• 文献检索
  • 文档翻译
  • 深度研究
  • 学术资讯
  • Suppr Zotero 插件Zotero 插件
  • 邀请有礼
  • 套餐&价格
  • 历史记录
应用&插件
Suppr Zotero 插件Zotero 插件浏览器插件Mac 客户端Windows 客户端微信小程序
定价
高级版会员购买积分包购买API积分包
服务
文献检索文档翻译深度研究API 文档MCP 服务
关于我们
关于 Suppr公司介绍联系我们用户协议隐私条款
关注我们

Suppr 超能文献

核心技术专利:CN118964589B侵权必究
粤ICP备2023148730 号-1Suppr @ 2026

文献检索

告别复杂PubMed语法,用中文像聊天一样搜索,搜遍4000万医学文献。AI智能推荐,让科研检索更轻松。

立即免费搜索

文件翻译

保留排版,准确专业,支持PDF/Word/PPT等文件格式,支持 12+语言互译。

免费翻译文档

深度研究

AI帮你快速写综述,25分钟生成高质量综述,智能提取关键信息,辅助科研写作。

立即免费体验

基于磁共振成像的影像组学在颅内脑膜瘤术前预测中的应用。

Application of MRI-Based Radiomics in Preoperative Prediction of Alteration in Intracranial Meningiomas.

作者信息

Sun Shuchen, Ren Leihao, Miao Zong, Hua Lingyang, Wang Daijun, Deng Jiaojiao, Chen Jiawei, Liu Ning, Gong Ye

机构信息

Department of Neurosurgery, Huashan Hospital, Fudan University, Shanghai, China.

Institute of Neurosurgery, Fudan University, Shanghai, China.

出版信息

Front Oncol. 2022 Sep 28;12:879528. doi: 10.3389/fonc.2022.879528. eCollection 2022.

DOI:10.3389/fonc.2022.879528
PMID:36267986
原文链接:https://pmc.ncbi.nlm.nih.gov/articles/PMC9578175/
Abstract

PURPOSE

This study aimed to investigate the feasibility of predicting mutation status based on the MR radiomic analysis in patients with intracranial meningioma.

METHODS

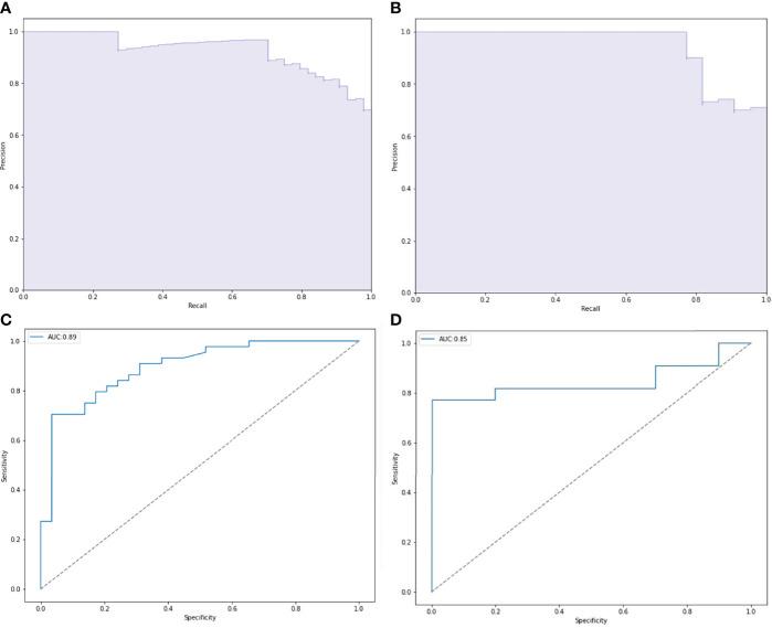
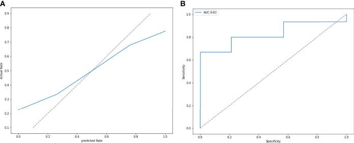
This retrospective study included 105 patients with meningiomas, including 60 -mutant samples and 45 wild-type samples. Radiomic features were extracted from magnetic resonance imaging scans, including T1-weighted, T2-weighted, and contrast T1-weighted images. Student's t-test and LASSO regression were performed to select the radiomic features. All patients were randomly divided into training and validation cohorts in a 7:3 ratio. Five linear models (RF, SVM, LR, KNN, and xgboost) were trained to predict the mutational status. Receiver operating characteristic curve and precision-recall analyses were used to evaluate the model performance. Student's t-tests were then used to compare the posterior probabilities of NF2 mut/loss prediction for patients with different NF2 statuses.

