• 文献检索
  • 文档翻译
  • 深度研究
  • 学术资讯
  • Suppr Zotero 插件Zotero 插件
  • 邀请有礼
  • 套餐&价格
  • 历史记录
应用&插件
Suppr Zotero 插件Zotero 插件浏览器插件Mac 客户端Windows 客户端微信小程序
定价
高级版会员购买积分包购买API积分包
服务
文献检索文档翻译深度研究API 文档MCP 服务
关于我们
关于 Suppr公司介绍联系我们用户协议隐私条款
关注我们

Suppr 超能文献

核心技术专利:CN118964589B侵权必究
粤ICP备2023148730 号-1Suppr @ 2026

文献检索

告别复杂PubMed语法,用中文像聊天一样搜索,搜遍4000万医学文献。AI智能推荐,让科研检索更轻松。

立即免费搜索

文件翻译

保留排版,准确专业,支持PDF/Word/PPT等文件格式,支持 12+语言互译。

免费翻译文档

深度研究

AI帮你快速写综述,25分钟生成高质量综述,智能提取关键信息,辅助科研写作。

立即免费体验

健康中国成年人视网膜毛细血管丛的年龄和性别差异。

Age- and sex-related differences in the retinal capillary plexus in healthy Chinese adults.

作者信息

Su Binbin, Zhu Xiaoxuan, Yang Kai, Xiao Yunfan, Li Chunmei, Shi Keai, Qu Jia, Lu Fan, Li Ming, Cui Lele

机构信息

Eye Hospital and School of Ophthalmology and Optometry, Wenzhou Medical University, National Clinical Research Center for Ocular Diseases, Wenzhou, Zhejiang, 325003, People's Republic of China.

出版信息

Eye Vis (Lond). 2022 Oct 1;9(1):38. doi: 10.1186/s40662-022-00307-0.

DOI:10.1186/s40662-022-00307-0
PMID:36180939
原文链接:https://pmc.ncbi.nlm.nih.gov/articles/PMC9526290/
Abstract

BACKGROUND

To assess age- and sex-related changes in the superficial retinal capillary plexus (SCP) and deep retinal capillary plexus (DCP) in healthy Chinese adults.

METHODS

In this cross-sectional study, all data were derived from the community-based Jidong Eye Cohort Study. Participants underwent optical coherence tomography angiography (OCTA) and other ocular and systemic examinations. The vessel densities of the whole measured area, parafovea, and four quadrants in the SCP and DCP were measured.

RESULTS

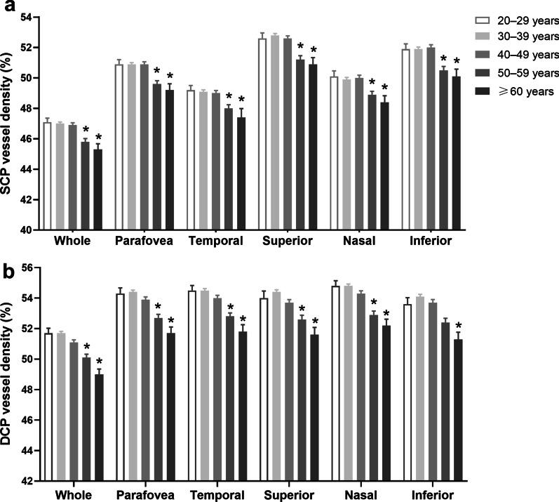
We recruited 1036 eyes of 1036 healthy participants; the mean age was 40.4 ± 9.8 years, and 449 (43.3%) participants were males. The SCP and DCP vessel densities in all regions, except for temporal and nasal regions in the SCP, non-linearly decreased with age. The DCP vessel densities began to decrease at approximately 35 years of age, while the SCP vessel densities began to decrease at approximately 40 years of age. The DCP vessel densities decreased more rapidly than the SCP vessel densities at 35-50 years of age. The DCP vessel densities remained stable or slightly decreased after the age of 50 years in females, while those decreased linearly in most regions in males.

CONCLUSIONS

The retinal vessel density decreased earlier and more rapidly in the DCP than in the SCP, and the effect of aging on the DCP vessel density was sex-dependent. Our findings suggest that age and sex should be considered when interpreting clinical quantitative OCTA data.

