• 文献检索
  • 文档翻译
  • 深度研究
  • 学术资讯
  • Suppr Zotero 插件Zotero 插件
  • 邀请有礼
  • 套餐&价格
  • 历史记录
应用&插件
Suppr Zotero 插件Zotero 插件浏览器插件Mac 客户端Windows 客户端微信小程序
定价
高级版会员购买积分包购买API积分包
服务
文献检索文档翻译深度研究API 文档MCP 服务
关于我们
关于 Suppr公司介绍联系我们用户协议隐私条款
关注我们

Suppr 超能文献

核心技术专利:CN118964589B侵权必究
粤ICP备2023148730 号-1Suppr @ 2026

文献检索

告别复杂PubMed语法,用中文像聊天一样搜索,搜遍4000万医学文献。AI智能推荐,让科研检索更轻松。

立即免费搜索

文件翻译

保留排版,准确专业,支持PDF/Word/PPT等文件格式,支持 12+语言互译。

免费翻译文档

深度研究

AI帮你快速写综述,25分钟生成高质量综述,智能提取关键信息,辅助科研写作。

立即免费体验

健康相关生活质量及其相关因素在埃塞俄比亚癌症患者中的研究:系统评价与荟萃分析。

Health-related quality of life and associated factors among cancer patients in Ethiopia: Systematic review and meta-analysis.

机构信息

Department of Nursing, School of Nursing, College of Health Science and Medicine Wolaita Sodo University, Sodo, Ethiopia.

Department Nursing, College of Health Science and Medicine, Wolkite University, Wolkite, Ethiopia.

出版信息

PLoS One. 2022 Dec 1;17(12):e0277839. doi: 10.1371/journal.pone.0277839. eCollection 2022.

DOI:10.1371/journal.pone.0277839
PMID:36454902
原文链接:https://pmc.ncbi.nlm.nih.gov/articles/PMC9714884/
Abstract

INTRODUCTION

Cancer is the main cause of morbidity and mortality in every part of the world, regardless of human development. Cancer patients exhibit a wide range of signs and symptoms. Being diagnosed with cancer has a variety of consequences that can affect one's quality of life. The term "health-related quality of life" refers to a multidimensional concept that encompasses a person's whole health. The availability of data on the prevalence of poor quality of life among cancer patients in Ethiopia is critical in order to focus on early detection and enhance cancer treatment strategies. In Ethiopia, however, there is a scarcity of information. As a result, the aim of this study was to determine the pooled estimated prevalence of quality of life among cancer patients in Ethiopia.

MATERIALS AND METHODS

This systematic review and meta-analysis were searched through MEDLINE, Pub Med, Cochrane Library, and Google Scholar by using different search terms on the prevalence of health-related quality of life of cancer patients and Ethiopia. Joanna Briggs Institute Meta-Analysis of Statistics Assessment and Review Instrument was used for critical appraisal of studies. The analysis was done using STATA 14 software. The Cochran Q test and I2 test statistics were used to test the heterogeneity of studies. The funnel plot and Egger's test were used to show the publication bias. The pooled prevalence of health-related quality of life of cancer with a 95% confidence interval was presented using forest plots.

RESULTS

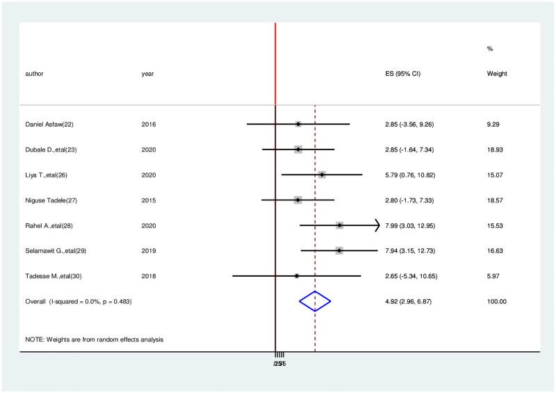
A total of 12 studies with 3, 479 participants were included in this review and the overall pooled estimates mean score of health-related quality of life among cancer patients in Ethiopia was 57.91(44.55, 71.27, I2 = 98.8%, p≤0.001). Average monthly income (AOR:3.70;95%CI:1.31,6.10), Stage of cancer (AOR:4.92;95% CI:2.96,6.87), Physical functioning(AOR:4.11;95%CI:1.53,6.69), Social functioning(AOR:3.91;95% CI:1.68,6.14) were significantly associated with quality of life. Subgroup meta-analysis of health-related quality of life of cancer patients in Ethiopia done by region showed that a higher in Addis Ababa 83.64(78.69, 88.60), and lower in SNNP region16.22 (11.73, 20.71), and subgroup analysis done based on the type of cancer showed that higher prevalence of health-related quality of life among cancer patients was breast cancer 83.64(78.69, 88.60).

