• 文献检索
  • 文档翻译
  • 深度研究
  • 学术资讯
  • Suppr Zotero 插件Zotero 插件
  • 邀请有礼
  • 套餐&价格
  • 历史记录
应用&插件
Suppr Zotero 插件Zotero 插件浏览器插件Mac 客户端Windows 客户端微信小程序
定价
高级版会员购买积分包购买API积分包
服务
文献检索文档翻译深度研究API 文档MCP 服务
关于我们
关于 Suppr公司介绍联系我们用户协议隐私条款
关注我们

Suppr 超能文献

核心技术专利:CN118964589B侵权必究
粤ICP备2023148730 号-1Suppr @ 2026

文献检索

告别复杂PubMed语法,用中文像聊天一样搜索,搜遍4000万医学文献。AI智能推荐,让科研检索更轻松。

立即免费搜索

文件翻译

保留排版,准确专业,支持PDF/Word/PPT等文件格式,支持 12+语言互译。

免费翻译文档

深度研究

AI帮你快速写综述,25分钟生成高质量综述,智能提取关键信息,辅助科研写作。

立即免费体验

甘油三酯-葡萄糖指数与不同高血压亚型之间的关联:一项基于中国人群的研究。

Associations between triglyceride-glucose index and different hypertension subtypes: A population-based study in China.

作者信息

Cai Qian, Xing Cathleen Y, Zhu Jiang, Wang Ying, Lu Fanghong, Peng Jie

机构信息

Department of Geriatric Medicine, Qilu Hospital of Shandong University, Jinan, China.

Key Laboratory of Cardiovascular Proteomics of Shandong Province, Qilu Hospital of Shandong University, Jinan, China.

出版信息

Front Cardiovasc Med. 2022 Aug 11;9:901180. doi: 10.3389/fcvm.2022.901180. eCollection 2022.

DOI:10.3389/fcvm.2022.901180
PMID:36035963
原文链接:https://pmc.ncbi.nlm.nih.gov/articles/PMC9408994/
Abstract

BACKGROUND

Abnormal glycolipid metabolism plays a crucial role in hypertension. While an elevated triglyceride-glucose (TyG) index has been recognized as a risk factor for developing hypertension, the associations between the TyG index and different hypertension subtypes, namely, isolated systolic hypertension (ISH), isolated diastolic hypertension (IDH), and systolic-diastolic hypertension (SDH), remain unclear. This study was designed to investigate the associations between the TyG index and hypertension subtypes in a general Chinese population.

MATERIALS AND METHODS

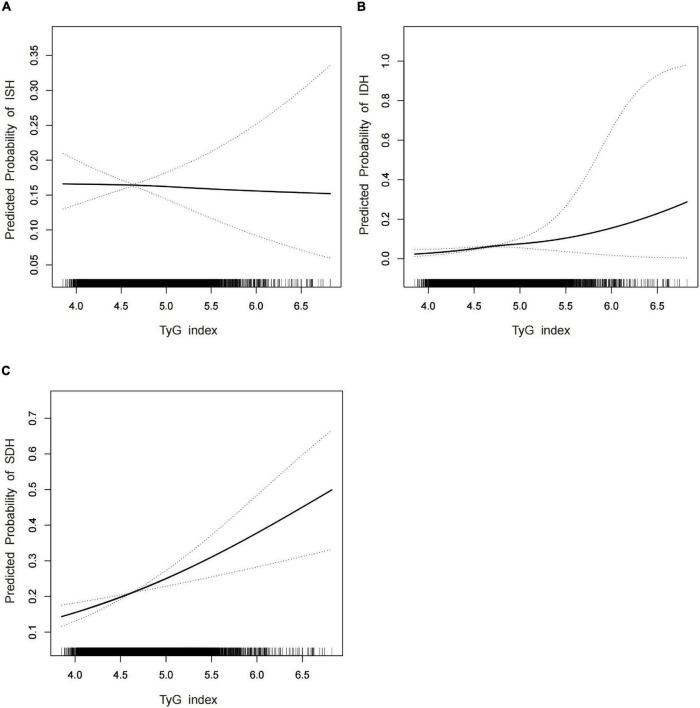
In a sample of 16,793 participants from Shandong Province, China, multivariate logistic regression analyses were performed to examine the associations between the TyG index and different hypertension subtypes. Loess smooth curves were fitted to visualize the trends. Stratified analyses were conducted to further assess the potential interactions in the associations between the TyG index and different hypertension subtypes.

