Suppr超能文献

托门毒苷元类化合物的促凋亡和自噬特性来自 Pergularia tomentosa 的地上部分。

Pro-Apoptotic and Pro-Autophagic Properties of Cardenolides from Aerial Parts of Pergularia tomentosa.

机构信息

Department of Chemistry and Biology, University of Salerno, 84084 Fisciano, Italy.

Department of Neuroscience, Catholic University of the Sacred Heart, 00168 Rome, Italy.

出版信息

Molecules. 2022 Jul 29;27(15):4874. doi: 10.3390/molecules27154874.

Abstract

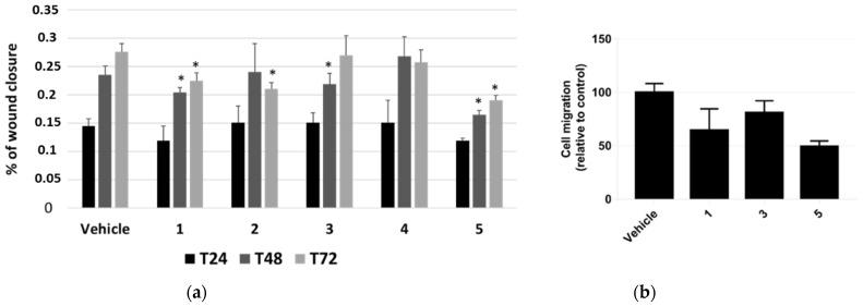
L., a milkweed tropical plant belonging to the family Asclepiadaceae, is a rich source of unusual cardiac glycosides, characterised by transfused A/B rings and a sugar moiety linked by a double link, generating a dioxanoid structure. In the present report, five cardenolides isolated from the aerial parts of the plant (calactin, calotropin, 12β-hydroxycalactin, 12β,6'-dihydroxycalotropin, and 16α-hydroxycalotropin) were investigated for their biological effects on a human hepatocarcinoma cell line. Cell viability was monitored by an MTT assay. The occurrence of apoptosis was evaluated by detecting caspase-3 activation and chromatin fragmentation. The ability of these compounds to induce autophagy was analysed by monitoring two markers of the autophagic process, LC3 and p62. Our results indicated that all cardenolides had cytotoxic effects, with IC ranging from 0.127 to 6.285 μM. All compounds were able to induce apoptosis and autophagy, calactin being the most active one. Some of them also caused a reduction in cell migration and a partial block of the cell cycle into the S-phase. The present study suggests that selected cardenolides from aerial parts of , particularly calactin, possess potentially desirable properties for further investigation as anticancer agents.

摘要

L.,一种属于萝藦科的热带牛奶树植物,是不寻常的强心苷的丰富来源,其特征在于 A/B 环转移和通过双键连接的糖部分,生成二噁烷结构。在本报告中,从植物地上部分分离出的五种强心苷(卡烯内酯、卡托普利、12β-羟基卡烯内酯、12β,6'-二羟基卡托普利和 16α-羟基卡托普利)被研究其对人肝癌细胞系的生物学效应。通过 MTT 测定法监测细胞活力。通过检测 caspase-3 激活和染色质片段化来评估细胞凋亡的发生。通过监测自噬过程的两个标志物 LC3 和 p62 来分析这些化合物诱导自噬的能力。我们的结果表明,所有强心苷都具有细胞毒性作用,IC 范围为 0.127 至 6.285 μM。所有化合物都能够诱导细胞凋亡和自噬,其中卡烯内酯最为活跃。其中一些化合物还能降低细胞迁移并部分阻止细胞周期进入 S 期。本研究表明,来自地上部分的某些强心苷,特别是卡烯内酯,具有作为抗癌剂进一步研究的潜在理想特性。

https://cdn.ncbi.nlm.nih.gov/pmc/blobs/815e/9369610/c4b7f3e5f17c/molecules-27-04874-g001.jpg

文献检索

告别复杂PubMed语法,用中文像聊天一样搜索,搜遍4000万医学文献。AI智能推荐,让科研检索更轻松。

立即免费搜索

文件翻译

保留排版,准确专业,支持PDF/Word/PPT等文件格式,支持 12+语言互译。

免费翻译文档

深度研究

AI帮你快速写综述,25分钟生成高质量综述,智能提取关键信息,辅助科研写作。

立即免费体验