• 文献检索
  • 文档翻译
  • 深度研究
  • 学术资讯
  • Suppr Zotero 插件Zotero 插件
  • 邀请有礼
  • 套餐&价格
  • 历史记录
应用&插件
Suppr Zotero 插件Zotero 插件浏览器插件Mac 客户端Windows 客户端微信小程序
定价
高级版会员购买积分包购买API积分包
服务
文献检索文档翻译深度研究API 文档MCP 服务
关于我们
关于 Suppr公司介绍联系我们用户协议隐私条款
关注我们

Suppr 超能文献

核心技术专利:CN118964589B侵权必究
粤ICP备2023148730 号-1Suppr @ 2026

文献检索

告别复杂PubMed语法,用中文像聊天一样搜索,搜遍4000万医学文献。AI智能推荐,让科研检索更轻松。

立即免费搜索

文件翻译

保留排版,准确专业,支持PDF/Word/PPT等文件格式,支持 12+语言互译。

免费翻译文档

深度研究

AI帮你快速写综述,25分钟生成高质量综述,智能提取关键信息,辅助科研写作。

立即免费体验

具有金刚石/氮化铝/叉指换能器/氮化铝/金刚石多层结构的高频表面声波谐振器

High-Frequency Surface Acoustic Wave Resonator with Diamond/AlN/IDT/AlN/Diamond Multilayer Structure.

作者信息

Lei Liang, Dong Bo, Hu Yuxuan, Lei Yisong, Wang Zhizhong, Ruan Shuangchen

机构信息

College of Integrated Circuits and Optoelectronic Chips, Shenzhen Technology University, Shenzhen 518118, China.

出版信息

Sensors (Basel). 2022 Aug 28;22(17):6479. doi: 10.3390/s22176479.

DOI:10.3390/s22176479
PMID:36080938
原文链接:https://pmc.ncbi.nlm.nih.gov/articles/PMC9460613/
Abstract

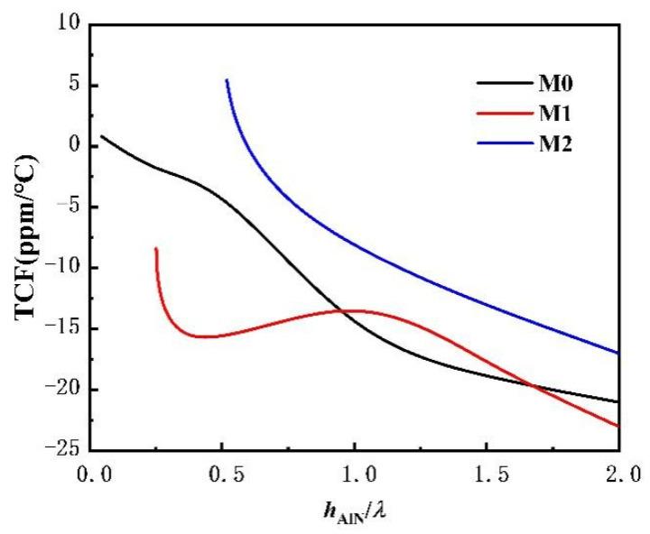
A high-frequency surface acoustic wave (SAW) resonator, based on sandwiched interdigital transducer (IDT), is presented. The resonator has the structure of diamond/AlN/IDT/AlN/diamond, with Si as the substrate. The results show that its phase velocity and electromechanical coupling coefficient are both significantly improved, compared with that of the traditional interdigital transduce-free surface structure. The M2 mode of the sandwiched structure can excite an operation frequency up to 6.15 GHz, with an electromechanical coupling coefficient of 5.53%, phase velocity of 12,470 m/s, and temperature coefficient of frequency of -6.3 ppm/°C. This structure provides a new ideal for the design of high-performance and high-frequency SAW devices.

摘要

本文提出了一种基于夹心叉指换能器(IDT)的高频表面声波(SAW)谐振器。该谐振器具有金刚石/氮化铝/叉指换能器/氮化铝/金刚石结构,以硅为衬底。结果表明,与传统的无叉指换能器表面结构相比,其相速度和机电耦合系数均有显著提高。夹心结构的M2模式可激发高达6.15 GHz的工作频率,机电耦合系数为5.53%,相速度为12470 m/s,频率温度系数为-6.3 ppm/°C。这种结构为高性能高频SAW器件的设计提供了新的理想方案。

