.
5
Structure based pharmacophore modeling, virtual screening, molecular docking and ADMET approaches for identification of natural anti-cancer agents targeting XIAP protein.基于结构的药效团模型构建、虚拟筛选、分子对接和 ADMET 方法鉴定靶向 XIAP 蛋白的天然抗癌剂。
Sci Rep. 2021 Feb 18;11(1):4049. doi: 10.1038/s41598-021-83626-x.
6
Xanthohumol, a Prenylated Chalcone Derived from Hops, Inhibits Growth and Metastasis of Melanoma Cells.黄腐酚,一种源自啤酒花的异戊烯基化查耳酮,可抑制黑色素瘤细胞的生长和转移。
Cancers (Basel). 2021 Jan 29;13(3):511. doi: 10.3390/cancers13030511.
7
Screening possible drug molecules for Covid-19. The example of vanadium (III/IV/V) complex molecules with computational chemistry and molecular docking.筛选针对新冠病毒的潜在药物分子。以钒(III/IV/V)配合物分子为例,运用计算化学和分子对接技术
Comput Toxicol. 2021 May;18:100157. doi: 10.1016/j.comtox.2021.100157. Epub 2021 Jan 30.
8
In silico ADMET and molecular docking study on searching potential inhibitors from limonoids and triterpenoids for COVID-19.计算机辅助的 ADMET 和分子对接研究,寻找来自柠檬苦素和三萜类化合物的 COVID-19 潜在抑制剂。
Comput Biol Med. 2020 Sep;124:103936. doi: 10.1016/j.compbiomed.2020.103936. Epub 2020 Jul 28.
9
Using physics-based pose predictions and free energy perturbation calculations to predict binding poses and relative binding affinities for FXR ligands in the D3R Grand Challenge 2.利用基于物理的构象预测和自由能微扰计算来预测 FXR 配体在 D3R 大挑战 2 中的结合构象和相对结合亲和力。
J Comput Aided Mol Des. 2018 Jan;32(1):21-44. doi: 10.1007/s10822-017-0075-9. Epub 2017 Nov 8.
10
SwissADME: a free web tool to evaluate pharmacokinetics, drug-likeness and medicinal chemistry friendliness of small molecules.SwissADME:一个免费的网络工具,用于评估小分子的药代动力学、类药性和药物化学友善性。
Sci Rep. 2017 Mar 3;7:42717. doi: 10.1038/srep42717.