Hospital Clínico Universitario de Valladolid, Avenida de Ramón y Cajal, 3, 47003 Valladolid, Spain.
Institute of Natural Products and Agrobiology, IPNA-CSIC-Spanish Research Council, Avda. Astrofísico Fco. Sánchez, 38206 San Cristóbal de La Laguna, Spain.
Int J Mol Sci. 2022 Sep 14;23(18):10735. doi: 10.3390/ijms231810735.
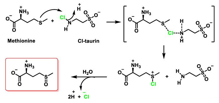
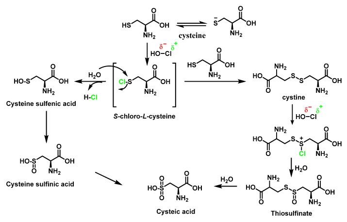
This review discusses the formation of hypochlorous acid HOCl and the role of reactive chlorinated species (RCS), which are catalysed by the enzyme myeloperoxidase MPO, mainly located in leukocytes and which in turn contribute to cellular oxidative stress. The reactions of RCS with various organic molecules such as amines, amino acids, proteins, lipids, carbohydrates, nucleic acids, and DNA are described, and an attempt is made to explain the chemical mechanisms of the formation of the various chlorinated derivatives and the data available so far on the effects of MPO, RCS and halogenative stress. Their presence in numerous pathologies such as atherosclerosis, arthritis, neurological and renal diseases, diabetes, and obesity is reviewed and were found to be a feature of debilitating diseases.
本文讨论了次氯酸 HOCl 的形成以及活性氯化物(RCS)的作用,这些物质主要由白细胞中的酶髓过氧化物酶 MPO 催化产生,并反过来导致细胞氧化应激。描述了 RCS 与各种有机分子(如胺、氨基酸、蛋白质、脂质、碳水化合物、核酸和 DNA)的反应,并尝试解释形成各种氯化衍生物的化学机制以及迄今为止关于 MPO、RCS 和卤化应激的影响的数据。综述了它们在动脉粥样硬化、关节炎、神经和肾脏疾病、糖尿病和肥胖等多种疾病中的存在,并发现它们是虚弱疾病的特征。