RESULTS

A higher TyG index was associated with an increased odds of having IDH (OR = 2.94, 95% CI: 1.66-5.23) and SDH (OR = 1.82, 95% CI: 1.33-2.49), whereas no apparent relationship was observed between TyG index and ISH. With respect to sex, the effect of TyG index on having IDH and SDH was significant in women, but not in men. Participants with lower lipid profiles and glucose levels demonstrated a stronger strength of association between the TyG index and IDH as compared with the TyG index-SDH association. Stratified analysis showed that participants with a higher TyG index were more than 3 times more likely to have IDH and SDH among persons aged 18-42 years. Significant interactions were observed between TyG index and sex, age, and high-density lipoprotein cholesterol (HDL-C) in the SDH group, and a significant interaction was also found between TyG index and body mass index (BMI) in the ISH group.

CONCLUSION

Triglyceride-glucose index may potentially serve as a novel indicator for IDH and SDH. Our findings could also inform the development and implementation of targeted screening for hypertension.

摘要

背景

异常糖脂代谢在高血压中起关键作用。虽然甘油三酯 - 葡萄糖(TyG)指数升高已被认为是高血压发生的危险因素,但TyG指数与不同高血压亚型,即单纯收缩期高血压(ISH)、单纯舒张期高血压(IDH)和收缩期 - 舒张期高血压(SDH)之间的关联仍不清楚。本研究旨在调查中国普通人群中TyG指数与高血压亚型之间的关联。

材料与方法

在来自中国山东省的16793名参与者样本中,进行多因素逻辑回归分析以检验TyG指数与不同高血压亚型之间的关联。拟合局部加权散点平滑(Loess)曲线以可视化趋势。进行分层分析以进一步评估TyG指数与不同高血压亚型之间关联中的潜在相互作用。

结果

较高的TyG指数与IDH(比值比[OR]=2.94,95%置信区间[CI]:1.66 - 5.23)和SDH(OR = 1.82,95% CI:1.33 - 2.49)发生几率增加相关,而未观察到TyG指数与ISH之间有明显关系。就性别而言,TyG指数对IDH和SDH的影响在女性中显著,但在男性中不显著。与TyG指数 - SDH关联相比,血脂和血糖水平较低的参与者中,TyG指数与IDH之间的关联强度更强。分层分析表明,在18 - 42岁人群中,TyG指数较高的参与者患IDH和SDH的可能性是其他人的3倍以上。在SDH组中观察到TyG指数与性别、年龄和高密度脂蛋白胆固醇(HDL - C)之间存在显著相互作用,在ISH组中也发现TyG指数与体重指数(BMI)之间存在显著相互作用。

结论

甘油三酯 - 葡萄糖指数可能潜在地作为IDH和SDH的新指标。我们的研究结果也可为高血压的针对性筛查的开展和实施提供信息。

https://cdn.ncbi.nlm.nih.gov/pmc/blobs/abb1/9408994/a59a34ceb1c1/fcvm-09-901180-g001.jpg
https://cdn.ncbi.nlm.nih.gov/pmc/blobs/abb1/9408994/a59a34ceb1c1/fcvm-09-901180-g001.jpg
https://cdn.ncbi.nlm.nih.gov/pmc/blobs/abb1/9408994/a59a34ceb1c1/fcvm-09-901180-g001.jpg

相似文献

1
Associations between triglyceride-glucose index and different hypertension subtypes: A population-based study in China.甘油三酯-葡萄糖指数与不同高血压亚型之间的关联:一项基于中国人群的研究。
Front Cardiovasc Med. 2022 Aug 11;9:901180. doi: 10.3389/fcvm.2022.901180. eCollection 2022.
2
Associations of the Triglyceride and Glucose Index With Hypertension Stages, Phenotypes, and Their Progressions Among Middle-Aged and Older Chinese.甘油三酯和血糖指数与中国中老年人群高血压分期、表型及其进展的相关性研究。
Int J Public Health. 2023 Mar 20;68:1605648. doi: 10.3389/ijph.2023.1605648. eCollection 2023.
3
Association and interaction between triglyceride-glucose index and obesity on risk of hypertension in middle-aged and elderly adults.甘油三酯-葡萄糖指数与肥胖对中老年人群高血压发病风险的关联及其交互作用。
Clin Exp Hypertens. 2017;39(8):732-739. doi: 10.1080/10641963.2017.1324477. Epub 2017 Jul 24.
4
A cross-sectional study identifying disparities in serum metabolic profiles among hypertensive patients with ISH, IDH and SDH subtypes.一项横断面研究,旨在确定单纯收缩期高血压、舒张期高血压和收缩期舒张期高血压亚型的高血压患者血清代谢谱的差异。
Front Cardiovasc Med. 2023 May 4;10:1102754. doi: 10.3389/fcvm.2023.1102754. eCollection 2023.
5
A high triglyceride glucose index is more closely associated with hypertension than lipid or glycemic parameters in elderly individuals: a cross-sectional survey from the Reaction Study.在老年人中,高甘油三酯葡萄糖指数与高血压的相关性高于血脂或血糖参数:来自反应研究的一项横断面调查。
Cardiovasc Diabetol. 2020 Jul 14;19(1):112. doi: 10.1186/s12933-020-01077-6.
6
Chronic Kidney Disease Risk of Isolated Systolic or Diastolic Hypertension in Young Adults: A Nationwide Sample Based-Cohort Study.年轻人单纯收缩期或舒张期高血压与慢性肾脏病风险:基于全国样本的队列研究。
J Am Heart Assoc. 2021 Apr 6;10(7):e019764. doi: 10.1161/JAHA.120.019764. Epub 2021 Mar 31.
7
Alcohol intake and hypertension subtypes in Chinese men.中国男性的酒精摄入量与高血压亚型
J Hypertens. 2005 Apr;23(4):737-43. doi: 10.1097/01.hjh.0000163141.82212.5f.
8
Association of body mass index and alcohol intake with hypertension subtypes among HAN Chinese.汉族人群中体质指数和饮酒与高血压亚型的关系。
Clin Exp Hypertens. 2011;33(8):518-24. doi: 10.3109/10641963.2011.561899. Epub 2011 Jul 28.
9
Isolated systolic or diastolic hypertension and mortality risk in young adults using the 2017 American College of Cardiology/American Heart Association blood pressure guideline: a longitudinal cohort study.2017 年美国心脏病学会/美国心脏协会血压指南中青年单纯收缩期或舒张期高血压与死亡率风险:一项纵向队列研究。
J Hypertens. 2023 Feb 1;41(2):271-279. doi: 10.1097/HJH.0000000000003325. Epub 2022 Nov 16.
10
Prevalence of isolated systolic and isolated diastolic hypertension subtypes in China.中国单纯收缩期和单纯舒张期高血压亚型的患病率。
Am J Hypertens. 2004 Oct;17(10):955-62. doi: 10.1016/j.amjhyper.2004.06.007.