RESULTS

Nine features had nonzero coefficients in the LASSO regression model. No significant differences was observed in the clinical features. Nine features showed significant differences in patients with different NF2 statuses. Among all machine learning algorithms, SVM showed the best performance. The area under curve and accuracy of the predictive model were 0.85; the F1-score of the precision-recall curve was 0.80. The model risk was assessed by plotting calibration curves. The p-value for the H-L goodness of fit test was 0.411 (p> 0.05), which indicated that the difference between the obtained model and the perfect model was statistically insignificant. The AUC of our model in external validation was 0.83.

CONCLUSION

A combination of radiomic analysis and machine learning showed potential clinical utility in the prediction of preoperative NF2 status. These findings could aid in developing customized neurosurgery plans and meningioma management strategies before postoperative pathology.

摘要

目的

本研究旨在探讨基于磁共振成像(MRI)影像组学分析预测颅内脑膜瘤患者突变状态的可行性。

方法

本回顾性研究纳入了105例脑膜瘤患者,其中包括60例突变样本和45例野生型样本。从磁共振成像扫描中提取影像组学特征,包括T1加权、T2加权和对比增强T1加权图像。采用学生t检验和LASSO回归进行影像组学特征选择。所有患者按7:3的比例随机分为训练组和验证组。训练5种线性模型(随机森林[RF]、支持向量机[SVM]、逻辑回归[LR]、K近邻算法[KNN]和极端梯度提升[xgboost])以预测突变状态。采用受试者工作特征曲线和精确召回率分析评估模型性能。然后使用学生t检验比较不同NF2状态患者的NF2突变/缺失预测的后验概率。

结果

LASSO回归模型中有9个特征的系数不为零。临床特征方面未观察到显著差异。9个特征在不同NF2状态的患者中显示出显著差异。在所有机器学习算法中,SVM表现最佳。预测模型的曲线下面积和准确率为0.85;精确召回率曲线的F1值为0.80。通过绘制校准曲线评估模型风险。H-L拟合优度检验的p值为0.411(p>0.05),这表明所获得的模型与理想模型之间的差异无统计学意义。我们模型在外部验证中的AUC为0.83。

结论

影像组学分析与机器学习相结合在术前预测NF2状态方面显示出潜在的临床应用价值。这些发现有助于在术后病理检查之前制定定制化的神经外科手术方案和脑膜瘤管理策略。

https://cdn.ncbi.nlm.nih.gov/pmc/blobs/b6df/9578175/e6c7a8272450/fonc-12-879528-g007.jpg
https://cdn.ncbi.nlm.nih.gov/pmc/blobs/b6df/9578175/593beae05e1d/fonc-12-879528-g001.jpg
https://cdn.ncbi.nlm.nih.gov/pmc/blobs/b6df/9578175/e88761657011/fonc-12-879528-g002.jpg
https://cdn.ncbi.nlm.nih.gov/pmc/blobs/b6df/9578175/3fa7f73cf0d8/fonc-12-879528-g003.jpg
https://cdn.ncbi.nlm.nih.gov/pmc/blobs/b6df/9578175/a6d560aa393d/fonc-12-879528-g004.jpg
https://cdn.ncbi.nlm.nih.gov/pmc/blobs/b6df/9578175/4e455e46bbe1/fonc-12-879528-g005.jpg
https://cdn.ncbi.nlm.nih.gov/pmc/blobs/b6df/9578175/142d80d84b36/fonc-12-879528-g006.jpg
https://cdn.ncbi.nlm.nih.gov/pmc/blobs/b6df/9578175/e6c7a8272450/fonc-12-879528-g007.jpg
https://cdn.ncbi.nlm.nih.gov/pmc/blobs/b6df/9578175/593beae05e1d/fonc-12-879528-g001.jpg
https://cdn.ncbi.nlm.nih.gov/pmc/blobs/b6df/9578175/e88761657011/fonc-12-879528-g002.jpg
https://cdn.ncbi.nlm.nih.gov/pmc/blobs/b6df/9578175/3fa7f73cf0d8/fonc-12-879528-g003.jpg
https://cdn.ncbi.nlm.nih.gov/pmc/blobs/b6df/9578175/a6d560aa393d/fonc-12-879528-g004.jpg
https://cdn.ncbi.nlm.nih.gov/pmc/blobs/b6df/9578175/4e455e46bbe1/fonc-12-879528-g005.jpg
https://cdn.ncbi.nlm.nih.gov/pmc/blobs/b6df/9578175/142d80d84b36/fonc-12-879528-g006.jpg
https://cdn.ncbi.nlm.nih.gov/pmc/blobs/b6df/9578175/e6c7a8272450/fonc-12-879528-g007.jpg

