• 文献检索
  • 文档翻译
  • 深度研究
  • 学术资讯
  • Suppr Zotero 插件Zotero 插件
  • 邀请有礼
  • 套餐&价格
  • 历史记录
应用&插件
Suppr Zotero 插件Zotero 插件浏览器插件Mac 客户端Windows 客户端微信小程序
定价
高级版会员购买积分包购买API积分包
服务
文献检索文档翻译深度研究API 文档MCP 服务
关于我们
关于 Suppr公司介绍联系我们用户协议隐私条款
关注我们

Suppr 超能文献

核心技术专利:CN118964589B侵权必究
粤ICP备2023148730 号-1Suppr @ 2026

文献检索

告别复杂PubMed语法,用中文像聊天一样搜索,搜遍4000万医学文献。AI智能推荐,让科研检索更轻松。

立即免费搜索

文件翻译

保留排版,准确专业,支持PDF/Word/PPT等文件格式,支持 12+语言互译。

免费翻译文档

深度研究

AI帮你快速写综述,25分钟生成高质量综述,智能提取关键信息,辅助科研写作。

立即免费体验

从氯化胆碱和丙二醇低共熔溶剂镀液中电沉积镍钼合金涂层。

Electrodeposition of Ni-Mo alloy coatings from choline chloride and propylene glycol deep eutectic solvent plating bath.

作者信息

Niciejewska Anna, Ajmal Aleeza, Pawlyta Mirosława, Marczewski Marek, Winiarski Juliusz

机构信息

Group of Surface Technology, Department of Advanced Material Technologies, Faculty of Chemistry, Wrocław University of Science and Technology, Wybrzeże Wyspiańskiego 27, 50-370, Wrocław, Poland.

Materials Research Laboratory, Faculty of Mechanical Engineering, Silesian University of Technology, Konarskiego 18A, 44-100, Gliwice, Poland.

出版信息

Sci Rep. 2022 Nov 2;12(1):18531. doi: 10.1038/s41598-022-22007-4.

DOI:10.1038/s41598-022-22007-4
PMID:36323701
原文链接:https://pmc.ncbi.nlm.nih.gov/articles/PMC9630437/
Abstract

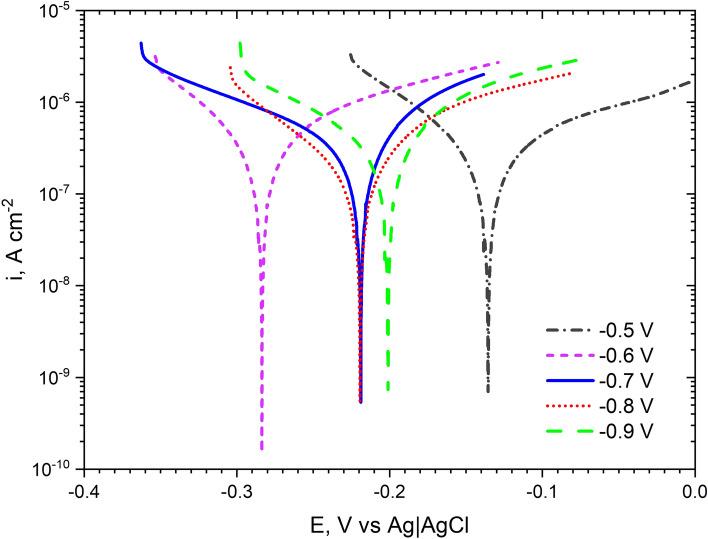
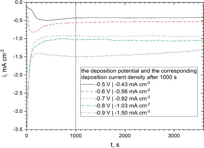
Ni-Mo alloy coatings were deposited on a copper base material from a non-aqueous plating bath based on a deep eutectic solvent (DES) of choline chloride and propylene glycol in a 1:2 molar ratio containing 0.2 mol dm NiCl · 6HO and 0.01 mol dm (NH)MoO·4HO. Uniform and adherent Ni-Mo deposits with a nodular morphology were obtained at all the deposition potentials investigated (from - 0.5 to - 0.9 V vs. Ag). By shifting the potential from - 0.5 to - 0.9 V, the deposition current density increased from - 0.4 to - 1.5 mA cm and the overall surface roughness increased. It was also accompanied by an increase in the Mo content from ~ 7 to ~ 13 wt% in the potential range from - 0.5 to - 0.7 V. A further change in the potential from - 0.8 to - 0.9 V caused a decrease in the Mo content to ~ 10 wt% and a deterioration in the quality of the coating. For the most uniform coating, deposited at - 0.6 V and having a thickness of ca. 660 nm, the crystallite size did not exceed 10 nm. With the content of Ni (89 at.%) and Mo (11 at.%), the selected area electron diffraction (SAED) analysis allowed us to identify the cubic phase NiMo. The corrosion resistance of Ni-Mo coatings in 0.05 mol dm NaCl solution generally increased during exposure of 18 h, as evidenced by ever higher polarization resistance. Finally, regardless of the applied deposition potential, low corrosion currents (in the range of 0.1-0.3 μA cm) have been measured for the coatings. EIS revealed that charge transfer resistances were the highest (57-67 kΩ cm) for coatings deposited at - 0.5 V, - 0.6 V and - 0.7 V. Further increase in the deposition potential in the negative direction was unfavorable.

