Suppr超能文献

牛蒡苷元:药理学、全合成及结构修饰的研究进展。

Arctigenin: pharmacology, total synthesis, and progress in structure modification.

机构信息

Key Laboratory of Natural Medicines of the Changbai Mountain, Affifiliated Ministry of Education, College of Pharmacy, Yanbian University, Jilin, China.

出版信息

J Enzyme Inhib Med Chem. 2022 Dec;37(1):2452-2477. doi: 10.1080/14756366.2022.2115035.

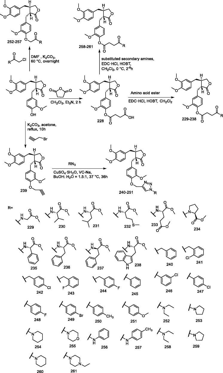
Abstract

is a prevalent medicinal herb and a health supplement that is commonly used in Asia. Over the last few decades, the bioactive component arctigenin has attracted the attention of researchers because of its anti-inflammatory, antioxidant, immunomodulatory, multiple sclerosis fighting, antitumor, and anti-leukemia properties. After summarising the research and literature on arctigenin, this study outlines the current status of research on pharmacological activity, total synthesis, and structural modification of arctigenin. The purpose of this study is to assist academics in obtaining a more comprehensive understanding of the research progress on arctigenin and to provide constructive suggestions for further investigation of this useful molecule.

摘要

是一种常见的药用草本植物和保健品,在亚洲被广泛使用。在过去的几十年中,其生物活性成分牛蒡子苷元因其具有抗炎、抗氧化、免疫调节、多发性硬化症治疗、抗肿瘤和抗白血病等特性而引起了研究人员的关注。在总结了牛蒡子苷元的研究和文献后,本研究概述了牛蒡子苷元的药理学活性、全合成和结构修饰的研究现状。本研究旨在帮助学者更全面地了解牛蒡子苷元的研究进展,并为进一步研究这一有用的分子提供建设性的建议。

https://cdn.ncbi.nlm.nih.gov/pmc/blobs/e017/9481144/b7476d2701fa/IENZ_A_2115035_F0001_B.jpg

文献检索

告别复杂PubMed语法,用中文像聊天一样搜索,搜遍4000万医学文献。AI智能推荐,让科研检索更轻松。

立即免费搜索

文件翻译

保留排版,准确专业,支持PDF/Word/PPT等文件格式,支持 12+语言互译。

免费翻译文档

深度研究

AI帮你快速写综述,25分钟生成高质量综述,智能提取关键信息,辅助科研写作。

立即免费体验