Suppr超能文献

教育与 GJD2、RBFOX1、LAMA2、KCNQ5 和 LRRC4C 附近的遗传变异相互作用,导致近视易感性。

Education interacts with genetic variants near GJD2, RBFOX1, LAMA2, KCNQ5 and LRRC4C to confer susceptibility to myopia.

机构信息

School of Optometry & Vision Sciences, Cardiff University, Cardiff, United Kingdom.

Section of Ophthalmology, School of Life Course Sciences, King's College London, London, United Kingdom.

出版信息

PLoS Genet. 2022 Nov 17;18(11):e1010478. doi: 10.1371/journal.pgen.1010478. eCollection 2022 Nov.

Abstract

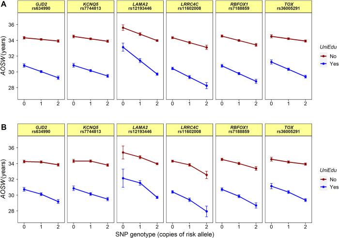
Myopia most often develops during school age, with the highest incidence in countries with intensive education systems. Interactions between genetic variants and educational exposure are hypothesized to confer susceptibility to myopia, but few such interactions have been identified. Here, we aimed to identify genetic variants that interact with education level to confer susceptibility to myopia. Two groups of unrelated participants of European ancestry from UK Biobank were studied. A 'Stage-I' sample of 88,334 participants whose refractive error (avMSE) was measured by autorefraction and a 'Stage-II' sample of 252,838 participants who self-reported their age-of-onset of spectacle wear (AOSW) but who did not undergo autorefraction. Genetic variants were prioritized via a 2-step screening process in the Stage-I sample: Step 1 was a genome-wide association study for avMSE; Step 2 was a variance heterogeneity analysis for avMSE. Genotype-by-education interaction tests were performed in the Stage-II sample, with University education coded as a binary exposure. On average, participants were 58 years-old and left full-time education when they were 18 years-old; 35% reported University level education. The 2-step screening strategy in the Stage-I sample prioritized 25 genetic variants (GWAS P < 1e-04; variance heterogeneity P < 5e-05). In the Stage-II sample, 19 of the 25 (76%) genetic variants demonstrated evidence of variance heterogeneity, suggesting the majority were true positives. Five genetic variants located near GJD2, RBFOX1, LAMA2, KCNQ5 and LRRC4C had evidence of a genotype-by-education interaction in the Stage-II sample (P < 0.002) and consistent evidence of a genotype-by-education interaction in the Stage-I sample. For all 5 variants, University-level education was associated with an increased effect of the risk allele. In this cohort, additional years of education were associated with an enhanced effect of genetic variants that have roles including axon guidance and the development of neuronal synapses and neural circuits.

摘要

近视通常在学龄期发展,在教育制度密集的国家发病率最高。遗传变异与教育暴露之间的相互作用被假设为导致近视易感性的原因,但很少有这样的相互作用被发现。在这里,我们旨在确定与教育水平相互作用以赋予近视易感性的遗传变异。我们研究了来自英国生物库的两个无亲缘关系的欧洲血统参与者群体。一个“阶段-I”样本包括 88334 名参与者,他们的屈光不正(avMSE)通过自动折射测量,另一个“阶段-II”样本包括 252838 名参与者,他们报告了戴眼镜的年龄(AOSW),但没有进行自动折射。通过“阶段-I”样本中的两步筛选过程优先考虑遗传变异:步骤 1 是 avMSE 的全基因组关联研究;步骤 2 是 avMSE 的方差异质性分析。在“阶段-II”样本中进行了基因型与教育的相互作用测试,将大学教育编码为二元暴露。参与者的平均年龄为 58 岁,18 岁时离开全日制教育;35%的人报告接受过大学教育。“阶段-I”样本中的两步筛选策略优先考虑了 25 个遗传变异(GWAS P < 1e-04;方差异质性 P < 5e-05)。在“阶段-II”样本中,25 个遗传变异中有 19 个(76%)显示出方差异质性的证据,这表明它们大多数是真正的阳性。位于 GJD2、RBFOX1、LAMA2、KCNQ5 和 LRRC4C 附近的 5 个遗传变异在“阶段-II”样本中显示出基因型与教育的相互作用的证据(P < 0.002),并且在“阶段-I”样本中也有一致的基因型与教育的相互作用的证据。对于所有 5 个变体,大学教育水平与风险等位基因的作用增强有关。在该队列中,额外的教育年限与在轴突导向和神经元突触和神经回路发育中起作用的遗传变异的作用增强有关。

https://cdn.ncbi.nlm.nih.gov/pmc/blobs/11f5/9671369/c2b82f654194/pgen.1010478.g001.jpg

文献AI研究员

20分钟写一篇综述,助力文献阅读效率提升50倍。

立即体验

用中文搜PubMed

大模型驱动的PubMed中文搜索引擎

马上搜索

文档翻译

学术文献翻译模型,支持多种主流文档格式。

立即体验