Suppr超能文献

水库诱发地震活动的可视性图分析:以越南松川2水电站为例。

Visibility Graph Analysis of Reservoir-Triggered Seismicity: The Case of Song Tranh 2 Hydropower, Vietnam.

作者信息

Telesca Luciano, Thai Anh Tuan, Lovallo Michele, Cao Dinh Trong

机构信息

Institute of Methodologies for Environmental Analysis, National Research Council, 85050 Tito, Italy.

Institute of Geophysics, Vietnam Academy of Science and Technology, Hanoi 100000, Vietnam.

出版信息

Entropy (Basel). 2022 Nov 7;24(11):1620. doi: 10.3390/e24111620.

Abstract

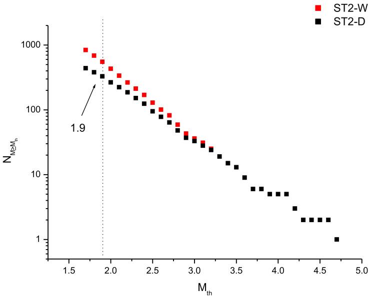
In this study, the visibility graph analysis of seismicity triggered by Song Tranh 2 hydropower (Vietnam) is performed. The relationship between the seismic (the Gutenberg-Richter -value) and topological (the - slope) parameters of seismicity is analysed. Our findings indicate that the relationship between the Gutenberg-Richter -value and the - slope of the investigated seismicity is in agreement with that characterising the tectonic seismicity. The results obtained from analysing the reservoir-triggered seismicity of Song Tranh 2 area could contribute to better characterisation of the relationship between the seismological and topological parameters of seismicity, strengthening the universal character of the relationship between the -value and the slope.

摘要

在本研究中,对越南松川2号水电站引发地震的可视性图分析进行了研究。分析了地震活动性的地震学参数(古登堡-里希特b值)与拓扑学参数(b斜率)之间的关系。我们的研究结果表明,所研究地震活动性的古登堡-里希特b值与b斜率之间的关系与构造地震活动性的特征相符。对松川2号地区水库诱发地震活动性分析所获得的结果,有助于更好地刻画地震活动性的地震学参数与拓扑学参数之间的关系,强化b值与b斜率之间关系的普遍性。

https://cdn.ncbi.nlm.nih.gov/pmc/blobs/fe62/9689148/82caf4668390/entropy-24-01620-g001.jpg

文献检索

告别复杂PubMed语法,用中文像聊天一样搜索,搜遍4000万医学文献。AI智能推荐,让科研检索更轻松。

立即免费搜索

文件翻译

保留排版,准确专业,支持PDF/Word/PPT等文件格式,支持 12+语言互译。

免费翻译文档

深度研究

AI帮你快速写综述,25分钟生成高质量综述,智能提取关键信息,辅助科研写作。

立即免费体验