摘要

背景

评估健康中国成年人视网膜浅表毛细血管丛(SCP)和视网膜深层毛细血管丛(DCP)与年龄和性别的相关变化。

方法

在这项横断面研究中,所有数据均来自基于社区的冀东眼病队列研究。参与者接受了光学相干断层扫描血管造影(OCTA)以及其他眼部和全身检查。测量了SCP和DCP中整个测量区域、黄斑旁以及四个象限的血管密度。

结果

我们招募了1036名健康参与者的1036只眼睛;平均年龄为40.4±9.8岁,449名(43.3%)参与者为男性。除SCP的颞侧和鼻侧区域外,所有区域的SCP和DCP血管密度均随年龄呈非线性下降。DCP血管密度在大约35岁时开始下降,而SCP血管密度在大约40岁时开始下降。在35至50岁时,DCP血管密度下降速度比SCP血管密度更快。50岁以后,女性的DCP血管密度保持稳定或略有下降,而男性大多数区域的DCP血管密度呈线性下降。

结论

DCP中视网膜血管密度比SCP下降更早且更快,并且衰老对DCP血管密度的影响存在性别差异。我们的研究结果表明,在解释临床定量OCTA数据时应考虑年龄和性别因素。

https://cdn.ncbi.nlm.nih.gov/pmc/blobs/6bb9/9526290/e2793171fca6/40662_2022_307_Fig6_HTML.jpg
https://cdn.ncbi.nlm.nih.gov/pmc/blobs/6bb9/9526290/e1b1c34b8f1a/40662_2022_307_Fig1_HTML.jpg
https://cdn.ncbi.nlm.nih.gov/pmc/blobs/6bb9/9526290/1dc6ed6696d7/40662_2022_307_Fig2_HTML.jpg
https://cdn.ncbi.nlm.nih.gov/pmc/blobs/6bb9/9526290/f05c0a6bad04/40662_2022_307_Fig3_HTML.jpg
https://cdn.ncbi.nlm.nih.gov/pmc/blobs/6bb9/9526290/0fa726701fcf/40662_2022_307_Fig4_HTML.jpg
https://cdn.ncbi.nlm.nih.gov/pmc/blobs/6bb9/9526290/60c24c78c6fd/40662_2022_307_Fig5_HTML.jpg
https://cdn.ncbi.nlm.nih.gov/pmc/blobs/6bb9/9526290/e2793171fca6/40662_2022_307_Fig6_HTML.jpg
https://cdn.ncbi.nlm.nih.gov/pmc/blobs/6bb9/9526290/e1b1c34b8f1a/40662_2022_307_Fig1_HTML.jpg
https://cdn.ncbi.nlm.nih.gov/pmc/blobs/6bb9/9526290/1dc6ed6696d7/40662_2022_307_Fig2_HTML.jpg
https://cdn.ncbi.nlm.nih.gov/pmc/blobs/6bb9/9526290/f05c0a6bad04/40662_2022_307_Fig3_HTML.jpg
https://cdn.ncbi.nlm.nih.gov/pmc/blobs/6bb9/9526290/0fa726701fcf/40662_2022_307_Fig4_HTML.jpg
https://cdn.ncbi.nlm.nih.gov/pmc/blobs/6bb9/9526290/60c24c78c6fd/40662_2022_307_Fig5_HTML.jpg
https://cdn.ncbi.nlm.nih.gov/pmc/blobs/6bb9/9526290/e2793171fca6/40662_2022_307_Fig6_HTML.jpg

