Suppr超能文献

工作-家庭冲突和工作角色认同在调节中介上司支持感知与员工积极行为之间关系中的作用。

The role of work-family conflict and job role identification in moderated mediating the relationship between perceived supervisor support and employee proactive behaviors.

作者信息

Wang Zhicheng

机构信息

School of Economics and Management, Hainan Normal University, Haikou, China.

出版信息

Front Psychol. 2022 Oct 11;13:857713. doi: 10.3389/fpsyg.2022.857713. eCollection 2022.

Abstract

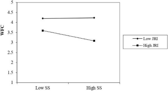
In recent years, the outbreak and persistence of COVID-19 has greatly changed the way people work, and encouraging employees to work online from home has become a new form of work for organizations responding to the epidemic. Based on the W-HR model, this paper explored supervisor support as a situational resource in the context of online office, aiming to verify the changes in work-family status caused by individuals facing the background of supervisor support, and then relate employees' proactive behavior. Meanwhile, the predicted moderating effect of job role identification on supervisor support and work-family conflict was verified by considering the role identification generated in the positive interaction between employees and supervisors as individual resources. In this study, 555 employees from enterprises in the provinces of Jiangsu and Guangdong were selected as the research participants, and data were recovered at two time nodes. The results show that: (1) Perceived supervisor support significantly relates employee proactive behavior. (2) Work-family conflict mediates the relationship between perceived supervisor support and employee proactive behavior. (3) Job role identification has a significant moderating effect on the relationship between perceived supervisor support and work-family conflict, and high level of job role identification moderated the mediating effect of work-family conflict on perceived supervisor support and employee proactive behavior significantly. This paper expands the research perspective of employee proactive behavior. It can be used as a reference for enterprises to formulate strategies to improve employee proactive behavior in the process of digital reform.

摘要

近年来,新冠疫情的爆发与持续极大地改变了人们的工作方式,鼓励员工居家在线办公已成为各组织应对疫情的一种新的工作形式。基于W-HR模型,本文探讨了上级支持作为在线办公情境下的一种情境资源,旨在验证个体面对上级支持背景时工作-家庭状态的变化,进而关联员工的积极行为。同时,通过将员工与上级积极互动中产生的角色认同视为个体资源,验证了工作角色认同对上级支持与工作-家庭冲突的预测性调节作用。本研究选取了江苏和广东两省企业的555名员工作为研究对象,并在两个时间节点收集数据。结果表明:(1)感知到的上级支持与员工积极行为显著相关。(2)工作-家庭冲突在感知到的上级支持与员工积极行为之间起中介作用。(3)工作角色认同对感知到的上级支持与工作-家庭冲突之间的关系具有显著的调节作用,高水平的工作角色认同显著调节了工作-家庭冲突对感知到的上级支持与员工积极行为的中介作用。本文拓展了员工积极行为的研究视角。可为企业在数字化改革过程中制定提高员工积极行为的策略提供参考。

https://cdn.ncbi.nlm.nih.gov/pmc/blobs/41f0/9592708/0f84ca4d9811/fpsyg-13-857713-g001.jpg

文献AI研究员

20分钟写一篇综述,助力文献阅读效率提升50倍。

立即体验

用中文搜PubMed

大模型驱动的PubMed中文搜索引擎

马上搜索

文档翻译

学术文献翻译模型,支持多种主流文档格式。

立即体验