• 文献检索
  • 文档翻译
  • 深度研究
  • 学术资讯
  • Suppr Zotero 插件Zotero 插件
  • 邀请有礼
  • 套餐&价格
  • 历史记录
应用&插件
Suppr Zotero 插件Zotero 插件浏览器插件Mac 客户端Windows 客户端微信小程序
定价
高级版会员购买积分包购买API积分包
服务
文献检索文档翻译深度研究API 文档MCP 服务
关于我们
关于 Suppr公司介绍联系我们用户协议隐私条款
关注我们

Suppr 超能文献

核心技术专利:CN118964589B侵权必究
粤ICP备2023148730 号-1Suppr @ 2026

文献检索

告别复杂PubMed语法,用中文像聊天一样搜索,搜遍4000万医学文献。AI智能推荐,让科研检索更轻松。

立即免费搜索

文件翻译

保留排版,准确专业,支持PDF/Word/PPT等文件格式,支持 12+语言互译。

免费翻译文档

深度研究

AI帮你快速写综述,25分钟生成高质量综述,智能提取关键信息,辅助科研写作。

立即免费体验

将疫苗接种荒漠作为控制新冠病毒的障碍进行空间建模。

Spatial modeling of vaccine deserts as barriers to controlling SARS-CoV-2.

作者信息

Rader Benjamin, Astley Christina M, Sewalk Kara, Delamater Paul L, Cordiano Kathryn, Wronski Laura, Rivera Jessica Malaty, Hallberg Kai, Pera Megan F, Cantor Jonathan, Whaley Christopher M, Bravata Dena M, Lee Leslie, Patel Anita, Brownstein John S

机构信息

Computational Epidemiology Lab, Boston Children's Hospital, Boston, MA, USA.

Department of Epidemiology, Boston University School of Public Health, Boston, MA, USA.

出版信息

Commun Med (Lond). 2022 Nov 10;2(1):141. doi: 10.1038/s43856-022-00183-8.

DOI:10.1038/s43856-022-00183-8
PMID:36357587
原文链接:https://pmc.ncbi.nlm.nih.gov/articles/PMC9649755/
Abstract

BACKGROUND

COVID-19 vaccine distribution is at risk of further propagating the inequities of COVID-19, which in the United States (US) has disproportionately impacted the elderly, people of color, and the medically vulnerable. We sought to measure if the disparities seen in the geographic distribution of other COVID-19 healthcare resources were also present during the initial rollout of the COVID-19 vaccine.

METHODS

Using a comprehensive COVID-19 vaccine database (VaccineFinder), we built an empirically parameterized spatial model of access to essential resources that incorporated vaccine supply, time-willing-to-travel for vaccination, and previous vaccination across the US. We then identified vaccine deserts-US Census tracts with localized, geographic barriers to vaccine-associated herd immunity. We link our model results with Census data and two high-resolution surveys to understand the distribution and determinates of spatially accessibility to the COVID-19 vaccine.

RESULTS

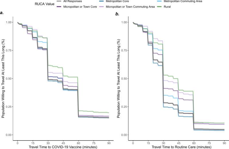
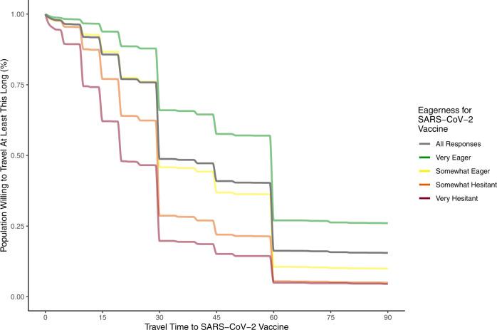
We find that in early 2021, vaccine deserts were home to over 30 million people, >10% of the US population. Vaccine deserts were concentrated in rural locations and communities with a higher percentage of medically vulnerable populations. We also find that in locations of similar urbanicity, early vaccination distribution disadvantaged neighborhoods with more people of color and older aged residents.

CONCLUSION

Given sufficient vaccine supply, data-driven vaccine distribution to vaccine deserts may improve immunization rates and help control COVID-19.