CONCLUSION

This review showed that the overall health related quality of life was above an average. Furthermore, average monthly income, cancer stage, physical, and social functioning were all significant determinants in cancer patients' QOL.as a result, this review suggests that quality of life evaluation be incorporated into a patient's treatment routine, with a focus on linked components and domains, as it is a critical tool for avoiding and combating the effects of cancer and considerably improving overall health. In general, more research is needed to discover crucial determining elements utilizing more robust study designs.

摘要

简介

癌症是世界上每个地区发病率和死亡率的主要原因,无论人类发展水平如何。癌症患者表现出多种症状和体征。被诊断患有癌症会产生多种后果,这些后果可能会影响一个人的生活质量。“健康相关生活质量”是指一个多维概念,包括一个人的整体健康。了解埃塞俄比亚癌症患者生活质量较差的患病率数据至关重要,因为这有助于关注早期检测并增强癌症治疗策略。然而,埃塞俄比亚缺乏相关信息。因此,本研究旨在确定埃塞俄比亚癌症患者生活质量的总体估计患病率。

材料和方法

本系统评价和荟萃分析通过 MEDLINE、Pub Med、Cochrane 图书馆和 Google Scholar 进行了搜索,使用了不同的搜索词来搜索癌症患者健康相关生活质量的患病率和埃塞俄比亚。使用 Joanna Briggs 研究所的荟萃分析统计评估和审查工具对研究进行批判性评估。使用 STATA 14 软件进行分析。使用 Cochran Q 检验和 I2 检验统计量来检验研究的异质性。使用漏斗图和 Egger 检验来显示发表偏倚。使用森林图呈现埃塞俄比亚癌症患者健康相关生活质量的总体患病率及其 95%置信区间。

结果

本综述共纳入了 12 项研究,共 3479 名参与者,结果显示,埃塞俄比亚癌症患者健康相关生活质量的总体平均评分得分为 57.91(44.55,71.27,I2=98.8%,p≤0.001)。平均月收入(AOR:3.70;95%CI:1.31,6.10)、癌症分期(AOR:4.92;95%CI:2.96,6.87)、身体功能(AOR:4.11;95%CI:1.53,6.69)、社会功能(AOR:3.91;95%CI:1.68,6.14)与生活质量显著相关。对埃塞俄比亚癌症患者健康相关生活质量的亚组荟萃分析按地区进行,结果显示,亚组荟萃分析结果显示,在亚的斯亚贝巴的评分较高,为 83.64(78.69,88.60),在 SNNP 地区的评分较低,为 16.22(11.73,20.71)。基于癌症类型的亚组分析显示,乳腺癌患者的健康相关生活质量患病率较高,为 83.64(78.69,88.60)。

结论

本综述表明,整体健康相关生活质量高于平均水平。此外,平均月收入、癌症分期、身体和社会功能都是癌症患者生活质量的重要决定因素。因此,本综述建议将生活质量评估纳入患者的治疗常规中,重点关注相关的组成部分和领域,因为这是避免和对抗癌症影响并显著改善整体健康的重要工具。一般来说,需要更多的研究来利用更强大的研究设计来发现关键的决定因素。