相似文献

1
Application of MRI-Based Radiomics in Preoperative Prediction of Alteration in Intracranial Meningiomas.基于磁共振成像的影像组学在颅内脑膜瘤术前预测中的应用。
Front Oncol. 2022 Sep 28;12:879528. doi: 10.3389/fonc.2022.879528. eCollection 2022.
2
Meningiomas: Preoperative predictive histopathological grading based on radiomics of MRI.脑膜瘤:基于 MRI 影像组学的术前预测性组织病理学分级。
Magn Reson Imaging. 2021 Apr;77:36-43. doi: 10.1016/j.mri.2020.11.009. Epub 2020 Nov 18.
3
Preoperative Radiomics Analysis of 1p/19q Status in WHO Grade II Gliomas.世界卫生组织二级胶质瘤中1p/19q状态的术前影像组学分析
Front Oncol. 2021 Jul 6;11:616740. doi: 10.3389/fonc.2021.616740. eCollection 2021.
4
Radiomic features of magnetic resonance images as novel preoperative predictive factors of bone invasion in meningiomas.磁共振图像的放射组学特征作为脑膜瘤骨侵袭的新型术前预测因素。
Eur J Radiol. 2020 Nov;132:109287. doi: 10.1016/j.ejrad.2020.109287. Epub 2020 Sep 18.
5
Magnetic resonance imaging radiomics predicts preoperative axillary lymph node metastasis to support surgical decisions and is associated with tumor microenvironment in invasive breast cancer: A machine learning, multicenter study.磁共振成像放射组学预测术前腋窝淋巴结转移以支持手术决策,并与浸润性乳腺癌的肿瘤微环境相关:一项机器学习、多中心研究。
EBioMedicine. 2021 Jul;69:103460. doi: 10.1016/j.ebiom.2021.103460. Epub 2021 Jul 4.
6
Predicting Histologic Grade of Meningiomas Using a Combined Model of Radiomic and Clinical Imaging Features from Preoperative MRI.利用术前MRI的影像组学和临床影像特征联合模型预测脑膜瘤的组织学分级
Biomedicines. 2023 Dec 10;11(12):3268. doi: 10.3390/biomedicines11123268.
7
MRI-based machine learning models predict the malignant biological behavior of meningioma.基于 MRI 的机器学习模型预测脑膜瘤的恶性生物学行为。
BMC Med Imaging. 2023 Sep 27;23(1):141. doi: 10.1186/s12880-023-01101-7.
8
Computed Tomography-Based Radiomics Model to Predict Central Cervical Lymph Node Metastases in Papillary Thyroid Carcinoma: A Multicenter Study.基于计算机断层扫描的影像组学模型预测甲状腺乳头状癌中央颈部淋巴结转移:一项多中心研究。
Front Endocrinol (Lausanne). 2021 Oct 21;12:741698. doi: 10.3389/fendo.2021.741698. eCollection 2021.
9
Comparison of machine learning classifiers for differentiation of grade 1 from higher gradings in meningioma: A multicenter radiomics study.基于多中心影像组学研究的机器学习分类器在鉴别脑膜瘤 1 级与高级别脑膜瘤中的应用比较。
Magn Reson Imaging. 2019 Nov;63:244-249. doi: 10.1016/j.mri.2019.08.011. Epub 2019 Aug 16.
10
MRI-based radiomics assessment of the imminent new vertebral fracture after vertebral augmentation.基于 MRI 的放射组学评估椎体增强术后即将发生的新椎体骨折。
Eur Spine J. 2023 Nov;32(11):3892-3905. doi: 10.1007/s00586-023-07887-y. Epub 2023 Aug 25.

