Suppr超能文献

全球不同情景和政策下适宜、可耕种和可用耕地存量评估

Global inventory of suitable, cultivable and available cropland under different scenarios and policies.

机构信息

Department of Geography, Ludwig-Maximilians-Universität München, Munich, Germany.

出版信息

Sci Data. 2022 Aug 27;9(1):527. doi: 10.1038/s41597-022-01632-8.

Abstract

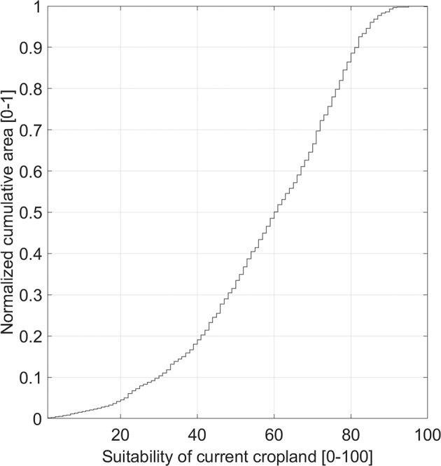
Where land-use change and particularly the expansion of cropland could potentially take place in the future is a central research question to investigate emerging trade-offs between food security, climate protection and biodiversity conservation. We provide consistent global datasets of land potentially suitable, cultivable and available for agricultural use for historic and future time periods from 1980 until 2100 under RCP2.6 and RCP8.5, available at 30 arc-seconds spatial resolution and aggregated at country level. Based on the agricultural suitability of land for 23 globally important food, feed, fiber and bioenergy crops, and high resolution land cover data, our dataset indicates where cultivation is possible and how much land could potentially be used as cropland when biophysical constraints and different assumptions on land-use regulations are taken into account. By serving as an input for land-use models, the produced data could improve the comparability of the models and their output, and thereby contribute to a better understanding of potential land-use trade-offs.

摘要

未来土地利用变化,特别是耕地扩张的潜在地点是一个核心研究问题,旨在研究粮食安全、气候保护和生物多样性保护之间新出现的权衡关系。我们提供了一致的全球数据集,用于研究在 RCP2.6 和 RCP8.5 情景下,从 1980 年到 2100 年历史时期和未来时期土地的潜在适宜性、可耕种性和可用于农业用途的情况,空间分辨率为 30 弧秒,并按国家汇总。基于对 23 种全球重要粮食、饲料、纤维和生物能源作物的土地农业适宜性以及高分辨率土地覆盖数据,我们的数据集表明在考虑生物物理限制和不同土地利用法规假设的情况下,哪些地方可以进行耕种以及可能有多少土地可以用作耕地。通过作为土地利用模型的输入,生成的数据可以提高模型的可比性及其输出,从而有助于更好地理解潜在的土地利用权衡关系。

https://cdn.ncbi.nlm.nih.gov/pmc/blobs/c156/9420104/e895bd2d2449/41597_2022_1632_Fig1_HTML.jpg

文献AI研究员

20分钟写一篇综述,助力文献阅读效率提升50倍。

立即体验

用中文搜PubMed

大模型驱动的PubMed中文搜索引擎

马上搜索

文档翻译

学术文献翻译模型,支持多种主流文档格式。

立即体验