摘要

基于氯化胆碱和丙二醇摩尔比为1:2的低共熔溶剂(DES),在含有0.2 mol dm⁻³ NiCl₂·6H₂O和0.01 mol dm⁻³ (NH₄)₆Mo₇O₂₄·4H₂O的非水镀液中,将镍钼合金涂层沉积在铜基材料上。在所有研究的沉积电位(相对于银为 -0.5至 -0.9 V)下,均获得了具有结节形态的均匀且附着良好的镍钼沉积物。通过将电位从 -0.5 V 变为 -0.9 V,沉积电流密度从 -0.4 mA cm⁻²增加到 -1.5 mA cm⁻²,并且整体表面粗糙度增加。在 -0.5至 -0.7 V的电位范围内,钼含量也从约7 wt%增加到约13 wt%。电位从 -0.8 V进一步变化到 -0.9 V导致钼含量降至约10 wt%,并且涂层质量恶化。对于在 -0.6 V沉积且厚度约为660 nm 的最均匀涂层,微晶尺寸不超过10 nm。镍含量为89 at.%,钼含量为11 at.%,通过选区电子衍射(SAED)分析,我们能够确定立方相NiMo。在0.05 mol dm⁻³ NaCl溶液中,镍钼涂层的耐腐蚀性在18小时的暴露过程中总体上有所增加,更高的极化电阻证明了这一点。最后,无论施加的沉积电位如何,涂层的腐蚀电流都很低(在0.1 - 0.3 μA cm⁻²范围内)。电化学阻抗谱(EIS)显示,在 -0.5 V、 -0.6 V和 -0.7 V沉积的涂层的电荷转移电阻最高(57 - 67 kΩ cm²)。沉积电位在负方向上的进一步增加是不利的。