https://cdn.ncbi.nlm.nih.gov/pmc/blobs/fc94/9714884/d2d884c6e560/pone.0277839.g009.jpg
https://cdn.ncbi.nlm.nih.gov/pmc/blobs/fc94/9714884/ca01d589b356/pone.0277839.g001.jpg
https://cdn.ncbi.nlm.nih.gov/pmc/blobs/fc94/9714884/3772a2361b6b/pone.0277839.g002.jpg
https://cdn.ncbi.nlm.nih.gov/pmc/blobs/fc94/9714884/233ccf21eaf7/pone.0277839.g003.jpg
https://cdn.ncbi.nlm.nih.gov/pmc/blobs/fc94/9714884/843dc2e642b6/pone.0277839.g004.jpg
https://cdn.ncbi.nlm.nih.gov/pmc/blobs/fc94/9714884/ff81eee5328c/pone.0277839.g005.jpg
https://cdn.ncbi.nlm.nih.gov/pmc/blobs/fc94/9714884/5976e7a84e0b/pone.0277839.g006.jpg
https://cdn.ncbi.nlm.nih.gov/pmc/blobs/fc94/9714884/cb99fd6a2e2e/pone.0277839.g007.jpg
https://cdn.ncbi.nlm.nih.gov/pmc/blobs/fc94/9714884/bf02f2778c8a/pone.0277839.g008.jpg
https://cdn.ncbi.nlm.nih.gov/pmc/blobs/fc94/9714884/d2d884c6e560/pone.0277839.g009.jpg
https://cdn.ncbi.nlm.nih.gov/pmc/blobs/fc94/9714884/ca01d589b356/pone.0277839.g001.jpg
https://cdn.ncbi.nlm.nih.gov/pmc/blobs/fc94/9714884/3772a2361b6b/pone.0277839.g002.jpg
https://cdn.ncbi.nlm.nih.gov/pmc/blobs/fc94/9714884/233ccf21eaf7/pone.0277839.g003.jpg
https://cdn.ncbi.nlm.nih.gov/pmc/blobs/fc94/9714884/843dc2e642b6/pone.0277839.g004.jpg
https://cdn.ncbi.nlm.nih.gov/pmc/blobs/fc94/9714884/ff81eee5328c/pone.0277839.g005.jpg
https://cdn.ncbi.nlm.nih.gov/pmc/blobs/fc94/9714884/5976e7a84e0b/pone.0277839.g006.jpg
https://cdn.ncbi.nlm.nih.gov/pmc/blobs/fc94/9714884/cb99fd6a2e2e/pone.0277839.g007.jpg
https://cdn.ncbi.nlm.nih.gov/pmc/blobs/fc94/9714884/bf02f2778c8a/pone.0277839.g008.jpg
https://cdn.ncbi.nlm.nih.gov/pmc/blobs/fc94/9714884/d2d884c6e560/pone.0277839.g009.jpg

