Suppr超能文献

在糖尿病合并心力衰竭患者中使用 SGLT2 抑制剂的现状:超老龄社会全国电子健康数据库中 DPP4 抑制剂的比较。

Contemporary use of SGLT2 inhibitors in heart failure patients with diabetes mellitus: a comparison of DPP4 inhibitors in a nationwide electric health database of the superaged society.

机构信息

Department of Medical and Health Information Management, National Cerebral and Cardiovascular Center, 6-1 Kishibeshimmachi, Suita, Japan.

Department of Biostatistics, National Cerebral and Cardiovascular Center, Suita, Japan.

出版信息

Cardiovasc Diabetol. 2022 Aug 13;21(1):157. doi: 10.1186/s12933-022-01586-6.

Abstract

BACKGROUND

There is a lack of recent data reflecting the actual use of sodium-glucose cotransporter-2 (SGLT2) inhibitors for heart failure (HF) and type 2 diabetes (DM) in the superaged society. The present study investigated the association between the use of SGLT2 inhibitors and one-year prognosis in patients hospitalized across a broad spectrum of HF patients with DM in the superaged society using the Nationwide Electric Health Database in Japan.

METHODS

The patients hospitalized with the first episode of acute HF were identified from the National Database of Health Insurance Claims and Specific Health Checkups of Japan between April 2014 and March 2019. A cohort of 2,277 users of SGLT2 inhibitors and 41,410 users of the active comparator, dipeptidyl peptidase-4 (DPP4) inhibitors were compared. A propensity score-matched cohort study of 2,101 users of each inhibitor was also conducted. A multivariable multilevel mixed-effects survival model was conducted with adjustments, and hazard ratios (HRs) and 95% confidence intervals (CIs) were calculated.

RESULTS

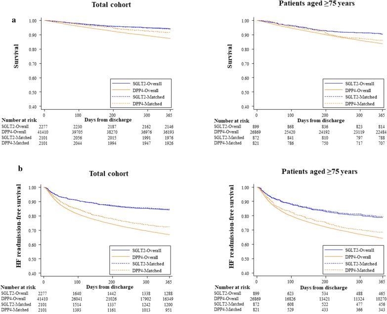
Among 300,398 patients discharged with HF in 4,176 hospitals, 216,016 (71.9%) were 75 years or older, and 60,999 (20.3%) took antidiabetic medications. Among them, the patients treated with SGLT2 inhibitors were younger and had a more severe status than those treated with DPP4 inhibitors. Kaplan-Meier analysis showed that patients treated with SGLT2 inhibitors had a lower mortality risk and HF readmission. In propensity-matched cohorts, SGLT2 inhibitor use was associated with a lower risk of mortality and HF readmission than DPP-4 inhibitor use (HR [95% CI]; 0.70 [0.56, 0.89] and 0.52 [0.45, 0.61], respectively). Very elderly (≥ 75 years) patients showed similar results. Favorable effects were also observed across all age groups, including ≥ 75 years, in patients with coronary artery disease or atrial fibrillation and with concomitant β-blocker, diuretics, or insulin.

CONCLUSION

The use of SGLT2 inhibitors at discharge was associated with a lower risk of one-year mortality and HF readmission in patients across a broad spectrum of HF with DM in the superaged society. The findings further support the benefits of using SGLT2 inhibitors in very elderly HF care and complement the current evidence.

摘要

背景

在超老龄社会中,缺乏反映钠-葡萄糖共转运蛋白 2(SGLT2)抑制剂实际用于心力衰竭(HF)和 2 型糖尿病(DM)的数据。本研究使用日本全国电子健康数据库,调查了 SGLT2 抑制剂的使用与超老龄社会中广泛 HF 合并 DM 患者住院期间一年预后的相关性。

方法

从日本全国医疗保险索赔和特定健康检查数据库中确定了 2014 年 4 月至 2019 年 3 月期间首次出现急性 HF 的住院患者队列。比较了 2277 例 SGLT2 抑制剂使用者和 41410 例活性对照物(二肽基肽酶-4(DPP4)抑制剂)使用者。还对每个抑制剂的 2101 例使用者进行了倾向评分匹配的队列研究。进行了多变量多级混合效应生存模型调整,并计算了风险比(HR)和 95%置信区间(CI)。

结果

在 4176 家医院出院的 300398 例 HF 患者中,216016 例(71.9%)为 75 岁或以上,60999 例(20.3%)接受了抗糖尿病药物治疗。其中,SGLT2 抑制剂治疗的患者比 DPP4 抑制剂治疗的患者更年轻,病情更严重。Kaplan-Meier 分析表明,SGLT2 抑制剂治疗的患者死亡率和 HF 再入院风险较低。在倾向匹配的队列中,与 DPP-4 抑制剂相比,SGLT2 抑制剂的使用与死亡率和 HF 再入院风险降低相关(HR [95%CI];0.70 [0.56, 0.89]和 0.52 [0.45, 0.61])。高龄(≥75 岁)患者也有类似结果。在包括≥75 岁、冠心病或心房颤动、合并β受体阻滞剂、利尿剂或胰岛素的所有年龄组中,也观察到有利的效果。

结论

在超老龄社会中,HF 合并 DM 患者出院时使用 SGLT2 抑制剂与一年死亡率和 HF 再入院风险降低相关。研究结果进一步支持了在高龄 HF 治疗中使用 SGLT2 抑制剂的益处,并补充了现有证据。

https://cdn.ncbi.nlm.nih.gov/pmc/blobs/8a22/9375946/1801acaaf3bf/12933_2022_1586_Fig1_HTML.jpg

文献检索

告别复杂PubMed语法,用中文像聊天一样搜索,搜遍4000万医学文献。AI智能推荐,让科研检索更轻松。

立即免费搜索

文件翻译

保留排版,准确专业,支持PDF/Word/PPT等文件格式,支持 12+语言互译。

免费翻译文档

深度研究

AI帮你快速写综述,25分钟生成高质量综述,智能提取关键信息,辅助科研写作。

立即免费体验