引用本文的文献

1
Associations of triglyceride-glucose index and metabolic score for insulin resistance with various hypertension phenotypes in children and adolescents: results from the 2017 China nutrition and health surveillance.儿童和青少年中甘油三酯-葡萄糖指数及胰岛素抵抗代谢评分与各种高血压表型的关联:来自2017年中国营养与健康监测的结果
Front Endocrinol (Lausanne). 2025 Jul 24;16:1595097. doi: 10.3389/fendo.2025.1595097. eCollection 2025.
2
The triglyceride-glucose index is associated with a higher risk of hypertension: evidence from a cross-sectional study of Chinese adults and meta-analysis of epidemiology studies.甘油三酯-葡萄糖指数与高血压风险较高相关:来自中国成年人横断面研究及流行病学研究荟萃分析的证据
Front Endocrinol (Lausanne). 2025 Feb 24;16:1516328. doi: 10.3389/fendo.2025.1516328. eCollection 2025.
3

本文引用的文献

1
The effects of the interaction between BMI and dyslipidemia on hypertension in adults.BMI 与血脂异常对成年人高血压的交互作用的影响。
Sci Rep. 2022 Jan 18;12(1):927. doi: 10.1038/s41598-022-04968-8.
2
Trends in the prevalence of hypertension according to severity and phenotype in Chinese adults over two decades (1991-2015).二十多年来(1991-2015 年)中国成年人中根据严重程度和表型划分的高血压患病率趋势。
J Clin Hypertens (Greenwich). 2021 Jul;23(7):1302-1315. doi: 10.1111/jch.14306. Epub 2021 Jun 15.
3
The association of triglyceride and glucose index, and triglyceride to high-density lipoprotein cholesterol ratio with prehypertension and hypertension in normoglycemic subjects: A large cross-sectional population study.
Association between elevated glycosylated hemoglobin levels and hypertension among US adults: NHANES 2011-2018.美国成年人糖化血红蛋白水平升高与高血压之间的关联:2011 - 2018年美国国家健康与营养检查调查(NHANES)
BMC Cardiovasc Disord. 2025 Jan 27;25(1):58. doi: 10.1186/s12872-025-04503-3.
4
Triglyceride-Glucose Index as Predictor for Hypertension, CHD and STROKE Risk among Non-Diabetic Patients: A NHANES Cross-Sectional Study 2001-2020.甘油三酯-葡萄糖指数预测非糖尿病患者高血压、冠心病和卒中风险:NHANES 2001-2020 横断面研究。
J Epidemiol Glob Health. 2024 Sep;14(3):1152-1166. doi: 10.1007/s44197-024-00269-7. Epub 2024 Jul 2.
5
Measurements of Abdominal Obesity are Associated with Metabolic Syndrome Severity Independent of Hypertensive Phenotype in White but not Black Young Adults.腹部肥胖测量值与白人而非黑人青年成人的代谢综合征严重程度相关,且独立于高血压表型。
J Racial Ethn Health Disparities. 2024 Jun 20. doi: 10.1007/s40615-024-02051-8.
6
The effect of insulin resistance in the association between obesity and hypertension incidence among Chinese middle-aged and older adults: data from China health and retirement longitudinal study (CHARLS).胰岛素抵抗在中国中老年人群中肥胖与高血压发病关联中的作用:来自中国健康与养老追踪调查(CHARLS)的数据。
Front Public Health. 2024 Feb 13;12:1320918. doi: 10.3389/fpubh.2024.1320918. eCollection 2024.
7
Association between the risk of hypertension and triglyceride glucose index in Chinese regions: a systematic review and dose-response meta-analysis of a regional update.中国各地区高血压风险与甘油三酯葡萄糖指数之间的关联:一项区域更新的系统评价和剂量反应荟萃分析
