• 文献检索
  • 文档翻译
  • 深度研究
  • 学术资讯
  • Suppr Zotero 插件Zotero 插件
  • 邀请有礼
  • 套餐&价格
  • 历史记录
应用&插件
Suppr Zotero 插件Zotero 插件浏览器插件Mac 客户端Windows 客户端微信小程序
定价
高级版会员购买积分包购买API积分包
服务
文献检索文档翻译深度研究API 文档MCP 服务
关于我们
关于 Suppr公司介绍联系我们用户协议隐私条款
关注我们

Suppr 超能文献

核心技术专利:CN118964589B侵权必究
粤ICP备2023148730 号-1Suppr @ 2026

文献检索

告别复杂PubMed语法,用中文像聊天一样搜索,搜遍4000万医学文献。AI智能推荐,让科研检索更轻松。

立即免费搜索

文件翻译

保留排版,准确专业,支持PDF/Word/PPT等文件格式,支持 12+语言互译。

免费翻译文档

深度研究

AI帮你快速写综述,25分钟生成高质量综述,智能提取关键信息,辅助科研写作。

立即免费体验

阻碍性压力、积极主动型人格以及雇佣关系氛围如何影响员工的创新行为。

How hindrance stress, proactive personality, and the employment relationship atmosphere affect employees' innovative behavior.

作者信息

Fan Jianpeng, Fan Yukun, Yu Lingli, Man Shuyu

机构信息

School of Economics Management, Pingdingshan University, Pingdingshan, Henan Province, China.

School of Economics and Trade, Henan University of Technology, Zhengzhou, Henan, China.

出版信息

Front Psychol. 2022 Oct 11;13:969013. doi: 10.3389/fpsyg.2022.969013. eCollection 2022.

DOI:10.3389/fpsyg.2022.969013
PMID:36304877
原文链接:https://pmc.ncbi.nlm.nih.gov/articles/PMC9592742/
Abstract

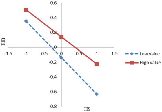
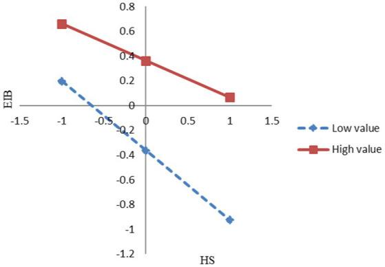
Hindrance stress is a stimulus factor in the workplace that has a certain impact on the innovative behavior of employees. Most existing studies focus on the analysis of individual-level factors, ignoring the important role of organizational-level factors. This study uses multiple linear models to empirically analyze the interaction mechanisms among hindrance stress, proactive personality, employment relationship atmosphere, and employee innovative behavior factors in the workplace. This study found the following: (1) Hindrance stress negatively affects employees' innovative behavior. (2) A proactive personality positively affects employees' innovative behavior. (3) A proactive personality plays a moderating role in the relationship between hindrance stress and employees' innovative behavior. (4) The employment relationship atmosphere has a positive impact on employees' innovative behavior. (5) The employment relationship atmosphere plays a moderating role in the relationship between hindrance stress and employees' innovative behavior. This study enriches theoretical knowledge in the field of human resources and provides guidance for business managers on the effective encouragement of employees' innovative behavior.

摘要

阻碍性压力是工作场所中的一种刺激因素,对员工的创新行为有一定影响。大多数现有研究侧重于个体层面因素的分析,而忽视了组织层面因素的重要作用。本研究使用多元线性模型对工作场所中阻碍性压力、积极型人格、雇佣关系氛围和员工创新行为因素之间的相互作用机制进行实证分析。本研究发现如下:(1)阻碍性压力对员工的创新行为有负面影响。(2)积极型人格对员工的创新行为有积极影响。(3)积极型人格在阻碍性压力与员工创新行为之间的关系中起调节作用。(4)雇佣关系氛围对员工的创新行为有积极影响。(5)雇佣关系氛围在阻碍性压力与员工创新行为之间的关系中起调节作用。本研究丰富了人力资源领域的理论知识,并为企业管理者有效激励员工的创新行为提供指导。

