• 文献检索
  • 文档翻译
  • 深度研究
  • 学术资讯
  • Suppr Zotero 插件Zotero 插件
  • 邀请有礼
  • 套餐&价格
  • 历史记录
应用&插件
Suppr Zotero 插件Zotero 插件浏览器插件Mac 客户端Windows 客户端微信小程序
定价
高级版会员购买积分包购买API积分包
服务
文献检索文档翻译深度研究API 文档MCP 服务
关于我们
关于 Suppr公司介绍联系我们用户协议隐私条款
关注我们

Suppr 超能文献

核心技术专利:CN118964589B侵权必究
粤ICP备2023148730 号-1Suppr @ 2026

文献检索

告别复杂PubMed语法,用中文像聊天一样搜索,搜遍4000万医学文献。AI智能推荐,让科研检索更轻松。

立即免费搜索

文件翻译

保留排版,准确专业,支持PDF/Word/PPT等文件格式,支持 12+语言互译。

免费翻译文档

深度研究

AI帮你快速写综述,25分钟生成高质量综述,智能提取关键信息,辅助科研写作。

立即免费体验

基于柠檬烯的碳硅烷及碳硅烷 - 硅氧烷树枝状分子的合成

Synthesis of Carbosilane and Carbosilane-Siloxane Dendrons Based on Limonene.

作者信息

Ryzhkov Aleksei I, Drozdov Fedor V, Cherkaev Georgij V, Muzafarov Aziz M

机构信息

A. N. Nesmeyanov Institute of Organoelement Compounds, Russian Academy of Sciences, 119991 Moscow, Russia.

Enikolopov Institute of Synthetic Polymeric Materials, Russian Academy of Sciences, 117393 Moscow, Russia.

出版信息

Polymers (Basel). 2022 Aug 12;14(16):3279. doi: 10.3390/polym14163279.

DOI:10.3390/polym14163279
PMID:36015536
原文链接:https://pmc.ncbi.nlm.nih.gov/articles/PMC9416742/
Abstract

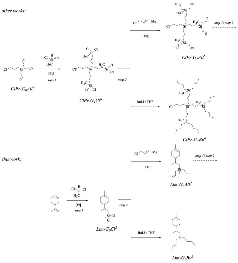
In this work, carbosilane dendrons of the first, second, and third generations were obtained on the basis of a natural terpenoid, limonene. Previously, we have shown the possibility of selective hydrosilylation and hydrothiolation of limonene. It is proved that during hydrosilylation, only the isoprenyl double bond reacts, while the cyclohexene double bond does not undergo into the hydrosilylation reaction. However, the cyclohexene double bond reacts by hydrothiolation. This selectivity makes it possible to use limonene as a dendron growth center, while maintaining a useful function-a double bond at the focal point. Thus, the sequence of hydrosilylation and Grignard reactions based on limonene formed carbosilane dendrons. After that, the end groups were blocked by heptamethyltrisiloxane or butyllithium. The obtained substances were characterized using NMR spectroscopy, elemental analysis and GPC. Thus, the proposed methodology for the synthesis of carbosilane dendrons based on the natural terpenoid limonene opens up wide possibilities for obtaining various macromolecules: dendrimers, Janus dendrimers, dendronized polymers, and macroinitiators.

摘要

在这项工作中,基于天然萜类化合物柠檬烯制备了第一代、第二代和第三代碳硅烷树枝状分子。此前,我们已证明柠檬烯进行选择性硅氢化和氢硫基化反应的可能性。事实证明,在硅氢化过程中,只有异戊二烯双键发生反应,而环己烯双键不参与硅氢化反应。然而,环己烯双键会通过氢硫基化反应发生反应。这种选择性使得可以将柠檬烯用作树枝状分子的生长中心,同时在焦点处保留一个有用的官能团——双键。因此,基于柠檬烯的硅氢化反应和格氏反应序列形成了碳硅烷树枝状分子。之后,端基用七甲基三硅氧烷或丁基锂进行封端。使用核磁共振光谱、元素分析和凝胶渗透色谱对所得物质进行了表征。因此,所提出的基于天然萜类化合物柠檬烯合成碳硅烷树枝状分子的方法为获得各种大分子:树枝状聚合物、Janus树枝状聚合物、树枝状化聚合物和大分子引发剂开辟了广阔的可能性。