https://cdn.ncbi.nlm.nih.gov/pmc/blobs/cd24/9460613/ce89344e67f5/sensors-22-06479-g011.jpg
https://cdn.ncbi.nlm.nih.gov/pmc/blobs/cd24/9460613/f8b4fcd3e68e/sensors-22-06479-g001.jpg
https://cdn.ncbi.nlm.nih.gov/pmc/blobs/cd24/9460613/438dc295f132/sensors-22-06479-g002.jpg
https://cdn.ncbi.nlm.nih.gov/pmc/blobs/cd24/9460613/e393b35f3dae/sensors-22-06479-g003.jpg
https://cdn.ncbi.nlm.nih.gov/pmc/blobs/cd24/9460613/4beadce79953/sensors-22-06479-g004.jpg
https://cdn.ncbi.nlm.nih.gov/pmc/blobs/cd24/9460613/064007b78d3e/sensors-22-06479-g005.jpg
https://cdn.ncbi.nlm.nih.gov/pmc/blobs/cd24/9460613/e6f671b04f71/sensors-22-06479-g006.jpg
https://cdn.ncbi.nlm.nih.gov/pmc/blobs/cd24/9460613/7cc9a93bd6fd/sensors-22-06479-g007.jpg
https://cdn.ncbi.nlm.nih.gov/pmc/blobs/cd24/9460613/bba6a9401221/sensors-22-06479-g008.jpg
https://cdn.ncbi.nlm.nih.gov/pmc/blobs/cd24/9460613/7442205b2e6c/sensors-22-06479-g009.jpg
https://cdn.ncbi.nlm.nih.gov/pmc/blobs/cd24/9460613/b85fe5563e04/sensors-22-06479-g010.jpg
https://cdn.ncbi.nlm.nih.gov/pmc/blobs/cd24/9460613/ce89344e67f5/sensors-22-06479-g011.jpg
https://cdn.ncbi.nlm.nih.gov/pmc/blobs/cd24/9460613/f8b4fcd3e68e/sensors-22-06479-g001.jpg
https://cdn.ncbi.nlm.nih.gov/pmc/blobs/cd24/9460613/438dc295f132/sensors-22-06479-g002.jpg
https://cdn.ncbi.nlm.nih.gov/pmc/blobs/cd24/9460613/e393b35f3dae/sensors-22-06479-g003.jpg
https://cdn.ncbi.nlm.nih.gov/pmc/blobs/cd24/9460613/4beadce79953/sensors-22-06479-g004.jpg
https://cdn.ncbi.nlm.nih.gov/pmc/blobs/cd24/9460613/064007b78d3e/sensors-22-06479-g005.jpg
https://cdn.ncbi.nlm.nih.gov/pmc/blobs/cd24/9460613/e6f671b04f71/sensors-22-06479-g006.jpg
https://cdn.ncbi.nlm.nih.gov/pmc/blobs/cd24/9460613/7cc9a93bd6fd/sensors-22-06479-g007.jpg
https://cdn.ncbi.nlm.nih.gov/pmc/blobs/cd24/9460613/bba6a9401221/sensors-22-06479-g008.jpg
https://cdn.ncbi.nlm.nih.gov/pmc/blobs/cd24/9460613/7442205b2e6c/sensors-22-06479-g009.jpg
https://cdn.ncbi.nlm.nih.gov/pmc/blobs/cd24/9460613/b85fe5563e04/sensors-22-06479-g010.jpg
https://cdn.ncbi.nlm.nih.gov/pmc/blobs/cd24/9460613/ce89344e67f5/sensors-22-06479-g011.jpg