Front Cardiovasc Med. 2023 Jul 31;10:1242035. doi: 10.3389/fcvm.2023.1242035. eCollection 2023.
8
Triglyceride glucose-body mass index and hypertension risk in iranian adults: a population-based study.甘油三酯-血糖-体重指数与伊朗成年人高血压风险:一项基于人群的研究。
BMC Endocr Disord. 2023 Jul 21;23(1):156. doi: 10.1186/s12902-023-01411-5.
9
The preoperative triglyceride-glucose index has a positive effect on predicting the risk of short-term restenosis after carotid artery stenting: a retrospective cohort study.术前甘油三酯-葡萄糖指数对预测颈动脉支架置入术后短期再狭窄风险具有积极作用:一项回顾性队列研究。
Front Neurol. 2023 Apr 17;14:1159601. doi: 10.3389/fneur.2023.1159601. eCollection 2023.
在血糖正常的人群中,甘油三酯和葡萄糖指数以及甘油三酯与高密度脂蛋白胆固醇比值与高血压前期和高血压的相关性:一项大型横断面人群研究。
J Clin Hypertens (Greenwich). 2021 Jul;23(7):1405-1412. doi: 10.1111/jch.14305. Epub 2021 Jun 12.
4
Management of Stage 1 Hypertension in Adults With a Low 10-Year Risk for Cardiovascular Disease: Filling a Guidance Gap: A Scientific Statement From the American Heart Association.成人 10 年心血管疾病风险低的 1 期高血压管理:填补指导空白:美国心脏协会的科学声明。
Hypertension. 2021 Jun;77(6):e58-e67. doi: 10.1161/HYP.0000000000000195. Epub 2021 Apr 29.
5
Novel therapeutics for the treatment of hypertension and its associated complications: peptide- and nonpeptide-based strategies.治疗高血压及其相关并发症的新疗法:基于肽和非肽的策略。
Hypertens Res. 2021 Jul;44(7):740-755. doi: 10.1038/s41440-021-00643-z. Epub 2021 Mar 17.
6
Dietary Carbohydrate Intake and New-Onset Hypertension: A Nationwide Cohort Study in China.饮食碳水化合物摄入量与新发高血压:中国一项全国性队列研究。
Hypertension. 2021 Aug;78(2):422-430. doi: 10.1161/HYPERTENSIONAHA.120.16751. Epub 2021 Feb 8.
7
Increased visceral fat accumulation modifies the effect of insulin resistance on arterial stiffness and hypertension risk.内脏脂肪堆积增加会改变胰岛素抵抗对动脉僵硬和高血压风险的影响。
Nutr Metab Cardiovasc Dis. 2021 Feb 8;31(2):506-517. doi: 10.1016/j.numecd.2020.09.031. Epub 2020 Oct 15.
8
Lipid Profile Modulates Cardiometabolic Risk Biomarkers Including Hypertension in People with Type-2 Diabetes: A Focus on Unbalanced Ratio of Plasma Polyunsaturated/Saturated Fatty Acids.脂代谢谱调节 2 型糖尿病患者的心血管代谢风险生物标志物,包括高血压:以血浆多不饱和/饱和脂肪酸不平衡比值为重点。
Molecules. 2020 Sep 20;25(18):4315. doi: 10.3390/molecules25184315.
9
Endothelial dysfunction due to selective insulin resistance in vascular endothelium: insights from mechanistic modeling.血管内皮选择性胰岛素抵抗导致的内皮功能障碍:来自机制建模的见解。
Am J Physiol Endocrinol Metab. 2020 Sep 1;319(3):E629-E646. doi: 10.1152/ajpendo.00247.2020. Epub 2020 Aug 10.
10
A high triglyceride glucose index is more closely associated with hypertension than lipid or glycemic parameters in elderly individuals: a cross-sectional survey from the Reaction Study.在老年人中,高甘油三酯葡萄糖指数与高血压的相关性高于血脂或血糖参数:来自反应研究的一项横断面调查。
Cardiovasc Diabetol. 2020 Jul 14;19(1):112. doi: 10.1186/s12933-020-01077-6.