Suppr超能文献

固定正畸矫治器对牙龈状况和口腔微生物群的影响:一项初步研究。

Effect of fixed orthodontic appliances on gingival status and oral microbiota: a pilot study.

机构信息

Clinic of Stomatology, Institution Shared with St. Anne's University Hospital, Faculty of Medicine, Masaryk University, Pekařská 53, 656 91, Brno, Czech Republic.

Clinic of Maxillofacial Surgery, Institution Shared with University Hospital Brno, Faculty of Medicine, Jihlavska 20, 625 00, Brno, Czech Republic.

出版信息

BMC Oral Health. 2022 Oct 27;22(1):455. doi: 10.1186/s12903-022-02511-9.

Abstract

BACKGROUND

This pilot study aimed to investigate how fixed orthodontic appliances simultaneously applied on the upper and lower arches affect the oral environment in the medium term.

METHODS

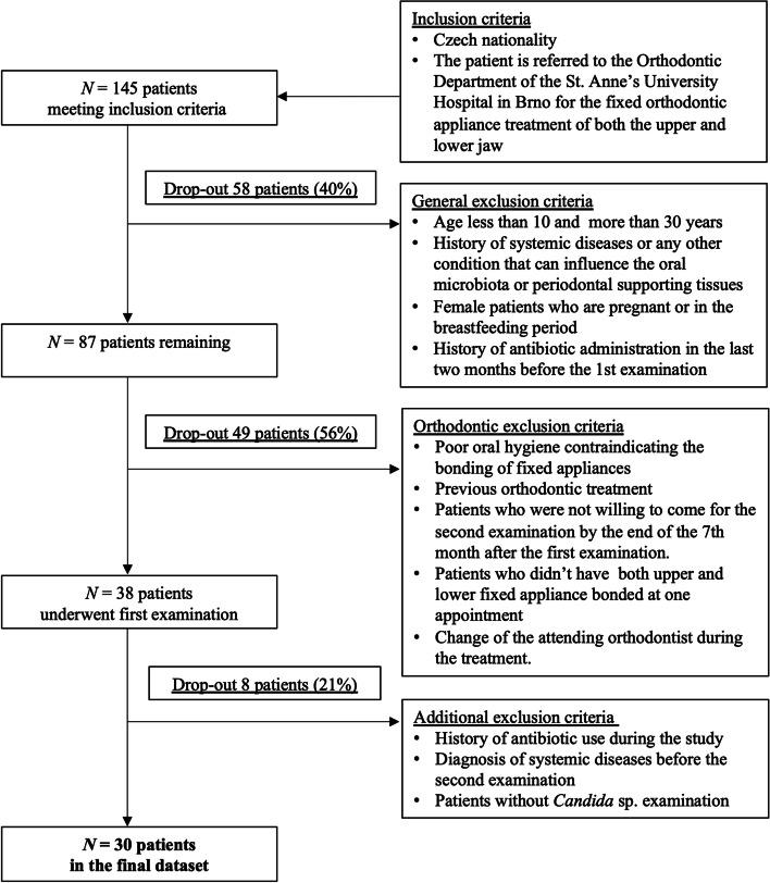
The oral status of 30 orthodontic patients was evaluated using the number of decay-missing-filled teeth (DMFT), plaque (PI), and gingival indices (GI) before bonding of fixed orthodontic appliances (T0) and during the therapy (T1). Besides, the gingival crevicular fluid (GCF) and a dental plaque were collected. Samples were analyzed for selected Candida sp. and for 10 selected oral bacteria using mass spectroscopy and multiplex polymerase chain reaction, respectively.

RESULTS

In 60% of patients, deterioration of the oral status (demonstrated by the increase in PI) was recorded (p < 0.05). Moreover, the changes in PI correlated with those of GI (p < 0.001). At the T1 time point, the mean representation of Actinomyces sp. in the total prokaryotic DNA in GCF and dental plaque of individual patients increased compared to T0 (p < 0.05). The probability of finding any of the 7 selected periodontal bacteria combined with Candida sp. was 10 times higher in patients in whom PI deteriorated between T0 and T1 (p < 0.01).

CONCLUSIONS

Changes in the oral microbial diversity and an increase in PI were observed in the medium term after bonding of orthodontic appliance. Our study highlights the importance of a complex approach in this type of research as the association between clinical characteristics and combined microbial parameters is higher than when evaluated separately.

摘要

背景

本初步研究旨在探讨在上、下颌同时应用固定正畸矫治器对中期口腔环境的影响。

方法

在固定正畸矫治器粘结前(T0)和治疗期间(T1),30 名正畸患者的口腔状况通过龋齿-失牙-补牙指数(DMFT)、菌斑指数(PI)和牙龈指数(GI)进行评估。此外,还收集了龈沟液(GCF)和牙菌斑样本。使用质谱法和多重聚合酶链反应分别对选定的念珠菌属和 10 种选定的口腔细菌进行分析。

结果

60%的患者记录到口腔状况恶化(表现为 PI 增加)(p<0.05)。此外,PI 的变化与 GI 的变化相关(p<0.001)。在 T1 时间点,与 T0 相比,个体患者 GCF 和牙菌斑中总原核 DNA 中放线菌属的平均代表增加(p<0.05)。与 T0 相比,PI 在 T0 和 T1 之间恶化的患者中发现任何 7 种牙周细菌与念珠菌属结合的概率高 10 倍(p<0.01)。

结论

在粘结正畸矫治器后中期观察到口腔微生物多样性的变化和 PI 的增加。我们的研究强调了在这种类型的研究中采用复杂方法的重要性,因为临床特征与联合微生物参数之间的关联高于单独评估时的关联。

https://cdn.ncbi.nlm.nih.gov/pmc/blobs/0db7/9615380/f2623e9e31d8/12903_2022_2511_Fig1_HTML.jpg

文献AI研究员

20分钟写一篇综述,助力文献阅读效率提升50倍。

立即体验

用中文搜PubMed

大模型驱动的PubMed中文搜索引擎

马上搜索

文档翻译

学术文献翻译模型,支持多种主流文档格式。

立即体验