Suppr超能文献

多组学研究非酒精性脂肪性肝病。

Multiomics study of nonalcoholic fatty liver disease.

机构信息

deCODE genetics/Amgen, Inc., Reykjavik, Iceland.

Faculty of Electrical and Computer Engineering, University of Iceland, Reykjavik, Iceland.

出版信息

Nat Genet. 2022 Nov;54(11):1652-1663. doi: 10.1038/s41588-022-01199-5. Epub 2022 Oct 24.

Abstract

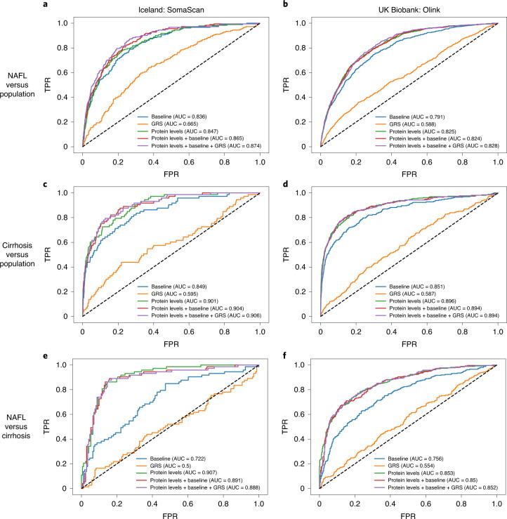
Nonalcoholic fatty liver (NAFL) and its sequelae are growing health problems. We performed a genome-wide association study of NAFL, cirrhosis and hepatocellular carcinoma, and integrated the findings with expression and proteomic data. For NAFL, we utilized 9,491 clinical cases and proton density fat fraction extracted from 36,116 liver magnetic resonance images. We identified 18 sequence variants associated with NAFL and 4 with cirrhosis, and found rare, protective, predicted loss-of-function variants in MTARC1 and GPAM, underscoring them as potential drug targets. We leveraged messenger RNA expression, splicing and predicted coding effects to identify 16 putative causal genes, of which many are implicated in lipid metabolism. We analyzed levels of 4,907 plasma proteins in 35,559 Icelanders and 1,459 proteins in 47,151 UK Biobank participants, identifying multiple proteins involved in disease pathogenesis. We show that proteomics can discriminate between NAFL and cirrhosis. The present study provides insights into the development of noninvasive evaluation of NAFL and new therapeutic options.

摘要

非酒精性脂肪性肝病(NAFL)及其后果是日益严重的健康问题。我们对 NAFL、肝硬化和肝细胞癌进行了全基因组关联研究,并将研究结果与表达和蛋白质组学数据进行了整合。对于 NAFL,我们利用了 9491 例临床病例和从 36116 份肝脏磁共振图像中提取的质子密度脂肪分数。我们鉴定出 18 个与 NAFL 相关的序列变异和 4 个与肝硬化相关的序列变异,并在 MTARC1 和 GPAM 中发现了罕见的、保护性的、预测的功能丧失变异,这突显了它们作为潜在药物靶点的重要性。我们利用信使 RNA 表达、剪接和预测的编码效应来鉴定出 16 个可能的因果基因,其中许多基因与脂质代谢有关。我们分析了 35559 名冰岛人和 1459 名英国生物银行参与者的 4907 种血浆蛋白水平,并鉴定出了多个参与疾病发病机制的蛋白质。我们表明蛋白质组学可以区分 NAFL 和肝硬化。本研究为非侵入性评估 NAFL 和新的治疗选择提供了新的见解。

https://cdn.ncbi.nlm.nih.gov/pmc/blobs/b66d/9649432/c63d2b4c2497/41588_2022_1199_Fig1_HTML.jpg

文献检索

告别复杂PubMed语法,用中文像聊天一样搜索,搜遍4000万医学文献。AI智能推荐,让科研检索更轻松。

立即免费搜索

文件翻译

保留排版,准确专业,支持PDF/Word/PPT等文件格式,支持 12+语言互译。

免费翻译文档

深度研究

AI帮你快速写综述,25分钟生成高质量综述,智能提取关键信息,辅助科研写作。

立即免费体验