Department of Psychology and Neuroscience, Dalhousie University, Halifax, NS B3H 4R2, Canada.
School of Psychology, University of Sussex, Falmer, Brighton BN1 9QH, UK.
Int J Environ Res Public Health. 2022 Dec 18;19(24):17021. doi: 10.3390/ijerph192417021.
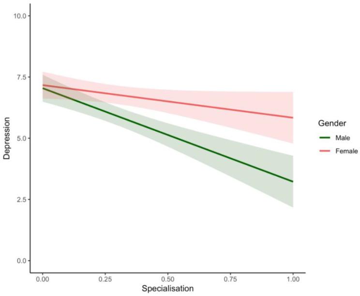
While the COVID-19 pandemic has impacted the way parents partition tasks between one another, it is not clear how these division of labour arrangements affect well-being. Pre-pandemic research offers two hypotheses: economic theory argues optimal outcomes result from partners specialising in different tasks, whereas psychological theory argues for a more equitable division of labour. The question of which approach optimizes well-being is more pressing in recent times, with COVID-19 school closures leaving many couples with the burden of homeschooling. It is unknown whether specialisation or equity confer more benefits for mandated homeschoolers, relative to non-homeschoolers or voluntary homeschoolers. Couples ( = 962) with children in grades 1-5 completed measures of workload division and parental well-being. A linear mixed modelling in the total sample revealed that specialisation, but not equity, promoted increased parental emotional and relationship well-being. These relations were moderated by schooling status: voluntary homeschoolers' well-being benefitted from specialisation, whereas mandated homeschoolers' well-being did not benefit from either strategy; non-homeschoolers well-being benefitted from both strategies. Across the mixed-gender couples, mothers' and fathers' well-being both benefitted from specialisation; equity was only beneficial for mothers' well-being. Overall, couples might be advised to adopt highly equitable and specialised arrangements to promote both parents' well-being.
虽然 COVID-19 大流行改变了父母之间分工的方式,但目前尚不清楚这些劳动分工安排如何影响幸福感。疫情前的研究提出了两种假设:经济理论认为,最优结果源于合作伙伴专门从事不同的任务,而心理理论则认为劳动分工应该更加公平。在最近,由于 COVID-19 学校关闭,许多夫妇承担了在家教育孩子的负担,哪种方法能使幸福感最大化的问题变得更加紧迫。目前还不清楚专业化或公平性对义务教育的家庭,相对于非义务教育或自愿义务教育的家庭有更多的好处。有 1-5 年级孩子的夫妇(=962 对)完成了工作量分配和父母幸福感的测量。在总样本中进行的线性混合模型显示,专业化而不是公平性促进了父母的情感和关系幸福感的提高。这些关系受到教育状况的调节:自愿接受家庭教育的家庭幸福感受益于专业化,而义务教育的家庭幸福感则不受任何策略的影响;非义务教育的家庭幸福感则受益于这两种策略。在混合性别夫妇中,母亲和父亲的幸福感都受益于专业化;公平性仅对母亲的幸福感有益。总体而言,可能建议夫妇采用高度公平和专业化的安排,以促进父母双方的幸福感。