https://cdn.ncbi.nlm.nih.gov/pmc/blobs/56f4/9416742/7510e8cd9feb/polymers-14-03279-g002.jpg
https://cdn.ncbi.nlm.nih.gov/pmc/blobs/56f4/9416742/6bb4b332f883/polymers-14-03279-g001.jpg
https://cdn.ncbi.nlm.nih.gov/pmc/blobs/56f4/9416742/7510e8cd9feb/polymers-14-03279-g002.jpg
https://cdn.ncbi.nlm.nih.gov/pmc/blobs/56f4/9416742/6bb4b332f883/polymers-14-03279-g001.jpg
https://cdn.ncbi.nlm.nih.gov/pmc/blobs/56f4/9416742/7510e8cd9feb/polymers-14-03279-g002.jpg

相似文献

1
Synthesis of Carbosilane and Carbosilane-Siloxane Dendrons Based on Limonene.基于柠檬烯的碳硅烷及碳硅烷 - 硅氧烷树枝状分子的合成
Polymers (Basel). 2022 Aug 12;14(16):3279. doi: 10.3390/polym14163279.
2
A convergent growth approach to electroactive ferrocene rich carbosilane- and siloxane-based dendrons, dendrimers, and dendronized polymers.一种富二茂铁的电活性碳硅烷和硅氧烷的树枝状大分子、树枝状聚合物的汇聚生长方法。
Dalton Trans. 2023 May 2;52(17):5663-5679. doi: 10.1039/d2dt03983d.
3
Antibacterial and antifungal properties of dendronized silver and gold nanoparticles with cationic carbosilane dendrons.带有阳离子碳硅烷树枝状分子的树枝状银和金纳米颗粒的抗菌和抗真菌特性
Int J Pharm. 2017 Aug 7;528(1-2):55-61. doi: 10.1016/j.ijpharm.2017.05.067. Epub 2017 May 31.
4
PEGylated AgNP covered with cationic carbosilane dendrons to enhance antibacterial and inhibition of biofilm properties.聚乙二醇化的 AgNP 被带有正电荷的碳硅烷树枝状大分子覆盖,以增强其抗菌和抑制生物膜的性能。
Int J Pharm. 2019 Oct 5;569:118591. doi: 10.1016/j.ijpharm.2019.118591. Epub 2019 Aug 5.
5
A Comparative Study of Intramolecular Mobility of Single Siloxane and Carbosilane Dendrimers via Molecular Dynamics Simulations.通过分子动力学模拟对单硅氧烷和碳硅烷树枝状大分子分子内流动性的比较研究
Polymers (Basel). 2018 Jul 30;10(8):838. doi: 10.3390/polym10080838.
6
"A posteriori" modification of carbosilane dendrimers and dendrons: their activation in core and branch positions.碳硅烷树枝状大分子和树枝状单体的“后验”修饰:它们在核心和分支位置的活化
Dalton Trans. 2005 Apr 21(8):1394-402. doi: 10.1039/b501069a. Epub 2005 Mar 15.
7
Amphiphilic cationic carbosilane-PEG dendrimers: synthesis and applications in gene therapy.两亲性阳离子碳硅烷-PEG 树枝状聚合物:合成及在基因治疗中的应用。
Eur J Med Chem. 2014 Apr 9;76:43-52. doi: 10.1016/j.ejmech.2014.01.061. Epub 2014 Jan 31.
8
Synthesis, characterization and antibacterial behavior of water-soluble carbosilane dendrons containing ferrocene at the focal point.在焦点处含有二茂铁的水溶性碳硅烷树枝状分子的合成、表征及抗菌行为
Dalton Trans. 2015 Nov 28;44(44):19294-304. doi: 10.1039/c5dt02230d. Epub 2015 Oct 22.
9
Effect of PEGylation on the biological properties of cationic carbosilane dendronized gold nanoparticles.聚乙二醇化对阳离子碳硅烷树枝状化金纳米粒子生物性质的影响。
Int J Pharm. 2020 Jan 5;573:118867. doi: 10.1016/j.ijpharm.2019.118867. Epub 2019 Nov 22.
10
Role of cationic carbosilane dendrons and metallic core of functionalized gold nanoparticles in their interaction with human serum albumin.功能化金纳米粒子中阳离子碳硅烷树枝状大分子和金属核在与人血清白蛋白相互作用中的作用。
Int J Biol Macromol. 2018 Oct 15;118(Pt B):1773-1780. doi: 10.1016/j.ijbiomac.2018.07.023. Epub 2018 Jul 8.