相似文献

1
Health-related quality of life and associated factors among cancer patients in Ethiopia: Systematic review and meta-analysis.健康相关生活质量及其相关因素在埃塞俄比亚癌症患者中的研究:系统评价与荟萃分析。
PLoS One. 2022 Dec 1;17(12):e0277839. doi: 10.1371/journal.pone.0277839. eCollection 2022.
2
A systemic review and meta-analysis on the prevalence and associated factors of hypertension among adult clients in Ethiopia.一项关于埃塞俄比亚成年患者中高血压患病率及相关因素的系统评价和荟萃分析。
Afr Health Sci. 2023 Dec;23(4):296-314. doi: 10.4314/ahs.v23i4.32.
3
Folic acid supplementation and malaria susceptibility and severity among people taking antifolate antimalarial drugs in endemic areas.在流行地区,服用抗叶酸抗疟药物的人群中,叶酸补充剂与疟疾易感性和严重程度的关系。
Cochrane Database Syst Rev. 2022 Feb 1;2(2022):CD014217. doi: 10.1002/14651858.CD014217.
4
Breast self-examination practice and associated factors among female healthcare workers in Ethiopia: A systematic review and meta-analysis.埃塞俄比亚女医护人员的乳房自我检查实践及其相关因素:系统评价和荟萃分析。
PLoS One. 2020 Nov 10;15(11):e0241961. doi: 10.1371/journal.pone.0241961. eCollection 2020.
5
The prevalence of vancomycin-resistant Staphylococcus aureus in Ethiopia: a systematic review and meta-analysis.万古霉素耐药金黄色葡萄球菌在埃塞俄比亚的流行情况:一项系统评价和荟萃分析。
Antimicrob Resist Infect Control. 2023 Aug 30;12(1):86. doi: 10.1186/s13756-023-01291-3.
6
Quality of life and associated factors among people with epilepsy in Ethiopia: a systematic review and meta-analysis.埃塞俄比亚癫痫患者的生活质量及其相关因素:系统评价和荟萃分析。
BMC Public Health. 2024 Jun 7;24(1):1529. doi: 10.1186/s12889-024-19018-3.
7
Prevalence of central obesity and associated factors in Ethiopia: A systematic review and meta-analysis.埃塞俄比亚中心性肥胖的流行情况及相关因素:系统评价和荟萃分析。
Front Endocrinol (Lausanne). 2022 Aug 30;13:983180. doi: 10.3389/fendo.2022.983180. eCollection 2022.
8
The prevalence of respectful maternity care during childbirth and its determinants in Ethiopia: A systematic review and meta-analysis.尊重产妇护理在埃塞俄比亚分娩中的流行情况及其决定因素:系统评价和荟萃分析。
PLoS One. 2022 Nov 23;17(11):e0277889. doi: 10.1371/journal.pone.0277889. eCollection 2022.
9
Prevalence and associated factors of sexual violence experienced by housemaids in Ethiopia: a systematic review and meta-analysis.埃塞俄比亚家政服务员遭受性暴力的流行情况及相关因素:系统评价和荟萃分析。
Reprod Health. 2022 Jul 19;19(1):162. doi: 10.1186/s12978-022-01470-2.
10
Advanced-stage breast cancer diagnosis and its determinants in Ethiopia: a systematic review and meta-analysis.埃塞俄比亚晚期乳腺癌诊断及其决定因素:系统评价和荟萃分析。
BMC Womens Health. 2024 May 11;24(1):284. doi: 10.1186/s12905-024-03133-9.

引用本文的文献

1
Protocol for an umbrella review of systematic reviews evaluating the efficacy of digital health solutions in supporting adult cancer survivorship care.评估数字健康解决方案在支持成人癌症幸存者护理方面疗效的系统评价的伞形综述方案。
PLoS One. 2025 May 27;20(5):e0322100. doi: 10.1371/journal.pone.0322100. eCollection 2025.
2
An umbrella review of socioeconomic status and cancer.社会经济地位与癌症的伞式综述
Nat Commun. 2024 Nov 18;15(1):9993. doi: 10.1038/s41467-024-54444-2.
3
Health-related quality of life among patients with esophageal, gastric, and colorectal cancer at Kenyatta National Hospital.