相似文献

1
Age- and sex-related differences in the retinal capillary plexus in healthy Chinese adults.健康中国成年人视网膜毛细血管丛的年龄和性别差异。
Eye Vis (Lond). 2022 Oct 1;9(1):38. doi: 10.1186/s40662-022-00307-0.
2
Retinal Capillary Density and Foveal Avascular Zone Area Are Age-Dependent: Quantitative Analysis Using Optical Coherence Tomography Angiography.视网膜毛细血管密度和黄斑无血管区面积与年龄相关:使用光学相干断层扫描血管造影术的定量分析。
Invest Ophthalmol Vis Sci. 2016 Oct 1;57(13):5780-5787. doi: 10.1167/iovs.16-20045.
3
[Correlation of capillary plexus with visual acuity in idiopathic macular epiretinal membrane eyes using optical coherence tomography angiography].[利用光学相干断层扫描血管造影术研究特发性黄斑视网膜前膜眼中毛细血管丛与视力的相关性]
Zhonghua Yan Ke Za Zhi. 2019 Oct 11;55(10):757-762. doi: 10.3760/cma.j.issn.0412-4081.2019.10.006.
4
Evaluating the Quantitative Foveal Avascular Zone and Retino-Choroidal Vessel Density Using Optical Coherence Tomography Angiography in a Healthy Indian Population.在健康印度人群中使用光学相干断层扫描血管造影术评估定量黄斑无血管区和视网膜脉络膜血管密度
Cureus. 2022 Aug 4;14(8):e27669. doi: 10.7759/cureus.27669. eCollection 2022 Aug.
5
Retinal Vascular Abnormalities in Different Types of Inherited Retinal Dystrophies Assessed by Optical Coherence Tomography Angiography.通过光学相干断层扫描血管造影评估不同类型遗传性视网膜营养不良中的视网膜血管异常。
J Curr Ophthalmol. 2021 Jul 5;33(2):189-196. doi: 10.4103/joco.joco_11_21. eCollection 2021 Apr-Jun.
6
The clinical features and perfusion density in paracentral acute middle maculopathy by optical coherence tomography angiography study.光学相干断层扫描血管造影研究中心旁急性黄斑中病变的临床特征与灌注密度
Photodiagnosis Photodyn Ther. 2024 Dec;50:104380. doi: 10.1016/j.pdpdt.2024.104380. Epub 2024 Oct 18.
7
Outer Macular Microvascular Supply in Retinitis Pigmentosa Examined using Optical Coherence Tomography Angiography.使用光学相干断层扫描血管造影术检查色素性视网膜炎中的黄斑外层微血管供应情况。
J Ophthalmol. 2021 Dec 21;2021:5575851. doi: 10.1155/2021/5575851. eCollection 2021.
8
Optical coherence tomography angiography discerns preclinical diabetic retinopathy in eyes of patients with type 2 diabetes without clinical diabetic retinopathy.光学相干断层扫描血管造影术可在无临床糖尿病视网膜病变的 2 型糖尿病患者眼中识别出临床前期糖尿病性视网膜病变。
Acta Diabetol. 2018 May;55(5):469-477. doi: 10.1007/s00592-018-1115-1. Epub 2018 Feb 16.
9
Foveal Avascular Zone and Vessel Density in Healthy Subjects: An Optical Coherence Tomography Angiography Study.健康受试者的黄斑无血管区和血管密度:一项光学相干断层扫描血管造影研究。
J Ophthalmic Vis Res. 2018 Jul-Sep;13(3):260-265. doi: 10.4103/jovr.jovr_173_17.
10
Diurnal Measurements of Macular Thickness and Vessel Density on OCT Angiography in Healthy Eyes and Those With Ocular Hypertension and Glaucoma.健康眼与高眼压症和青光眼眼中 OCT 血管成像的黄斑厚度和血管密度的日间测量。
J Glaucoma. 2020 Oct;29(10):918-925. doi: 10.1097/IJG.0000000000001580.

引用本文的文献

1
Association between gamma-glutamyl transferase levels and the retinal age gap.γ-谷氨酰转移酶水平与视网膜年龄差距之间的关联。
Front Physiol. 2025 Aug 26;16:1601093. doi: 10.3389/fphys.2025.1601093. eCollection 2025.
2
Diabetic Retinopathy (DR) nomogram construction based on optical coherence tomography angiography parameters: a preliminary exploration of DR prediction.基于光学相干断层扫描血管造影参数构建糖尿病视网膜病变(DR)列线图:DR预测的初步探索
Graefes Arch Clin Exp Ophthalmol. 2025 Jul;263(7):1867-1876. doi: 10.1007/s00417-025-06824-7. Epub 2025 Apr 8.
3
Estimation of foveal avascular zone area from a B-scan OCT image using machine learning algorithms.