https://cdn.ncbi.nlm.nih.gov/pmc/blobs/13d0/9592742/6c00e38a6ad4/fpsyg-13-969013-g003.jpg
https://cdn.ncbi.nlm.nih.gov/pmc/blobs/13d0/9592742/2b765487f5a0/fpsyg-13-969013-g001.jpg
https://cdn.ncbi.nlm.nih.gov/pmc/blobs/13d0/9592742/6473220dcbee/fpsyg-13-969013-g002.jpg
https://cdn.ncbi.nlm.nih.gov/pmc/blobs/13d0/9592742/6c00e38a6ad4/fpsyg-13-969013-g003.jpg
https://cdn.ncbi.nlm.nih.gov/pmc/blobs/13d0/9592742/2b765487f5a0/fpsyg-13-969013-g001.jpg
https://cdn.ncbi.nlm.nih.gov/pmc/blobs/13d0/9592742/6473220dcbee/fpsyg-13-969013-g002.jpg
https://cdn.ncbi.nlm.nih.gov/pmc/blobs/13d0/9592742/6c00e38a6ad4/fpsyg-13-969013-g003.jpg

相似文献

1
How hindrance stress, proactive personality, and the employment relationship atmosphere affect employees' innovative behavior.阻碍性压力、积极主动型人格以及雇佣关系氛围如何影响员工的创新行为。
Front Psychol. 2022 Oct 11;13:969013. doi: 10.3389/fpsyg.2022.969013. eCollection 2022.
2
Fostering employees' innovative behavior: The importance of proactive personality and work-related flow.激发员工的创新行为:主动性人格和工作相关流畅性的重要性。
Acta Psychol (Amst). 2024 Jun;246:104278. doi: 10.1016/j.actpsy.2024.104278. Epub 2024 Apr 25.
3
Work-related identity discrepancy and employee proactive behavior: The effects of face-pressure and benevolent leadership.工作相关身份差异与员工主动行为:面子压力和仁慈型领导的影响。
Acta Psychol (Amst). 2024 Aug;248:104354. doi: 10.1016/j.actpsy.2024.104354. Epub 2024 Jun 15.
4
How leaders' bias tendency affects employees' knowledge hiding behavior: The mediating role of workplace marginalization perception.领导者的偏见倾向如何影响员工的知识隐藏行为:工作场所边缘化感知的中介作用。
Front Psychol. 2022 Aug 5;13:965972. doi: 10.3389/fpsyg.2022.965972. eCollection 2022.
5
High Commitment Work System and Employee Proactive Behavior: The Mediating Roles of Self-Efficiency and Career Development Prospect.高承诺工作系统与员工积极行为:自我效能感和职业发展前景的中介作用。
Front Psychol. 2022 Apr 5;13:802546. doi: 10.3389/fpsyg.2022.802546. eCollection 2022.
6
The Influence of Decision-Making Logic on Employees' Innovative Behaviour: The Mediating Role of Positive Error Orientation and the Moderating Role of Environmental Dynamics.决策逻辑对员工创新行为的影响:积极错误导向的中介作用与环境动态性的调节作用
Psychol Res Behav Manag. 2023 Jun 23;16:2297-2313. doi: 10.2147/PRBM.S416595. eCollection 2023.
7
Where there is pressure, there is motivation? The impact of challenge-hindrance stressors on employees' innovation performance.有压力就有动力?挑战性-阻碍性压力源对员工创新绩效的影响。
Front Psychol. 2022 Oct 26;13:1020764. doi: 10.3389/fpsyg.2022.1020764. eCollection 2022.
8
The effects of leaders' abusive supervision on employees' work engagement: a moderated-mediation model of employees' silence and employees' proactive personalities.领导的辱骂性监管对员工工作投入的影响:员工沉默和员工积极人格的中介调节模型。
Leadersh Health Serv (Bradf Engl). 2022 Jul 8;ahead-of-print(ahead-of-print). doi: 10.1108/LHS-03-2022-0021.
9
Influence of mentoring on the proactive behavior of new employees: moderated mediation effect of agreeableness.导师指导对新员工主动行为的影响:宜人性的调节中介效应
Front Psychol. 2024 Mar 18;15:1370815. doi: 10.3389/fpsyg.2024.1370815. eCollection 2024.
10
How to Motivate Employees for Sustained Innovation Behavior in Job Stressors? A Cross-Level Analysis of Organizational Innovation Climate.如何在工作压力源下激励员工持续创新行为?组织创新氛围的跨层次分析。
Int J Environ Res Public Health. 2019 Nov 20;16(23):4608. doi: 10.3390/ijerph16234608.

