Suppr超能文献

欧盟(EU)扩大能否促进区域经济共同增长?多期差分(DID)方法。

Can European Union (EU) Enlargement Boost Regional Economic Common Growth? Multi-Period Difference-in-Difference (DID) Method.

机构信息

College of Economics and Management, China Jiliang University, Hangzhou 310018, China.

出版信息

J Environ Public Health. 2022 Aug 30;2022:4502628. doi: 10.1155/2022/4502628. eCollection 2022.

Abstract

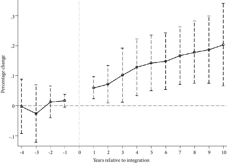
Under the dual background of Britain's blatant "Brexit" and the steady "expansion" of the European Union (EU) audit list, the economic effect of the development of regional alliances, in the end, is a question worthy of in-depth discussion. Using data from a sample of 27 EU member states from 2000 to 2018, this study examines and compares the impact of EU enlargement on economic growth for countries as a whole, developed and developing countries, and Central and Eastern European (CEE) countries using a multi-period difference-in-difference (DID) method and explores the mechanisms underlying that. The results show that EU enlargement contributes to the expected regional economic growth, and the effect is more evident in developed countries and CEE countries; the robustness of the results is tested by the dynamic effect test and counterfactual method; EU enlargement improves the spatial allocation of factor markets through regional integration, increases productivity, and positively promotes the overall national economic growth. As a typical quasi-natural experiment of the development of regional integration, the research results of this study on the enlargement of the EU provide a useful reference for the promotion of the development of cross-administrative integration around the world.

摘要

在英国公然“脱欧”和欧盟审计名单稳步“扩容”的双重背景下,区域联盟发展的经济效应,最终是一个值得深入探讨的问题。本文利用 2000 年至 2018 年 27 个欧盟成员国的样本数据,采用多期双重差分(DID)方法,考察和比较了欧盟扩大对整体、发达和发展中国家以及中东欧(CEE)国家经济增长的影响,并探讨了其背后的机制。结果表明,欧盟扩大有助于实现区域经济增长的预期,这一效应在发达国家和 CEE 国家更为明显;通过动态效应检验和反事实方法检验了结果的稳健性;欧盟扩大通过区域一体化改善了要素市场的空间配置,提高了生产力,对整体国家经济增长产生了积极的促进作用。作为区域一体化发展的典型准自然实验,本文对欧盟扩大的研究结果为全球跨行政区一体化发展提供了有益的参考。

https://cdn.ncbi.nlm.nih.gov/pmc/blobs/d7da/9448585/c23b74b98b4f/JEPH2022-4502628.001.jpg

文献AI研究员

20分钟写一篇综述,助力文献阅读效率提升50倍。

立即体验

用中文搜PubMed

大模型驱动的PubMed中文搜索引擎

马上搜索

文档翻译

学术文献翻译模型,支持多种主流文档格式。

立即体验