Reddy V Prakash, Aryal Puspa, Darkwah Emmanuel K
Department of Chemistry, Missouri University of Science and Technology, Rolla, MO 65409, USA.
Microorganisms. 2022 Sep 15;10(9):1848. doi: 10.3390/microorganisms10091848.
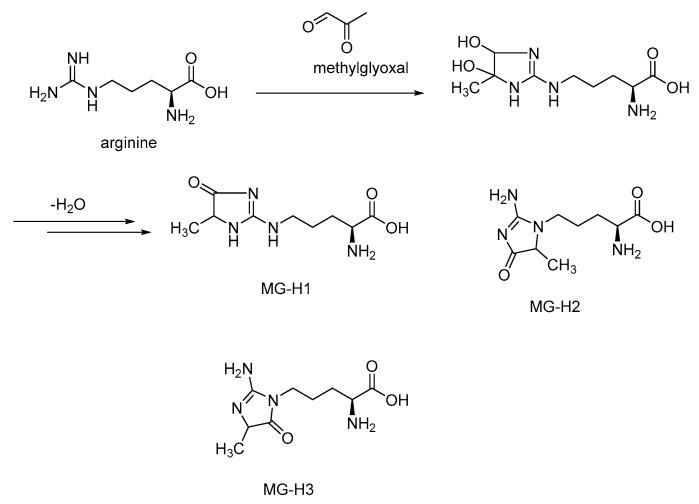
Advanced glycation end products (AGEs), formed through the nonenzymatic reaction of reducing sugars with the side-chain amino groups of lysine or arginine of proteins, followed by further glycoxidation reactions under oxidative stress conditions, are involved in the onset and exacerbation of a variety of diseases, including diabetes, atherosclerosis, and Alzheimer's disease (AD) as well as in the secondary stages of traumatic brain injury (TBI). AGEs, in the form of intra- and interprotein crosslinks, deactivate various enzymes, exacerbating disease progression. The interactions of AGEs with the receptors for the AGEs (RAGE) also result in further downstream inflammatory cascade events. The overexpression of RAGE and the AGE-RAGE interactions are especially involved in cases of Alzheimer's disease and other neurodegenerative diseases, including TBI and amyotrophic lateral sclerosis (ALS). Maillard reactions are also observed in the gut bacterial species. The protein aggregates found in the bacterial species resemble those of AD and Parkinson's disease (PD), and AGE inhibitors increase the life span of the bacteria. Dietary AGEs alter the gut microbiota composition and elevate plasma glycosylation, thereby leading to systemic proinflammatory effects and endothelial dysfunction. There is emerging interest in developing AGE inhibitor and AGE breaker compounds to treat AGE-mediated pathologies, including diabetes and neurodegenerative diseases. Gut-microbiota-derived enzymes may also function as AGE-breaker biocatalysts. Thus, AGEs have a prominent role in the pathogenesis of various diseases, and the AGE inhibitor and AGE breaker approach may lead to novel therapeutic candidates.
晚期糖基化终末产物(AGEs)是通过还原糖与蛋白质赖氨酸或精氨酸侧链氨基的非酶促反应形成的,随后在氧化应激条件下进一步发生糖氧化反应,参与多种疾病的发生和加重,包括糖尿病、动脉粥样硬化和阿尔茨海默病(AD)以及创伤性脑损伤(TBI)的继发性阶段。AGEs以蛋白质内和蛋白质间交联的形式使各种酶失活,加剧疾病进展。AGEs与AGEs受体(RAGE)的相互作用还会导致进一步的下游炎症级联事件。RAGE的过度表达以及AGE-RAGE相互作用尤其与阿尔茨海默病和其他神经退行性疾病有关,包括TBI和肌萎缩侧索硬化症(ALS)。在肠道细菌种类中也观察到美拉德反应。在细菌种类中发现的蛋白质聚集体类似于AD和帕金森病(PD)的蛋白质聚集体,AGE抑制剂可延长细菌的寿命。饮食中的AGEs会改变肠道微生物群组成并提高血浆糖基化水平,从而导致全身促炎作用和内皮功能障碍。人们对开发AGE抑制剂和AGE裂解化合物来治疗AGE介导的疾病,包括糖尿病和神经退行性疾病的兴趣日益浓厚。肠道微生物群衍生的酶也可能作为AGE裂解生物催化剂发挥作用。因此,AGEs在各种疾病的发病机制中具有重要作用,AGE抑制剂和AGE裂解方法可能会带来新的治疗候选药物。