相似文献

1
High-Frequency Surface Acoustic Wave Resonator with Diamond/AlN/IDT/AlN/Diamond Multilayer Structure.具有金刚石/氮化铝/叉指换能器/氮化铝/金刚石多层结构的高频表面声波谐振器
Sensors (Basel). 2022 Aug 28;22(17):6479. doi: 10.3390/s22176479.
2
High-frequency SAW filters based on diamond films.基于金刚石薄膜的高频声表面波滤波器。
IEEE Trans Ultrason Ferroelectr Freq Control. 2012 Dec;59(12):2758-64. doi: 10.1109/TUFFC.2012.2517.
3
Investigation of Surface Acoustic Wave Propagation Characteristics in New Multilayer Structure: SiO/IDT/LiNbO/Diamond/Si.新型多层结构SiO/IDT/LiNbO/Diamond/Si中表面声波传播特性的研究
Micromachines (Basel). 2021 Oct 21;12(11):1286. doi: 10.3390/mi12111286.
4
Surface acoustic wave properties of (100) AlN films on diamond with different IDT positions.不同叉指换能器(IDT)位置的金刚石上(100)氮化铝(AlN)薄膜的表面声波特性
IEEE Trans Ultrason Ferroelectr Freq Control. 2009 Jun;56(6):1246-51. doi: 10.1109/TUFFC.2009.1166.
5
FEM Analysis of Sezawa Mode SAW Sensor for VOC Based on CMOS Compatible AlN/SiO₂/Si Multilayer Structure.基于 CMOS 兼容的 AlN/SiO₂/Si 多层结构的基于 VOC 的 Sezawa 模式 SAW 传感器的有限元分析。
Sensors (Basel). 2018 May 24;18(6):1687. doi: 10.3390/s18061687.
6
Theoretical analysis of SAW propagation characteristics in (100) oriented AlN/diamond structure.(100)取向 AlN/金刚石结构中声表面波传播特性的理论分析。
IEEE Trans Ultrason Ferroelectr Freq Control. 2010 Jan;57(1):46-51. doi: 10.1109/TUFFC.2010.1377.
7
Simulation of characteristics of a SiO2/c-axis-oriented LiNbO3/diamond surface acoustic wave.二氧化硅/ c轴取向铌酸锂/金刚石表面声波特性的模拟
IEEE Trans Ultrason Ferroelectr Freq Control. 2004 Dec;51(12):1683-9. doi: 10.1109/tuffc.2004.1386685.
8
Contribution of Ribbon-Structured SiO Films to AlN-Based and AlN/Diamond-Based Lamb Wave Resonators.带状结构SiO薄膜对基于AlN和基于AlN/金刚石的兰姆波谐振器的贡献。
Sensors (Basel). 2023 Jul 10;23(14):6284. doi: 10.3390/s23146284.
9
Low propagation loss in a one-port SAW resonator fabricated on single-crystal diamond for super-high-frequency applications.在单晶金刚石上制造的用于超高频率应用的单端口声表面波谐振器具有低传播损耗。
IEEE Trans Ultrason Ferroelectr Freq Control. 2013 May;60(5):986-92. doi: 10.1109/TUFFC.2013.2656.
10
AlN/IDT/AlN/Sapphire SAW Heterostructure for High-Temperature Applications.用于高温应用的AlN/IDT/AlN/蓝宝石表面声波异质结构
IEEE Trans Ultrason Ferroelectr Freq Control. 2016 Jun;63(6):898-906. doi: 10.1109/TUFFC.2016.2547188. Epub 2016 Apr 4.

引用本文的文献

1
Contribution of Ribbon-Structured SiO Films to AlN-Based and AlN/Diamond-Based Lamb Wave Resonators.带状结构SiO薄膜对基于AlN和基于AlN/金刚石的兰姆波谐振器的贡献。
Sensors (Basel). 2023 Jul 10;23(14):6284. doi: 10.3390/s23146284.

本文引用的文献

1
Structure with thin SiO/SiN bilayer and Al electrodes for high-frequency, large-coupling, and low-cost surface acoustic wave devices.用于高频、大耦合和低成本表面声波器件的具有SiO/SiN双层薄膜和铝电极的结构
Ultrasonics. 2021 Aug;115:106460. doi: 10.1016/j.ultras.2021.106460. Epub 2021 May 17.
2
High-velocity non-attenuated acoustic waves in LiTaO/quartz layered substrates for high frequency resonators.用于高频谐振器的LiTaO/石英层状衬底中的高速无衰减声波。
Ultrasonics. 2019 May;95:1-5. doi: 10.1016/j.ultras.2019.03.001. Epub 2019 Mar 2.
3
Surface acoustic wave microfluidics.
表面声波微流控技术。
Lab Chip. 2013 Sep 21;13(18):3626-49. doi: 10.1039/c3lc50361e.
4
Growth of A1N piezoelectric film on diamond for high-frequency surface acoustic wave devices.用于高频表面声波器件的金刚石上AlN压电薄膜的生长
IEEE Trans Ultrason Ferroelectr Freq Control. 2005 Oct;52(10):1806-11. doi: 10.1109/tuffc.2005.1561635.
5
SAW COM-parameter extraction in AlN/diamond layered structures.在氮化铝/金刚石层状结构中进行表面声波(SAW)通信参数提取。
IEEE Trans Ultrason Ferroelectr Freq Control. 2003 Nov;50(11):1542-7. doi: 10.1109/tuffc.2003.1251137.