Suppr超能文献

优化 XN-10(Sysmex®)分析干扰对红细胞的影响的管理。

Optimizing the management of analytical interferences affecting red blood cells on XN-10 (Sysmex®).

机构信息

INSERM, UMR_S 1116, Vandœuvre-lès-Nancy, France.

CHRU Nancy, Service d'hématologie biologique, Pôle Laboratoires, Nancy, France.

出版信息

Int J Lab Hematol. 2022 Dec;44(6):1068-1077. doi: 10.1111/ijlh.13951. Epub 2022 Aug 22.

Abstract

INTRODUCTION

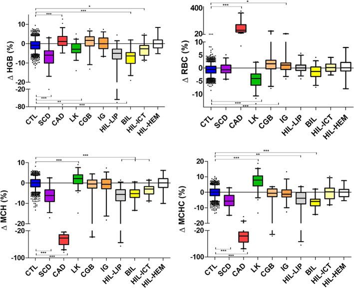
Interferences on red blood cells (RBCs) measurement and the associated parameters in haematology analyzers are very common. Many sources of interferences are described but their management remains uncertain depending on the measurement system; we aimed at developing an optimized scheme allowing the accurate management of most interferences affecting RBCs, based on the alternative "optical" parameters from SYSMEX XN-10.

METHODS

Samples from 12 groups of relevant interferences were analysed and compared with a control group allowing (1) the determination of deviation thresholds beyond which an interference is likely, and (2) the development of two flowcharts for their subsequent management. These flowcharts were then evaluated among a bank of retrospective typical cases of interferences and in the routine flow of the laboratory.

RESULTS

After verifying the excellent agreement between standard and alternative parameters, the comparative study between analytical channels allowed to determine an acceptable deviation and then discriminate technical concerns caused by cold agglutinins, leukocytosis and plasma-related interferences. This led to the development of flowcharts ensuring the accurate management of these interferences, whether MCHC is <320 or >365 g/L. These proposed flowcharts allowed the correction of 63/65 historical confirmed interferences cases (97%). Furthermore, they corrected 18 results among 901 unselected prospective samples.

CONCLUSION

The resulting flowcharts allow a relevant correction for most common interferences affecting RBCs and are now definitively included in the routine analytical management and will be directly incorporated in the middleware of the laboratory.

摘要

简介

在血液分析仪中,红细胞(RBC)的测量及其相关参数经常受到干扰。虽然有许多干扰源被描述,但由于测量系统的不同,其管理仍不确定;我们旨在开发一种优化方案,根据希森美康 XN-10 的替代“光学”参数,准确管理大多数影响 RBC 的干扰,方法:分析了 12 组相关干扰的样本,并与对照组进行了比较,允许(1)确定可能发生干扰的偏差阈值,以及(2)为后续管理开发两个流程图。然后,我们在一批回顾性的典型干扰案例和实验室常规流程中评估了这些流程图。结果:在验证标准和替代参数之间具有极好的一致性之后,对分析通道之间的比较研究允许确定可接受的偏差,然后区分由冷抗体、白细胞增多和血浆相关干扰引起的技术问题。这导致了流程图的开发,以确保这些干扰的准确管理,无论 MCHC 为<320 还是>365 g/L。这些提出的流程图纠正了 63/65 例历史确认的干扰案例(97%)。此外,它们纠正了 901 例未选中的前瞻性样本中的 18 个结果。结论:所产生的流程图允许对影响 RBC 的大多数常见干扰进行相关纠正,现在已被明确纳入常规分析管理,并将直接纳入实验室中间件。

https://cdn.ncbi.nlm.nih.gov/pmc/blobs/f798/9804823/ae79b4340092/IJLH-44-1068-g003.jpg

文献检索

告别复杂PubMed语法,用中文像聊天一样搜索,搜遍4000万医学文献。AI智能推荐,让科研检索更轻松。

立即免费搜索

文件翻译

保留排版,准确专业,支持PDF/Word/PPT等文件格式,支持 12+语言互译。

免费翻译文档

深度研究

AI帮你快速写综述,25分钟生成高质量综述,智能提取关键信息,辅助科研写作。

立即免费体验