https://cdn.ncbi.nlm.nih.gov/pmc/blobs/2c86/9630437/3f02bd2d8997/41598_2022_22007_Fig13_HTML.jpg
https://cdn.ncbi.nlm.nih.gov/pmc/blobs/2c86/9630437/38e48c38fb9f/41598_2022_22007_Fig1_HTML.jpg
https://cdn.ncbi.nlm.nih.gov/pmc/blobs/2c86/9630437/dc6bfbca1c89/41598_2022_22007_Fig2_HTML.jpg
https://cdn.ncbi.nlm.nih.gov/pmc/blobs/2c86/9630437/646b5869199b/41598_2022_22007_Fig3_HTML.jpg
https://cdn.ncbi.nlm.nih.gov/pmc/blobs/2c86/9630437/84aa92b60c69/41598_2022_22007_Fig4_HTML.jpg
https://cdn.ncbi.nlm.nih.gov/pmc/blobs/2c86/9630437/96242531da68/41598_2022_22007_Fig5_HTML.jpg
https://cdn.ncbi.nlm.nih.gov/pmc/blobs/2c86/9630437/84d79daf4c11/41598_2022_22007_Fig6_HTML.jpg
https://cdn.ncbi.nlm.nih.gov/pmc/blobs/2c86/9630437/aa506b9c9f71/41598_2022_22007_Fig7_HTML.jpg
https://cdn.ncbi.nlm.nih.gov/pmc/blobs/2c86/9630437/d048d2211589/41598_2022_22007_Fig8_HTML.jpg
https://cdn.ncbi.nlm.nih.gov/pmc/blobs/2c86/9630437/212cda54e31c/41598_2022_22007_Fig9_HTML.jpg
https://cdn.ncbi.nlm.nih.gov/pmc/blobs/2c86/9630437/73486d13ba3b/41598_2022_22007_Fig10_HTML.jpg
https://cdn.ncbi.nlm.nih.gov/pmc/blobs/2c86/9630437/f1a721178880/41598_2022_22007_Fig11_HTML.jpg
https://cdn.ncbi.nlm.nih.gov/pmc/blobs/2c86/9630437/a3948fc59283/41598_2022_22007_Fig12_HTML.jpg
https://cdn.ncbi.nlm.nih.gov/pmc/blobs/2c86/9630437/3f02bd2d8997/41598_2022_22007_Fig13_HTML.jpg
https://cdn.ncbi.nlm.nih.gov/pmc/blobs/2c86/9630437/38e48c38fb9f/41598_2022_22007_Fig1_HTML.jpg
https://cdn.ncbi.nlm.nih.gov/pmc/blobs/2c86/9630437/dc6bfbca1c89/41598_2022_22007_Fig2_HTML.jpg
https://cdn.ncbi.nlm.nih.gov/pmc/blobs/2c86/9630437/646b5869199b/41598_2022_22007_Fig3_HTML.jpg
https://cdn.ncbi.nlm.nih.gov/pmc/blobs/2c86/9630437/84aa92b60c69/41598_2022_22007_Fig4_HTML.jpg
https://cdn.ncbi.nlm.nih.gov/pmc/blobs/2c86/9630437/96242531da68/41598_2022_22007_Fig5_HTML.jpg
https://cdn.ncbi.nlm.nih.gov/pmc/blobs/2c86/9630437/84d79daf4c11/41598_2022_22007_Fig6_HTML.jpg
https://cdn.ncbi.nlm.nih.gov/pmc/blobs/2c86/9630437/aa506b9c9f71/41598_2022_22007_Fig7_HTML.jpg
https://cdn.ncbi.nlm.nih.gov/pmc/blobs/2c86/9630437/d048d2211589/41598_2022_22007_Fig8_HTML.jpg
https://cdn.ncbi.nlm.nih.gov/pmc/blobs/2c86/9630437/212cda54e31c/41598_2022_22007_Fig9_HTML.jpg
https://cdn.ncbi.nlm.nih.gov/pmc/blobs/2c86/9630437/73486d13ba3b/41598_2022_22007_Fig10_HTML.jpg
https://cdn.ncbi.nlm.nih.gov/pmc/blobs/2c86/9630437/f1a721178880/41598_2022_22007_Fig11_HTML.jpg
https://cdn.ncbi.nlm.nih.gov/pmc/blobs/2c86/9630437/a3948fc59283/41598_2022_22007_Fig12_HTML.jpg
https://cdn.ncbi.nlm.nih.gov/pmc/blobs/2c86/9630437/3f02bd2d8997/41598_2022_22007_Fig13_HTML.jpg