引用本文的文献

1
Advancements in the application of MRI radiomics in meningioma.磁共振成像放射组学在脑膜瘤中的应用进展
Radiat Oncol. 2025 Jul 1;20(1):105. doi: 10.1186/s13014-025-02679-8.
2
Predicting telomerase reverse transcriptase promoter mutation in glioma: A systematic review and diagnostic meta-analysis on machine learning algorithms.预测胶质瘤中端粒酶逆转录酶启动子突变:关于机器学习算法的系统评价与诊断性荟萃分析
Neuroradiol J. 2024 Aug 5:19714009241269526. doi: 10.1177/19714009241269526.
3
Radiomics Signature Based on Support Vector Machines for the Prediction of Pathological Complete Response to Neoadjuvant Chemoradiotherapy in Locally Advanced Rectal Cancer.

本文引用的文献

1
Alterations Predict Tumor Progression in High-Grade Meningiomas Following Adjuvant Radiotherapy.辅助放疗后高级别脑膜瘤的改变可预测肿瘤进展
Front Oncol. 2021 Oct 29;11:747592. doi: 10.3389/fonc.2021.747592. eCollection 2021.
2
Segmentation of vestibular schwannoma from MRI, an open annotated dataset and baseline algorithm.MRI 下前庭神经鞘瘤分割:一个公开标注数据集和基准算法。
Sci Data. 2021 Oct 28;8(1):286. doi: 10.1038/s41597-021-01064-w.
3
Prediction of TERTp-mutation status in IDH-wildtype high-grade gliomas using pre-treatment dynamic [F]FET PET radiomics.
基于支持向量机的影像组学特征预测局部晚期直肠癌新辅助放化疗后的病理完全缓解
Cancers (Basel). 2023 Oct 25;15(21):5134. doi: 10.3390/cancers15215134.
4
Surgical strategies for intracranial meningioma in the molecular era.分子时代颅内脑膜瘤的手术策略。
J Neurooncol. 2023 Apr;162(2):253-265. doi: 10.1007/s11060-023-04272-z. Epub 2023 Apr 3.
利用治疗前动态 [F]FET PET 影像组学预测 IDH 野生型高级别胶质瘤中的 TERTp 突变状态。
Eur J Nucl Med Mol Imaging. 2021 Dec;48(13):4415-4425. doi: 10.1007/s00259-021-05526-6. Epub 2021 Sep 7.
4
Machine Learning Using Multiparametric Magnetic Resonance Imaging Radiomic Feature Analysis to Predict Ki-67 in World Health Organization Grade I Meningiomas.基于多参数磁共振成像放射组学特征分析的机器学习预测世界卫生组织一级脑膜瘤的 Ki-67 指数。
Neurosurgery. 2021 Oct 13;89(5):928-936. doi: 10.1093/neuros/nyab307.
5
Review of Deep Learning Based Automatic Segmentation for Lung Cancer Radiotherapy.基于深度学习的肺癌放疗自动分割综述
Front Oncol. 2021 Jul 8;11:717039. doi: 10.3389/fonc.2021.717039. eCollection 2021.
6
The implications of IDH mutations for cancer development and therapy.异柠檬酸脱氢酶(IDH)突变对癌症发展和治疗的影响。
Nat Rev Clin Oncol. 2021 Oct;18(10):645-661. doi: 10.1038/s41571-021-00521-0. Epub 2021 Jun 15.
7
Preoperative Prediction of Meningioma Consistency Machine Learning-Based Radiomics.基于机器学习的影像组学对脑膜瘤质地的术前预测
Front Oncol. 2021 May 26;11:657288. doi: 10.3389/fonc.2021.657288. eCollection 2021.
8
Three-Dimensional Radiomics Features From Multi-Parameter MRI Combined With Clinical Characteristics Predict Postoperative Cerebral Edema Exacerbation in Patients With Meningioma.多参数MRI的三维影像组学特征联合临床特征预测脑膜瘤患者术后脑水肿加重
Front Oncol. 2021 Apr 15;11:625220. doi: 10.3389/fonc.2021.625220. eCollection 2021.
9
Development and external validation of a non-invasive molecular status predictor of chromosome 1p/19q co-deletion based on MRI radiomics analysis of Low Grade Glioma patients.基于低级别胶质瘤患者 MRI 影像组学分析,建立染色体 1p/19q 共缺失的无创分子状态预测模型并进行外部验证。
Eur J Radiol. 2021 Jun;139:109678. doi: 10.1016/j.ejrad.2021.109678. Epub 2021 Apr 5.
10
Breast cancer.乳腺癌。
Lancet. 2021 May 8;397(10286):1750-1769. doi: 10.1016/S0140-6736(20)32381-3. Epub 2021 Apr 1.