本文引用的文献

1
Normative data assessment of age-related changes in macular and optic nerve head vessel density using optical coherence tomography angiography.使用光相干断层扫描血管造影评估年龄相关性黄斑和视神经乳头血管密度的正常数据。
Photodiagnosis Photodyn Ther. 2022 Mar;37:102624. doi: 10.1016/j.pdpdt.2021.102624. Epub 2021 Nov 12.
2
Normative Magnetic Resonance Imaging Data of Age-Related Degenerative Changes in Cervical Disc Morphology.颈椎间盘形态年龄相关性退行性改变的磁共振成像正常参考值。
World Neurosurg. 2021 Aug;152:e502-e511. doi: 10.1016/j.wneu.2021.05.123. Epub 2021 Jun 16.
3
Association of History of Psychopathology With Accelerated Aging at Midlife.
使用机器学习算法从B超光学相干断层扫描(OCT)图像估计黄斑无血管区面积。
PLoS One. 2024 Dec 16;19(12):e0315825. doi: 10.1371/journal.pone.0315825. eCollection 2024.
4
The effects of time restricted feeding on age-related changes in the mouse retina.限时喂养对小鼠视网膜与年龄相关变化的影响。
Exp Gerontol. 2024 Sep;194:112510. doi: 10.1016/j.exger.2024.112510. Epub 2024 Jul 5.
5
Identification of diabetic retinopathy classification using machine learning algorithms on clinical data and optical coherence tomography angiography.利用机器学习算法对临床数据和光相干断层扫描血管造影进行糖尿病性视网膜病变分类。
Eye (Lond). 2024 Oct;38(14):2813-2821. doi: 10.1038/s41433-024-03173-3. Epub 2024 Jun 13.
6
Association of Male Sex and Microvascular Alterations on Optical Coherence Tomography Angiography in Diabetes.男性性别与糖尿病光学相干断层扫描血管造影微血管改变的相关性。
Transl Vis Sci Technol. 2023 Nov 1;12(11):30. doi: 10.1167/tvst.12.11.30.
7
Associations of macular microvascular parameters with cerebral small vessel disease in rural older adults: A population-based OCT angiography study.农村老年人黄斑微血管参数与脑小血管疾病的关联:一项基于人群的光学相干断层扫描血管造影研究
Front Neurol. 2023 Mar 16;14:1133819. doi: 10.3389/fneur.2023.1133819. eCollection 2023.
8
Macular vessel density in the superficial plexus is not associated to cerebrospinal fluid core biomarkers for Alzheimer's disease in individuals with mild cognitive impairment: The NORFACE cohort.轻度认知障碍个体中,浅表神经丛的黄斑血管密度与阿尔茨海默病的脑脊液核心生物标志物无关:NORFACE队列研究。
Front Neurosci. 2023 Feb 23;17:1076177. doi: 10.3389/fnins.2023.1076177. eCollection 2023.
精神病理学病史与中年加速衰老的关联。
JAMA Psychiatry. 2021 May 1;78(5):530-539. doi: 10.1001/jamapsychiatry.2020.4626.
4
The Jidong Eye Cohort Study: objectives, design, and baseline characteristics.冀东眼病队列研究:目标、设计及基线特征
Eye Vis (Lond). 2020 Dec 29;7(1):58. doi: 10.1186/s40662-020-00223-1.
5
Vascular Density of Deep, Intermediate and Superficial Vascular Plexuses Are Differentially Affected by Diabetic Retinopathy Severity.深层、中间和浅层血管丛的血管密度受糖尿病视网膜病变严重程度的影响而不同。
Invest Ophthalmol Vis Sci. 2020 Aug 3;61(10):53. doi: 10.1167/iovs.61.10.53.
6
Systemic hypertension associated retinal microvascular changes can be detected with optical coherence tomography angiography.光学相干断层扫描血管造影术可检测与系统性高血压相关的视网膜微血管变化。
Sci Rep. 2020 Jun 12;10(1):9580. doi: 10.1038/s41598-020-66736-w.
7
Widefield topographical analysis of the retinal perfusion and neuroretinal thickness in healthy eyes: a pilot study.健康眼视网膜血流和神经视网膜厚度的广角地形图分析:一项初步研究。
Eye (Lond). 2020 Dec;34(12):2264-2270. doi: 10.1038/s41433-020-0804-5. Epub 2020 Feb 13.
8
Optical coherence tomography angiography in diabetic retinopathy: a review of current applications.光学相干断层扫描血管造影在糖尿病视网膜病变中的应用:当前应用综述
Eye Vis (Lond). 2019 Nov 18;6:37. doi: 10.1186/s40662-019-0160-3. eCollection 2019.
9
Macular Vessel Density Measured With Optical Coherence Tomography Angiography and Its Associations in a Large Population-Based Study.利用光相干断层扫描血管造影术测量黄斑血管密度及其在大型人群研究中的相关性。
Invest Ophthalmol Vis Sci. 2019 Nov 1;60(14):4830-4837. doi: 10.1167/iovs.19-28137.
10
Comparison of Associations with Different Macular Inner Retinal Thickness Parameters in a Large Cohort: The UK Biobank.大样本队列研究:英国生物银行中不同黄斑内视网膜厚度参数的相关性比较。
Ophthalmology. 2020 Jan;127(1):62-71. doi: 10.1016/j.ophtha.2019.08.015. Epub 2019 Aug 21.