Department of Clinical Oncology, Hospital Sirio Libanes, São Paulo, Brazil.
Latin American Cooperative Oncology Group (LACOG), Porto Alegre, RS, Brazil.
Oncologist. 2023 Feb 8;28(2):e82-e91. doi: 10.1093/oncolo/oyac180.
Cyclin pathway gene alterations are frequent in urothelial tumors and may co-exist with other important aberrations, leading to therapeutic opportunities. We characterized the landscape of cyclin gene alterations in urothelial and non-urothelial urinary tract (UT) malignancies.
Overall, 6842 urothelial and 897 non-urothelial UT cancers were analyzed (hybrid-capture-based comprehensive genomic profile (Foundation Medicine)). Alteration frequency in cyclin-sensitizing and -resistance genes, and co-occurrence with fibroblast growth factor receptor (FGFR) gene abnormalities were evaluated.
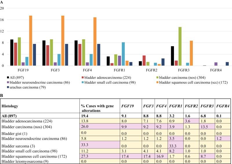
Cyclin-activating gene alterations were detected in 47.3% of urothelial and 37.9% of non-urothelial UT cancers. Frequency varied by histology and tumor site. CDKN2A and CDKN2B loss were the most frequent alterations in urothelial tumors (present in 38.5% and 30.4% of patients, respectively). Both genes were less frequently altered in adenocarcinomas (15.2% and 8.9%), but commonly altered in squamous cell carcinomas (74.4% and 39%). Tumors of neuroendocrine origin were relatively silent in activating cyclin alterations, but frequently displayed Rb1 alterations (86% and 83.7% of neuroendocrines and small cell carcinomas). Urachal tumors (n = 79) presented a distinct landscape of cyclin alterations relative to other UT cancers, with less frequent alterations overall. FGF/FGFR genes were altered in 34.9% of urothelial (22.1% in FGFR3), and 19.4% of non-urothelial urinary tract tumors (6.8% FGFR3). Cyclin-activating alterations frequently co-occurred with FGF/FGFR alterations but were in general mutually exclusively with cyclin resistance alterations (RB1/CCNE1).
Cyclin pathway activating alterations are common in urinary tract tumors, but frequency varies with histology and tumors sites. Co-occurrence of cyclin and FGFR pathway alterations may inform therapeutic opportunities.
细胞周期蛋白通路基因改变在尿路上皮肿瘤中很常见,并且可能与其他重要的异常并存,从而提供治疗机会。我们对尿路上皮和非尿路上皮尿路(UT)恶性肿瘤中的细胞周期蛋白基因改变进行了特征描述。
总共分析了 6842 例尿路上皮和 897 例非尿路上皮 UT 癌(基于杂交捕获的全面基因组分析(Foundation Medicine))。评估了细胞周期蛋白敏化和耐药基因的改变频率,以及与成纤维细胞生长因子受体(FGFR)基因异常的共同发生情况。
在尿路上皮和非尿路上皮 UT 癌中分别检测到细胞周期蛋白激活基因改变 47.3%和 37.9%。频率因组织学和肿瘤部位而异。CDKN2A 和 CDKN2B 缺失是尿路上皮肿瘤中最常见的改变(分别存在于 38.5%和 30.4%的患者中)。这两个基因在腺癌中改变较少(分别为 15.2%和 8.9%),但在鳞状细胞癌中常见(分别为 74.4%和 39%)。神经内分泌起源的肿瘤在激活细胞周期蛋白改变方面相对沉默,但经常显示 Rb1 改变(86%和 83.7%的神经内分泌和小细胞癌)。与其他 UT 癌相比,脐尿管肿瘤(n=79)的细胞周期蛋白改变具有独特的特征,总体改变频率较低。FGF/FGFR 基因改变见于 34.9%的尿路上皮癌(22.1%在 FGFR3)和 19.4%的非尿路上皮 UT 肿瘤(6.8% FGFR3)。细胞周期蛋白激活改变常与 FGF/FGFR 改变共同发生,但通常与细胞周期蛋白耐药改变(RB1/CCNE1)相互排斥。
细胞周期蛋白通路激活改变在尿路肿瘤中很常见,但频率随组织学和肿瘤部位而异。细胞周期蛋白和 FGFR 通路改变的共同发生可能为治疗机会提供信息。