摘要

背景

新冠病毒病(COVID-19)疫苗的分发有进一步加剧COVID-19不平等现象的风险,在美国,这种不平等现象对老年人、有色人种和医疗弱势群体的影响尤为严重。我们试图衡量在COVID-19疫苗首次推广期间,其他COVID-19医疗资源地理分布中所看到的差异是否也存在。

方法

利用一个全面的COVID-19疫苗数据库(VaccineFinder),我们构建了一个经验参数化的基本资源获取空间模型,该模型纳入了疫苗供应、接种疫苗的时间意愿以及美国各地以前的接种情况。然后,我们确定了疫苗荒漠——美国人口普查区中存在与疫苗相关的群体免疫的局部地理障碍。我们将模型结果与人口普查数据和两项高分辨率调查联系起来,以了解COVID-19疫苗空间可及性的分布和决定因素。

结果

我们发现,在2021年初,疫苗荒漠地区居住着超过3000万人,占美国人口的10%以上。疫苗荒漠集中在农村地区以及医疗弱势群体比例较高的社区。我们还发现,在城市化程度相似的地区,早期疫苗接种分布对有色人种和老年居民较多的社区不利。

结论

在有足够疫苗供应的情况下,以数据驱动向疫苗荒漠地区分发疫苗可能会提高免疫率,并有助于控制COVID-19。

https://cdn.ncbi.nlm.nih.gov/pmc/blobs/78cf/9649755/1eab977fe34f/43856_2022_183_Fig4_HTML.jpg
https://cdn.ncbi.nlm.nih.gov/pmc/blobs/78cf/9649755/58e1bd4d97d2/43856_2022_183_Fig1_HTML.jpg
https://cdn.ncbi.nlm.nih.gov/pmc/blobs/78cf/9649755/9780321a81f1/43856_2022_183_Fig2_HTML.jpg
https://cdn.ncbi.nlm.nih.gov/pmc/blobs/78cf/9649755/ec01c70026b0/43856_2022_183_Fig3_HTML.jpg
https://cdn.ncbi.nlm.nih.gov/pmc/blobs/78cf/9649755/1eab977fe34f/43856_2022_183_Fig4_HTML.jpg
https://cdn.ncbi.nlm.nih.gov/pmc/blobs/78cf/9649755/58e1bd4d97d2/43856_2022_183_Fig1_HTML.jpg
https://cdn.ncbi.nlm.nih.gov/pmc/blobs/78cf/9649755/9780321a81f1/43856_2022_183_Fig2_HTML.jpg
https://cdn.ncbi.nlm.nih.gov/pmc/blobs/78cf/9649755/ec01c70026b0/43856_2022_183_Fig3_HTML.jpg
https://cdn.ncbi.nlm.nih.gov/pmc/blobs/78cf/9649755/1eab977fe34f/43856_2022_183_Fig4_HTML.jpg

