Suppr超能文献

慢性阻塞性肺疾病患者气道重塑与临床特征的关系

Relationships between Airway Remodeling and Clinical Characteristics in COPD Patients.

作者信息

Higham Andrew, Dungwa Josiah, Jackson Natalie, Singh Dave

机构信息

Division of Immunology, Immunity to Infection and Respiratory Medicine, School of Biological Sciences, Faculty of Biology, Medicine and Health, University of Manchester and Manchester University NHS Foundation Trust, Manchester M23 9LT, UK.

Medicines Evaluation Unit, The Langley Building, Southmoor Road, Manchester M23 9LT, UK.

出版信息

Biomedicines. 2022 Aug 17;10(8):1992. doi: 10.3390/biomedicines10081992.

Abstract

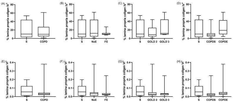
: Airway remodeling is a cardinal feature of chronic obstructive pulmonary disease (COPD) pathology. However, inconsistent findings have been reported regarding the nature of proximal airway remodeling in COPD. This is likely due to the heterogeneity of COPD. This study investigated the histopathological features of airway remodeling in bronchial biopsies of COPD patients compared to smoking controls (S). We tested the hypothesis that histopathological features in bronchial biopsies relate to clinical characteristics in COPD patients, focusing on smoking status, symptom burden, lung function, exacerbation risk and inhaled corticosteroid (ICS) use. : We recruited 24 COPD patients and 10 S. We focused on reticular basement membrane thickness (RBM), surface immunoglobulin A (IgA) expression, goblet cell numbers (periodic acid-Schiff [PAS]+), sub-mucosal remodeling markers including collagen 4, 6 and laminin expression, and inflammatory cell counts (CD45+). : RBM thickness was increased in frequent exacerbators, IgA expression was reduced in COPD patients with worse lung function, and goblet cell numbers were increased in COPD patients compared to S but with no difference between the COPD subgroups. Collagen 4 expression was associated with higher symptom burden and worse quality of life. Sub-mucosal inflammatory cell counts were increased in COPD non-inhaled corticosteroid (ICS) users compared to ICS users and S. : We observed relationships between the histopathological features of airway remodeling and clinical characteristics in COPD patients. Our data highlight the influence of clinical heterogeneity on diverse patterns of airway remodeling in COPD patients.

摘要

气道重塑是慢性阻塞性肺疾病(COPD)病理的一个主要特征。然而,关于COPD近端气道重塑的性质,已有不一致的研究结果报道。这可能是由于COPD的异质性所致。本研究调查了与吸烟对照者(S)相比,COPD患者支气管活检中气道重塑的组织病理学特征。我们检验了这样一个假设,即支气管活检中的组织病理学特征与COPD患者的临床特征相关,重点关注吸烟状况、症状负担、肺功能、急性加重风险和吸入性糖皮质激素(ICS)的使用情况。

我们招募了24例COPD患者和10例吸烟对照者。我们重点关注网状基底膜厚度(RBM)、表面免疫球蛋白A(IgA)表达、杯状细胞数量(过碘酸希夫染色[PAS]+)、包括胶原蛋白4、6和层粘连蛋白表达在内的粘膜下重塑标志物,以及炎性细胞计数(CD45+)。

频繁急性加重者的RBM厚度增加,肺功能较差的COPD患者IgA表达降低,与吸烟对照者相比,COPD患者的杯状细胞数量增加,但COPD亚组之间无差异。胶原蛋白4表达与较高的症状负担和较差的生活质量相关。与ICS使用者和吸烟对照者相比,未使用ICS的COPD患者粘膜下炎性细胞计数增加。

我们观察到COPD患者气道重塑的组织病理学特征与临床特征之间存在关联。我们的数据突出了临床异质性对COPD患者气道重塑不同模式的影响。

https://cdn.ncbi.nlm.nih.gov/pmc/blobs/1b82/9405811/4e229fcbb362/biomedicines-10-01992-g001.jpg

文献检索

告别复杂PubMed语法,用中文像聊天一样搜索,搜遍4000万医学文献。AI智能推荐,让科研检索更轻松。

立即免费搜索

文件翻译

保留排版,准确专业,支持PDF/Word/PPT等文件格式,支持 12+语言互译。

免费翻译文档

深度研究

AI帮你快速写综述,25分钟生成高质量综述,智能提取关键信息,辅助科研写作。

立即免费体验