本文引用的文献

1
Quality of life among patients with cancer and their family caregivers in the Sub-Saharan region: A systematic review of quantitative studies.撒哈拉以南地区癌症患者及其家庭护理人员的生活质量:定量研究的系统评价
PLOS Glob Public Health. 2022 Mar 31;2(3):e0000098. doi: 10.1371/journal.pgph.0000098. eCollection 2022.
2
Health-related quality of life in patients with colorectal cancer in the palliative phase: a systematic review and meta-analysis.晚期结直肠癌患者的健康相关生活质量:系统评价和荟萃分析。
BMC Palliat Care. 2021 Sep 16;20(1):144. doi: 10.1186/s12904-021-00837-9.
3
Health-Related Quality of Life among Cancer Survivors Depending on the Occupational Status.
肯尼亚国家医院食管、胃和结直肠癌患者的健康相关生活质量。
Cancer Rep (Hoboken). 2024 Mar;7(3):e2038. doi: 10.1002/cnr2.2038.
4
The EORTC QLU-C10D is a valid cancer-specific preference-based measure for cost-utility and health technology assessment in the Netherlands.EORTC QLU-C10D 是一种在荷兰具有成本效用和卫生技术评估有效性的癌症特异性偏好测量工具。
Eur J Health Econ. 2024 Dec;25(9):1539-1555. doi: 10.1007/s10198-024-01670-6. Epub 2024 Mar 14.
5
Quality of life and associated factors among patients with cancer receiving chemotherapy at Dessie Comprehensive Specialized Hospital, North-East Ethiopia: a cross-sectional study.埃塞俄比亚东北部德西综合专科医院接受化疗的癌症患者的生活质量及其相关因素:一项横断面研究。
Front Oncol. 2024 Jan 8;13:1288166. doi: 10.3389/fonc.2023.1288166. eCollection 2023.
6
Assessing health-related quality of life among cancer survivors during systemic and radiation therapy in Bangladesh: a cancer-specific exploration.评估孟加拉国癌症幸存者在全身治疗和放射治疗期间的健康相关生活质量:癌症特异性探索。
BMC Cancer. 2023 Dec 7;23(1):1208. doi: 10.1186/s12885-023-11670-z.
7
Quality of life among people living with mental illness and predictors in Africa: a systematic review and meta-analysis.非洲精神疾病患者的生活质量及其预测因素:一项系统评价与荟萃分析
Qual Life Res. 2024 May;33(5):1191-1209. doi: 10.1007/s11136-023-03525-8. Epub 2023 Oct 31.
癌症幸存者的健康相关生活质量取决于其职业状况。
Int J Environ Res Public Health. 2021 Apr 6;18(7):3803. doi: 10.3390/ijerph18073803.
4
Factors Associated With Health-Related Quality of Life Among Cancer Survivors in the United States.美国癌症生存者健康相关生活质量的影响因素
JNCI Cancer Spectr. 2021 Jan 23;5(1). doi: 10.1093/jncics/pkaa123. eCollection 2021 Feb.
5
Health-Related Quality of Life Among Persons Living with HIV/AIDS in Jordan: An Exploratory Study.约旦艾滋病毒/艾滋病感染者的健康相关生活质量:一项探索性研究。
HIV AIDS (Auckl). 2020 Dec 11;12:897-907. doi: 10.2147/HIV.S277941. eCollection 2020.
6
Quality of Life and Associated Factors Among Family Caregivers of Adult Cancer Patients in Addis Ababa, Ethiopia.埃塞俄比亚亚的斯亚贝巴成年癌症患者家庭照顾者的生活质量及相关因素
Cancer Manag Res. 2020 Oct 13;12:10047-10054. doi: 10.2147/CMAR.S266416. eCollection 2020.
7
High burden of depression among cancer patients on chemotherapy in University of Gondar comprehensive hospital and Felege Hiwot referral hospital, Northwest Ethiopia.在埃塞俄比亚西北部的贡德尔大学综合医院和 Felege Hiwot 转诊医院,接受化疗的癌症患者中,抑郁症负担沉重。
PLoS One. 2020 Aug 21;15(8):e0237837. doi: 10.1371/journal.pone.0237837. eCollection 2020.
8
Quality of Life Among Breast Cancer Patients Attending Hawassa University Comprehensive Specialized Hospital Cancer Treatment Center.在哈瓦萨大学综合专科医院癌症治疗中心接受治疗的乳腺癌患者的生活质量
Breast Cancer (Dove Med Press). 2020 Jun 30;12:87-95. doi: 10.2147/BCTT.S252030. eCollection 2020.
9
Health-related quality of life and associated factors among cervical cancer patients at Tikur Anbessa specialized hospital, Addis Ababa, Ethiopia.埃塞俄比亚亚的斯亚贝巴提克里安巴萨专科医院宫颈癌患者的健康相关生活质量及其相关因素。
Health Qual Life Outcomes. 2020 Mar 16;18(1):72. doi: 10.1186/s12955-020-01319-x.
10
Social networks and quality of life among female breast cancer patients at Tikur Anbessa specialized hospital, Addis Ababa, Ethiopia 2019.2019 年,埃塞俄比亚亚的斯亚贝巴提克里安巴萨专科医院女性乳腺癌患者的社会网络与生活质量
BMC Womens Health. 2020 Mar 11;20(1):50. doi: 10.1186/s12905-020-00908-8.