Li Ding, Liang Jiaming, Yang Wei, Guo Wenbin, Song Wenping, Zhang Wenzhou, Wu Xuan, He Baoxia
Department of Pharmacy, The Affiliated Cancer Hospital of Zhengzhou University and Henan Cancer Hospital, Zhengzhou, China.
Department of Medicine, The Second Affiliated Hospital of Guangzhou Medical University, Guangzhou, China.
Front Oncol. 2022 Jul 25;12:876981. doi: 10.3389/fonc.2022.876981. eCollection 2022.
Acute myeloid leukemia (AML) is a highly aggressive hematological malignancy characterized by extensive genetic abnormalities that might affect the prognosis and provide potential drug targets for treatment. Reprogramming of lipid metabolism plays important roles in tumorigenesis and progression and has been newly recognized a new hallmark of malignancy, and some related molecules in the signal pathways could be prognostic biomarkers and potential therapeutic targets for cancer treatment. However, the clinical value of lipid metabolism reprogramming in AML has not been systematically explored. In this study, we aim to explore the clinical value of lipid metabolism reprogramming and develop a prognostic risk signature for AML.
We implemented univariate Cox regression analysis to identify the prognosis-related lipid metabolism genes, and then performed LASSO analysis to develop the risk signature with six lipid metabolism-related genes (LDLRAP1, PNPLA6, DGKA, PLA2G4A, CBR1, and EBP). The risk scores of samples were calculated and divided into low- and high-risk groups by the median risk score.
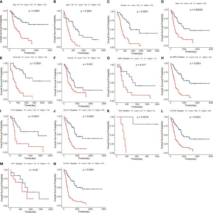
Survival analysis showed the high-risk group hold the significantly poorer outcomes than the low-risk group. The signature was validated in the GEO datasets and displayed a robust prognostic value in the stratification analysis. Multivariate analysis revealed the signature was an independent prognostic factor for AML patients and could serve as a potential prognostic biomarker in clinical evaluation. Furthermore, the risk signature was also found to be closely related to immune landscape and immunotherapy response in AML.
Overall, we conducted a comprehensive analysis of lipid metabolism in AML and constructed a risk signature with six genes related to lipid metabolism for the malignancy, prognosis, and immune landscape of AML, and our study might contribute to better understanding in the use of metabolites and metabolic pathways as the potential prognostic biomarkers and therapeutic targets for AML.
急性髓系白血病(AML)是一种高度侵袭性的血液系统恶性肿瘤,其特征是存在广泛的基因异常,这些异常可能影响预后并为治疗提供潜在的药物靶点。脂质代谢重编程在肿瘤发生和发展中起重要作用,并且最近被认为是恶性肿瘤的一个新标志,信号通路中的一些相关分子可能是癌症治疗的预后生物标志物和潜在治疗靶点。然而,脂质代谢重编程在AML中的临床价值尚未得到系统研究。在本研究中,我们旨在探讨脂质代谢重编程的临床价值,并为AML建立一种预后风险特征。
我们进行单变量Cox回归分析以确定与预后相关的脂质代谢基因,然后进行LASSO分析以开发包含六个与脂质代谢相关基因(LDLRAP1、PNPLA6、DGKA、PLA2G4A、CBR1和EBP)的风险特征。计算样本的风险评分,并根据中位风险评分将其分为低风险和高风险组。
生存分析显示,高风险组的预后明显比低风险组差。该特征在GEO数据集中得到验证,并在分层分析中显示出强大的预后价值。多变量分析显示,该特征是AML患者的独立预后因素,可作为临床评估中的潜在预后生物标志物。此外,还发现该风险特征与AML的免疫格局和免疫治疗反应密切相关。
总体而言,我们对AML中的脂质代谢进行了全面分析,并构建了一个包含六个与脂质代谢相关基因的风险特征,用于AML的恶性程度、预后和免疫格局评估,我们的研究可能有助于更好地理解利用代谢物和代谢途径作为AML的潜在预后生物标志物和治疗靶点。