引用本文的文献

1
Synthesis and Thermal Properties of Bio-Based Janus Ring Siloxanes Incorporating Terpenes and Terpenoids.含萜类和类萜的生物基Janus环硅氧烷的合成与热性能
Materials (Basel). 2024 Oct 31;17(21):5348. doi: 10.3390/ma17215348.

本文引用的文献

1
Hybrid Polycarbosilane-Siloxane Dendrimers: Synthesis and Properties.杂化聚碳硅烷-硅氧烷树枝状大分子:合成与性质
Polymers (Basel). 2021 Feb 17;13(4):606. doi: 10.3390/polym13040606.
2
Limonene Derivative of Spherosilicate as a Polylactide Modifier for Applications in 3D Printing Technology.介孔硅球载柠檬烯衍生物作为聚乳酸改性剂在 3D 打印技术中的应用。
Molecules. 2020 Dec 12;25(24):5882. doi: 10.3390/molecules25245882.
3
Self-assembling Janus dendritic polymer for gene delivery with low cytotoxicity and high gene transfection efficiency.
用于基因递送的具有低细胞毒性和高基因转染效率的自组装Janus树枝状聚合物。
J Mater Chem B. 2016 Oct 21;4(39):6462-6467. doi: 10.1039/c6tb01891b. Epub 2016 Sep 26.
4
Effects of generation number, spacer length and temperature on the structure and intramolecular dynamics of siloxane dendrimer melts: molecular dynamics simulations.代数、间隔长度和温度对硅氧烷树枝状大分子熔体的结构和分子内动力学的影响:分子动力学模拟
Soft Matter. 2020 Apr 15;16(15):3792-3805. doi: 10.1039/d0sm00095g.
5
PEGylated AgNP covered with cationic carbosilane dendrons to enhance antibacterial and inhibition of biofilm properties.聚乙二醇化的 AgNP 被带有正电荷的碳硅烷树枝状大分子覆盖,以增强其抗菌和抑制生物膜的性能。
Int J Pharm. 2019 Oct 5;569:118591. doi: 10.1016/j.ijpharm.2019.118591. Epub 2019 Aug 5.
6
A Comparative Study of Intramolecular Mobility of Single Siloxane and Carbosilane Dendrimers via Molecular Dynamics Simulations.通过分子动力学模拟对单硅氧烷和碳硅烷树枝状大分子分子内流动性的比较研究
Polymers (Basel). 2018 Jul 30;10(8):838. doi: 10.3390/polym10080838.
7
Carbosilane dendrons with fatty acids at the core as a new potential microbicide against HSV-2/HIV-1 co-infection.以脂肪酸为核的碳硅烷树枝状大分子作为一种新型抗 HSV-2/HIV-1 共感染的潜在杀菌剂。
Nanoscale. 2017 Nov 16;9(44):17263-17273. doi: 10.1039/c7nr05859d.
8
Amphiphilic carbosilane dendrons as a novel synthetic platform toward micelle formation.两亲性碳硅烷树枝状分子作为一种用于形成胶束的新型合成平台。
Org Biomol Chem. 2017 Sep 13;15(35):7352-7364. doi: 10.1039/c7ob01331k.
9
Mix and Match: Coassembly of Amphiphilic Dendrimers and Phospholipids Creates Robust, Modular, and Controllable Interfaces.混合搭配:两亲性树状聚合物和磷脂的共组装构建了稳健、模块化且可控制的界面。
ACS Appl Mater Interfaces. 2017 Jan 11;9(1):1029-1035. doi: 10.1021/acsami.6b11556. Epub 2016 Dec 22.
10
An emerging class of amphiphilic dendrimers for pharmaceutical and biomedical applications: Janus amphiphilic dendrimers.用于制药和生物医学应用的一类新兴两亲性树枝状大分子:Janus两亲性树枝状大分子。
Eur J Pharm Sci. 2017 Jan 15;97:113-134. doi: 10.1016/j.ejps.2016.11.013. Epub 2016 Nov 15.