Suppr超能文献

微小RNA检测板作为结直肠癌的诊断生物标志物:一项系统评价和荟萃分析。

MicroRNA panels as diagnostic biomarkers for colorectal cancer: A systematic review and meta-analysis.

作者信息

Sur Daniel, Advani Shailesh, Braithwaite Dejana

机构信息

Department of Medical Oncology, The Oncology Institute "Prof. Dr. Ion Chiricuţă" Cluj-Napoca, Cluj-Napoca, Romania.

11th Department of Medical Oncology, University of Medicine and Pharmacy "Iuliu Haţieganu", Cluj-Napoca, Romania.

出版信息

Front Med (Lausanne). 2022 Nov 7;9:915226. doi: 10.3389/fmed.2022.915226. eCollection 2022.

Abstract

BACKGROUND

Circulating microRNAs (miRNA) have emerged as promising diagnostic biomarkers for several diseases, including cancer. However, the diagnostic accuracy of miRNA panels in colorectal cancer (CRC) remains inconsistent and there is still lack of meta-analyses to determine whether miRNA panels can serve as robust biomarkers for CRC diagnosis.

METHODS

This study performed a systematic review and meta-analysis to evaluate the clinical utility of miRNA panels as potential biomarkers for the diagnosis of CRC. The investigation systematically searched PubMed, Medline, Web of Science, Cochrane Library, and Google Scholar (21-year span, between 2000 and 2021) to retrieve articles reporting the diagnostic role of miRNA panels in detecting CRC. Diagnostic meta-analysis of miRNA panels used diverse evaluation indicators, including sensitivity, specificity, Positive Likelihood Ratio (PLR), Negative Likelihood Ratio (NLR), Diagnostic Odds Ratio (DOR), and the area under the curve (AUC) values.

RESULTS

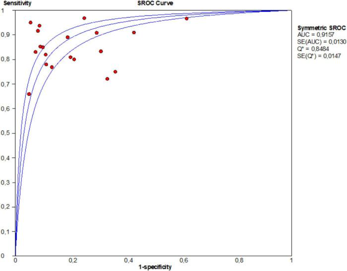
Among the 313 articles identified, 20 studies met the inclusion criteria. The pooled estimates of miRNA panels for the diagnosis of CRC were 0.85 (95% CI: 0.84-0.86), 0.79 (95% CI: 0.78-0.80), 4.06 (95% CI: 3.89-4.23), 0.20 (95% CI: 0.19-0.20), 22.50 (95% CI: 20.81-24.32) for sensitivity, specificity, PLR, NLR, and DOR, respectively. Moreover, the summary receiver operating characteristics (SROC) curve revealed an AUC value of 0.915 (95% CI: 0.914-0.916), suggesting an outstanding diagnostic accuracy for overall miRNA panels. Subgroup and meta-regression analyses demonstrated that miRNA panels have the highest diagnostic accuracy within serum samples, rather than in other sample-types - with a sensitivity, specificity, PLR, NLR, DOR, and AUC of 0.87, 0.86, 7.33, 0.13, 55.29, and 0.943, respectively. Sensitivity analysis revealed that DOR values did not differ markedly, which indicates that the meta-analysis had strong reliability. Furthermore, this study demonstrated no proof of publication bias for DOR values analyzed using Egger's regression test ( > 0.05) and funnel plot. Interestingly, miR-15b, miR-21 and miR-31 presented the best diagnostic accuracy values for CRC with sensitivity, specificity, PLR, NLR, DOR, and AUC values of 0.95, 0.94, 17.19, 0.05, 324.81, and 0.948, respectively.

CONCLUSION

This study's findings indicated that miRNA panels, particularly serum-derived miRNA panels, can serve as powerful and promising biomarkers for early CRC screening.

SYSTEMATIC REVIEW REGISTRATION

[www.crd.york.ac.uk/prospero], identifier [CRD42021268172].

摘要

背景

循环微RNA(miRNA)已成为包括癌症在内的多种疾病有前景的诊断生物标志物。然而,miRNA检测板在结直肠癌(CRC)中的诊断准确性仍不一致,且仍缺乏荟萃分析来确定miRNA检测板是否可作为CRC诊断的可靠生物标志物。

方法

本研究进行了一项系统评价和荟萃分析,以评估miRNA检测板作为CRC诊断潜在生物标志物的临床效用。该调查系统检索了PubMed、Medline、Web of Science、Cochrane图书馆和谷歌学术(2000年至2021年的21年跨度),以检索报告miRNA检测板在检测CRC中诊断作用的文章。miRNA检测板的诊断荟萃分析使用了多种评估指标,包括敏感性、特异性、阳性似然比(PLR)、阴性似然比(NLR)、诊断比值比(DOR)和曲线下面积(AUC)值。

结果

在识别出的313篇文章中,20项研究符合纳入标准。miRNA检测板用于CRC诊断的合并估计值分别为:敏感性0.85(95%CI:0.84 - 0.86)、特异性0.79(95%CI:0.78 - 0.80)、PLR 4.06(95%CI:3.89 - 4.23)、NLR 0.20(95%CI:0.19 - 0.20)、DOR 22.50(95%CI:20.81 - 24.32)。此外,汇总的受试者工作特征(SROC)曲线显示AUC值为0.915(95%CI:0.914 - 0.916),表明整体miRNA检测板具有出色的诊断准确性。亚组和荟萃回归分析表明,miRNA检测板在血清样本中的诊断准确性最高,而非其他样本类型——其敏感性、特异性、PLR、NLR、DOR和AUC分别为0.87、0.86、7.33、0.13、55.29和0.943。敏感性分析表明DOR值无明显差异,这表明荟萃分析具有很强的可靠性。此外,本研究使用Egger回归检验(>0.05)和漏斗图分析DOR值时,未发现发表偏倚的证据。有趣的是,miR - 15b、miR - 21和miR - 31在CRC诊断中呈现出最佳的诊断准确性值,其敏感性、特异性、PLR、NLR、DOR和AUC值分别为0.95、0.94、17.19、0.05、324.81和0.948。

结论

本研究结果表明,miRNA检测板,尤其是血清来源的miRNA检测板,可作为早期CRC筛查的强大且有前景的生物标志物。

系统评价注册

[www.crd.york.ac.uk/prospero],标识符[CRD42021268172]

https://cdn.ncbi.nlm.nih.gov/pmc/blobs/a291/9676370/f40c977aaf50/fmed-09-915226-g001.jpg

文献检索

告别复杂PubMed语法,用中文像聊天一样搜索,搜遍4000万医学文献。AI智能推荐,让科研检索更轻松。

立即免费搜索

文件翻译

保留排版,准确专业,支持PDF/Word/PPT等文件格式,支持 12+语言互译。

免费翻译文档

深度研究

AI帮你快速写综述,25分钟生成高质量综述,智能提取关键信息,辅助科研写作。

立即免费体验