相似文献

1
Spatial modeling of vaccine deserts as barriers to controlling SARS-CoV-2.将疫苗接种荒漠作为控制新冠病毒的障碍进行空间建模。
Commun Med (Lond). 2022 Nov 10;2(1):141. doi: 10.1038/s43856-022-00183-8.
2
Disparities in distribution of COVID-19 vaccines across US counties: A geographic information system-based cross-sectional study.美国各县 COVID-19 疫苗分配差异:基于地理信息系统的横断面研究。
PLoS Med. 2022 Jul 28;19(7):e1004069. doi: 10.1371/journal.pmed.1004069. eCollection 2022 Jul.
3
Challenging terrains: socio-spatial analysis of Primary Health Care Access Disparities in West Virginia.具有挑战性的地域:西弗吉尼亚州初级医疗保健可及性差异的社会空间分析
Appl Spat Anal Policy. 2023;16(1):141-161. doi: 10.1007/s12061-022-09472-0. Epub 2022 Aug 10.
4
Navigating geographical disparities: access to obstetric hospitals in maternity care deserts and across the United States.跨越地理差异:在美国各地的产科荒漠中获得产科医院的服务。
BMC Pregnancy Childbirth. 2024 May 8;24(1):350. doi: 10.1186/s12884-024-06535-7.
5
Quantifying inequities in COVID-19 vaccine distribution over time by social vulnerability, race and ethnicity, and location: A population-level analysis in St. Louis and Kansas City, Missouri.量化 COVID-19 疫苗在时间上的分配不平等,根据社会脆弱性、种族和民族以及地理位置:密苏里州圣路易斯和堪萨斯城的人群水平分析。
PLoS Med. 2022 Aug 26;19(8):e1004048. doi: 10.1371/journal.pmed.1004048. eCollection 2022 Aug.
6
Availability Versus Accessibility: Identifying COVID-19 Testing Deserts Across Massachusetts.可及性与可用性:识别马萨诸塞州各地的 COVID-19 检测荒漠。
Health Aff (Millwood). 2023 May;42(5):712-720. doi: 10.1377/hlthaff.2022.00683.
7
COVID-19 Healthcare Inequity: Lessons Learned from Annual Influenza Vaccination Rates to Mitigate COVID-19 Vaccine Disparities.COVID-19 医疗保健不公平:从年度流感疫苗接种率中吸取的教训,以减轻 COVID-19 疫苗差距。
Yale J Biol Med. 2021 Sep 30;94(3):509-515. eCollection 2021 Sep.
8
Mapping pharmacy deserts and determining accessibility to community pharmacy services for elderly enrolled in a State Pharmaceutical Assistance Program.绘制药店荒漠图并确定参加国家药品援助计划的老年人群可获得社区药店服务的程度。
PLoS One. 2018 Jun 4;13(6):e0198173. doi: 10.1371/journal.pone.0198173. eCollection 2018.
9
[Technical guidelines for seasonal influenza vaccination in China (2022-2023)].《中国季节性流感疫苗接种技术指南(2022—2023年)》
Zhonghua Yu Fang Yi Xue Za Zhi. 2022 Oct 6;56(10):1356-1386. doi: 10.3760/cma.j.cn112150-20220825-00840.
10
Assessing barriers to access and equity for COVID-19 vaccination in the US.评估美国 COVID-19 疫苗接种的可及性和公平性障碍。
BMC Public Health. 2022 Dec 3;22(1):2263. doi: 10.1186/s12889-022-14636-1.

引用本文的文献

1
Identifying Areas with Low Access to the COVID-19 Vaccine: A New Objective Framework Incorporating Mobility Data.确定新冠疫苗接种机会低的地区:一个纳入流动性数据的新客观框架。
Healthcare (Basel). 2025 Jun 6;13(12):1368. doi: 10.3390/healthcare13121368.
2
Neighborhood Determinants of Primary Care Access in Virginia.弗吉尼亚州初级医疗服务可及性的社区决定因素
Ann Fam Med. 2025 May 27;23(3):231-239. doi: 10.1370/afm.240331.
3
Assessing the impact of building footprint dataset choice for health programme planning: a case study of indoor residual spraying (IRS) in Zambia.