引用本文的文献

1
Impact of work-family conflict on work engagement among female university teachers: Evidence from China.工作-家庭冲突对高校女教师工作投入的影响:来自中国的证据。
PLoS One. 2025 Mar 25;20(3):e0319785. doi: 10.1371/journal.pone.0319785. eCollection 2025.

本文引用的文献

1
The Impact of Challenge and Hindrance Stressors on Thriving at Work Double Mediation Based on Affect and Motivation.挑战性压力源和阻碍性压力源对工作中蓬勃发展的影响:基于情感和动机的双重中介作用
Front Psychol. 2021 Jan 28;12:613871. doi: 10.3389/fpsyg.2021.613871. eCollection 2021.
2
An alter-centric perspective on employee innovation: The importance of alters' creative self-efficacy and network structure.从关系视角看员工创新:关系人创造力自我效能感和网络结构的重要性。
J Appl Psychol. 2017 Sep;102(9):1360-1374. doi: 10.1037/apl0000220. Epub 2017 Apr 17.
3
Work stress, Chinese work values, and work well-being in the Greater China.
工作压力、中国工作价值观与大中华地区的工作幸福感
J Soc Psychol. 2011 Nov-Dec;151(6):767-83. doi: 10.1080/00224545.2010.538760.
4
The role of proactive personality in job satisfaction and organizational citizenship behavior: a relational perspective.主动人格在工作满意度和组织公民行为中的作用:关系视角。
J Appl Psychol. 2010 Mar;95(2):395-404. doi: 10.1037/a0018079.
5
Can "good" stressors spark "bad" behaviors? The mediating role of emotions in links of challenge and hindrance stressors with citizenship and counterproductive behaviors.良性压力源会引发不良行为吗?情绪在挑战和阻碍压力源与公民行为和反生产行为之间的联系中的中介作用。
J Appl Psychol. 2009 Nov;94(6):1438-51. doi: 10.1037/a0016752.
6
A group-level model of safety climate: testing the effect of group climate on microaccidents in manufacturing jobs.安全氛围的群体层面模型:检验群体氛围对制造业工作中微事故的影响。
J Appl Psychol. 2000 Aug;85(4):587-96. doi: 10.1037/0021-9010.85.4.587.
7
An empirical examination of self-reported work stress among U.S. managers.对美国经理人员自我报告的工作压力的实证研究。
J Appl Psychol. 2000 Feb;85(1):65-74. doi: 10.1037/0021-9010.85.1.65.
8
Proactive personality and career success.积极主动型人格与职业成功。
J Appl Psychol. 1999 Jun;84(3):416-27. doi: 10.1037/0021-9010.84.3.416.
9
Conservation of resources. A new attempt at conceptualizing stress.资源守恒:一种对压力进行概念化的新尝试。
Am Psychol. 1989 Mar;44(3):513-24. doi: 10.1037//0003-066x.44.3.513.