相似文献

1
Electrodeposition of Ni-Mo alloy coatings from choline chloride and propylene glycol deep eutectic solvent plating bath.从氯化胆碱和丙二醇低共熔溶剂镀液中电沉积镍钼合金涂层。
Sci Rep. 2022 Nov 2;12(1):18531. doi: 10.1038/s41598-022-22007-4.
2
Electrochemical behaviour and analysis of Zn and Zn-Ni alloy anti-corrosive coatings deposited from citrate baths.柠檬酸盐镀液中沉积的锌及锌镍合金防腐涂层的电化学行为与分析
RSC Adv. 2018 Aug 14;8(51):28861-28873. doi: 10.1039/c8ra04650f.
3
Electrodeposited Ni-Mo coatings as electrocatalytic materials for green hydrogen production.电沉积镍钼涂层作为绿色制氢的电催化材料。
Heliyon. 2023 Apr 5;9(4):e15230. doi: 10.1016/j.heliyon.2023.e15230. eCollection 2023 Apr.
4
Ni/cerium Molybdenum Oxide Hydrate Microflakes Composite Coatings Electrodeposited From Choline Chloride: Ethylene Glycol Deep Eutectic Solvent.从氯化胆碱:乙二醇低共熔溶剂中电沉积的镍/铈钼氧化物水合物微片复合涂层
Materials (Basel). 2020 Feb 19;13(4):924. doi: 10.3390/ma13040924.
5
Electrodeposition of ZnNi Alloys from Choline Chloride/Ethylene Glycol Deep Eutectic Solvent and Pure Ethylene Glycol for Corrosion Protection.从氯化胆碱/乙二醇低共熔溶剂和纯乙二醇中电沉积锌镍合金用于腐蚀防护
J Phys Chem B. 2020 Nov 25;124(47):10739-10751. doi: 10.1021/acs.jpcb.0c04784. Epub 2020 Nov 11.
6
Effect of Current Density on the Corrosion Resistance and Photocatalytic Properties of Cu-Ni-ZnNiCuO Nanocomposite Coatings.电流密度对Cu-Ni-ZnNiCuO纳米复合涂层耐腐蚀性能及光催化性能的影响
Materials (Basel). 2023 Jul 10;16(14):4925. doi: 10.3390/ma16144925.
7
Ultrasonic-assisted electrodeposition of Ni/diamond composite coatings and its structure and electrochemical properties.超声辅助电沉积镍/金刚石复合涂层及其结构与电化学性能
Ultrason Sonochem. 2021 May;73:105475. doi: 10.1016/j.ultsonch.2021.105475. Epub 2021 Feb 2.
8
Improvement of AZ91 Alloy Corrosion Properties by Duplex NI-P Coating Deposition.通过双相镍磷涂层沉积改善AZ91合金的腐蚀性能
Materials (Basel). 2020 Mar 17;13(6):1357. doi: 10.3390/ma13061357.
9
Titanium anodizing in a choline dihydrogencitrate salt-oxalic acid deep eutectic solvent: a step towards green chemistry in surface finishing of titanium and its alloys.在柠檬酸二氢胆碱-草酸低共熔溶剂中对钛进行阳极氧化:迈向钛及其合金表面处理绿色化学的一步。
RSC Adv. 2021 Jun 14;11(34):21104-21115. doi: 10.1039/d1ra01655e. eCollection 2021 Jun 9.
10
Corrosion resistance of Ni-P/SiC and Ni-P composite coatings prepared by magnetic field-enhanced jet electrodeposition.磁场增强喷射电沉积制备的Ni-P/SiC和Ni-P复合涂层的耐蚀性
RSC Adv. 2020 Sep 15;10(56):34167-34176. doi: 10.1039/d0ra06735k. eCollection 2020 Sep 10.

引用本文的文献

1
Electrochemical Corrosion Properties and Protective Performance of Coatings Electrodeposited from Deep Eutectic Solvent-Based Electrolytes: A Review.基于深共晶溶剂的电解质电沉积涂层的电化学腐蚀性能及防护性能综述
Materials (Basel). 2025 Jan 26;18(3):558. doi: 10.3390/ma18030558.
2
Pulsed electroplating of ZrO-reinforced Ni-Cr alloy coatings from the duplex complexing agents-containing bath for engineering applications: Importance of operating conditions.用于工程应用的含双络合剂镀液中ZrO增强Ni-Cr合金涂层的脉冲电镀:操作条件的重要性
Heliyon. 2024 Sep 10;10(18):e37631. doi: 10.1016/j.heliyon.2024.e37631. eCollection 2024 Sep 30.
3

本文引用的文献

1
Ni/cerium Molybdenum Oxide Hydrate Microflakes Composite Coatings Electrodeposited From Choline Chloride: Ethylene Glycol Deep Eutectic Solvent.从氯化胆碱:乙二醇低共熔溶剂中电沉积的镍/铈钼氧化物水合物微片复合涂层
Materials (Basel). 2020 Feb 19;13(4):924. doi: 10.3390/ma13040924.
2
Deep eutectic solvents (DESs) and their applications.深层共熔溶剂(DESs)及其应用。
Chem Rev. 2014 Nov 12;114(21):11060-82. doi: 10.1021/cr300162p. Epub 2014 Oct 10.
Electrocatalysis in deep eutectic solvents: from fundamental properties to applications.
深共晶溶剂中的电催化:从基本性质到应用
Chem Sci. 2024 Jun 5;15(26):9949-9976. doi: 10.1039/d4sc02318h. eCollection 2024 Jul 3.
4
Electrodeposited Ni-Mo coatings as electrocatalytic materials for green hydrogen production.电沉积镍钼涂层作为绿色制氢的电催化材料。
Heliyon. 2023 Apr 5;9(4):e15230. doi: 10.1016/j.heliyon.2023.e15230. eCollection 2023 Apr.
5
Design Strategy and Application of Deep Eutectic Solvents for Green Synthesis of Nanomaterials.用于纳米材料绿色合成的深共熔溶剂的设计策略与应用
Nanomaterials (Basel). 2023 Mar 24;13(7):1164. doi: 10.3390/nano13071164.