本文引用的文献

1
Assessment of geographic access to monoclonal antibodies in the United States.美国单克隆抗体地理可及性评估
J Travel Med. 2022 May 31;29(3). doi: 10.1093/jtm/taac018.
2
The US COVID-19 Trends and Impact Survey: Continuous real-time measurement of COVID-19 symptoms, risks, protective behaviors, testing, and vaccination.美国 COVID-19 趋势与影响调查:对 COVID-19 症状、风险、防护行为、检测和疫苗接种的持续实时测量。
Proc Natl Acad Sci U S A. 2021 Dec 21;118(51). doi: 10.1073/pnas.2111454118.
3
Inequities in the Geographic Accessibility of COVID-19 Biomedical Therapeutic Trials in the United States.
评估建筑占地面积数据集选择对卫生项目规划的影响:以赞比亚的室内残留喷洒(IRS)为例
Int J Health Geogr. 2025 May 24;24(1):13. doi: 10.1186/s12942-025-00398-7.
4
Applying a diffusion of innovations framework to characterise diffusion groups and more effectively reach late adopters: a cross-sectional study on COVID-19 vaccinations in Canada in late 2021.应用创新扩散框架来界定扩散群体并更有效地覆盖晚期采用者:2021年末加拿大新冠疫苗接种的横断面研究
BMJ Public Health. 2025 Jan 16;3(1):e000926. doi: 10.1136/bmjph-2024-000926. eCollection 2025 Jan.
5
Evaluating geographic accessibility to COVID-19 vaccination across 54 countries/regions.评估54个国家/地区新冠疫苗接种的地理可达性。
BMJ Glob Health. 2025 Feb 19;10(2):e017761. doi: 10.1136/bmjgh-2024-017761.
6
Factors that shape COVID-19 pediatric vaccine decision-making in rural agricultural communities: A qualitative study.影响农村农业社区新冠病毒儿科疫苗决策的因素:一项定性研究
Vaccine. 2024 Dec 2;42(26):126389. doi: 10.1016/j.vaccine.2024.126389. Epub 2024 Oct 4.
7
Weighing the Options: Which PrEP (Pre-exposure Prophylaxis) Modality Attributes Influence Choice for Young Gay and Bisexual Men in the United States?权衡选择:在美国,哪些暴露前预防(PrEP)方式的属性会影响年轻男同性恋和双性恋者的选择?
AIDS Behav. 2024 Sep;28(9):2970-2978. doi: 10.1007/s10461-024-04384-1. Epub 2024 Aug 10.
8
A Study Examining the Impact of County-Level Demographic, Socioeconomic, and Political Affiliation Characteristics on COVID-19 Vaccination Patterns in Indiana.一项研究考察了印第安纳州县级人口、社会经济和政治党派特征对 COVID-19 疫苗接种模式的影响。
Int J Environ Res Public Health. 2024 Jul 9;21(7):892. doi: 10.3390/ijerph21070892.
9
Spatial Accessibility and Uptake of Pediatric COVID-19 Vaccinations by Social Vulnerability.社会脆弱性视角下的儿童 COVID-19 疫苗接种的可达性和接受度。
Pediatrics. 2024 Aug 1;154(2). doi: 10.1542/peds.2024-065938.
10
Distance to vaccine sites is tied to decreased COVID-19 vaccine uptake.到疫苗接种点的距离与新冠疫苗接种率下降有关。
PNAS Nexus. 2023 Dec 6;2(12):pgad411. doi: 10.1093/pnasnexus/pgad411. eCollection 2023 Dec.
美国新冠病毒生物医学治疗试验地理可及性方面的不平等现象
J Gen Intern Med. 2021 Nov;36(11):3650-3653. doi: 10.1007/s11606-021-07081-0. Epub 2021 Sep 3.
4
Anosmia, ageusia, and other COVID-19-like symptoms in association with a positive SARS-CoV-2 test, across six national digital surveillance platforms: an observational study.在六个国家数字监测平台上,与 SARS-CoV-2 检测呈阳性相关的嗅觉丧失、味觉丧失和其他类似 COVID-19 的症状:一项观察性研究。
Lancet Digit Health. 2021 Sep;3(9):e577-e586. doi: 10.1016/S2589-7500(21)00115-1. Epub 2021 Jul 22.
5
COVID-19 Vaccination Intent, Perceptions, and Reasons for Not Vaccinating Among Groups Prioritized for Early Vaccination - United States, September and December 2020.2020 年 9 月和 12 月美国优先接种人群的 COVID-19 疫苗接种意愿、认知和不接种原因。
MMWR Morb Mortal Wkly Rep. 2021 Feb 12;70(6):217-222. doi: 10.15585/mmwr.mm7006e3.
6
Vaccine Distribution-Equity Left Behind?疫苗分配——公平被抛诸脑后了吗?
JAMA. 2021 Mar 2;325(9):829-830. doi: 10.1001/jama.2021.1205.
7
Mask-wearing and control of SARS-CoV-2 transmission in the USA: a cross-sectional study.戴口罩与美国 SARS-CoV-2 传播的控制:一项横断面研究。
Lancet Digit Health. 2021 Mar;3(3):e148-e157. doi: 10.1016/S2589-7500(20)30293-4. Epub 2021 Jan 19.
8
COVID-19 Vaccination Hesitancy in the United States: A Rapid National Assessment.美国对 COVID-19 疫苗接种的犹豫:一项快速的全国评估。
J Community Health. 2021 Apr;46(2):270-277. doi: 10.1007/s10900-020-00958-x. Epub 2021 Jan 3.
9
Socioeconomic Disparities in Subway Use and COVID-19 Outcomes in New York City.地铁使用与纽约市 COVID-19 结局的社会经济差异。
Am J Epidemiol. 2021 Jul 1;190(7):1234-1242. doi: 10.1093/aje/kwaa277.
10
Impacts of the COVID-19 pandemic on rural America.新冠疫情对美国农村的影响。
Proc Natl Acad Sci U S A. 2021 Jan 5;118(1). doi: 10.1073/pnas.2019378118.