Suppr超能文献

Features of the Carrier Concentration Determination during Irradiation of Wide-Gap Semiconductors: The Case Study of Silicon Carbide.

作者信息

Lebedev Alexander A, Kozlovski Vitali V, Davydovskaya Klavdia S, Kuzmin Roman A, Levinshtein Mikhail E, Strel'chuk Anatolii M

机构信息

Ioffe Institute, Politekhnicheskaya Street 26, St. Petersburg 194021, Russia.

Department of Experimental Physics, St. Petersburg State Polytechnic University, Polytekhnicheskaya 29, St. Petersburg 195251, Russia.

出版信息

Materials (Basel). 2022 Dec 3;15(23):8637. doi: 10.3390/ma15238637.

Abstract

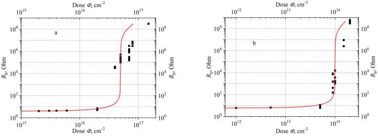
In this paper, the features of radiation compensation of wide-gap semiconductors are discussed, considering the case study of silicon carbide. Two classical methods of concentration determination are compared and analyzed: capacitance-voltage (-) and current-voltage () characteristics. The dependence of the base resistance in high-voltage 4H-SiC Schottky diodes on the dose of irradiation by electrons and protons is experimentally traced in the range of eight orders of magnitude. It is demonstrated that the dependence of the carrier concentration on the irradiation dose can be determined unambiguously and reliably in a very wide range of compensation levels, based on the results of measuring the characteristics. It is shown that the determination of the carrier removal rate using the characteristics is more correct than using the characteristics, especially in the case of high radiation doses.

摘要
https://cdn.ncbi.nlm.nih.gov/pmc/blobs/97bc/9739460/99bc75942104/materials-15-08637-g001.jpg

文献AI研究员

20分钟写一篇综述,助力文献阅读效率提升50倍。

立即体验

用中文搜PubMed

大模型驱动的PubMed中文搜索引擎

马上搜索

文档翻译

学术文献翻译模型,支持多种主流文档格式。

立即体验