Suppr超能文献

特立帕肽或地诺单抗治疗增强循环成骨祖细胞

Circulating Osteogenic Progenitor Cells Enhanced with Teriparatide or Denosumab Treatment.

作者信息

Giner Mercè, Vázquez-Gámez María Angeles, Miranda María José, Bocio-Nuñez Jesús, Olmo-Montes Francisco Jesús, Rico Miguel Angel, Colmenero Miguel Angel, Montoya-García María-José

机构信息

Bone Metabolism Unit, UGC Medicina Interna, Hospital Universitario Virgen Macarena, Avda. Dr. Fedriani s/n, 41009 Sevilla, Spain.

Departamento de Citología e Histología Normal y Patológica, Universidad de Sevilla, 41009 Sevilla, Spain.

出版信息

J Clin Med. 2022 Aug 14;11(16):4749. doi: 10.3390/jcm11164749.

Abstract

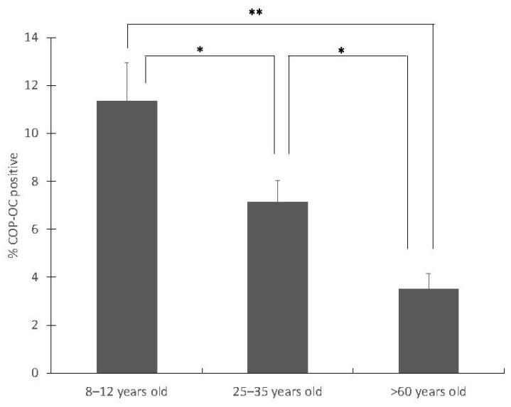
Circulating osteogenic precursor (COP) cells are peripheral blood cells with a capacity for osteogenesis. The objective of our study was to ascertain the percentage of COPs as an early biomarker of osteoporosis and the effect of these cells in response to Denosumab (DmAb) (anti-resorptive) or to Teriparatide (TPDP) (anabolic) as very effective drugs in the treatment of the illness. A first study was conducted on healthy volunteers, with three age ranges, to determine the percentage of COPs and relate it to their anthropometric and biochemical characteristics, followed by a second longitudinal study on patients with osteoporosis, whereby one group of patients was treated with TPTD and another with DmAb. All were analyzed by cytometry for COP percentage in blood, bone turnover markers, and bone mass. Our findings show that COPs are influenced by age and become more prolific in the stages of growth and skeletal maturation. A higher percentage of COPs is found in osteoporotic disease, which could constitute a predictive marker thereof. We also show how treatment with TPTD or DmAb mobilizes circulating osteogenic precursors in the blood. Significant increases in % COPs were observed after 12 months of treatment with Dmb (21.9%) and TPTD (17%). These results can be related to an increase in osteogenesis and, consequently, a better and more efficient repair of bone tissue.

摘要

循环成骨前体细胞(COP)是具有成骨能力的外周血细胞。我们研究的目的是确定COP的百分比作为骨质疏松症的早期生物标志物,以及这些细胞对狄诺塞麦(DmAb)(抗吸收药物)或特立帕肽(TPDP)(促合成药物)的反应,这两种药物在治疗该疾病方面非常有效。第一项研究针对健康志愿者开展,分为三个年龄组,以确定COP的百分比,并将其与人体测量学和生化特征相关联,随后对骨质疏松症患者进行第二项纵向研究,其中一组患者接受TPTD治疗,另一组接受DmAb治疗。对所有患者进行血细胞计数分析,以测定血液中COP的百分比、骨转换标志物和骨量。我们的研究结果表明,COP受年龄影响,在生长和骨骼成熟阶段更为丰富。在骨质疏松症患者中发现较高百分比的COP,这可能构成其预测标志物。我们还展示了TPTD或DmAb治疗如何动员血液中的循环成骨前体细胞。在接受Dmb(21.9%)和TPTD(17%)治疗12个月后,观察到COP百分比显著增加。这些结果可能与成骨增加有关,因此与更好、更有效的骨组织修复有关。

https://cdn.ncbi.nlm.nih.gov/pmc/blobs/d0d5/9409740/5c362ab0b1de/jcm-11-04749-g001.jpg

文献检索

告别复杂PubMed语法,用中文像聊天一样搜索,搜遍4000万医学文献。AI智能推荐,让科研检索更轻松。

立即免费搜索

文件翻译

保留排版,准确专业,支持PDF/Word/PPT等文件格式,支持 12+语言互译。

免费翻译文档

深度研究

AI帮你快速写综述,25分钟生成高质量综述,智能提取关键信息,辅助科研写作。

立即免费体验