Suppr超能文献

MbICE1 通过上调抗氧化能力和抗应激基因赋予. 耐旱和耐寒性。

MbICE1 Confers Drought and Cold Tolerance through Up-Regulating Antioxidant Capacity and Stress-Resistant Genes in .

机构信息

Institute of Rural Revitalization Science and Technology, Heilongjiang Academy of Agricultural Sciences, Harbin 150028, China.

Northeast Institute of Geography and Agroecology, Chinese Academy of Sciences, Harbin 150081, China.

出版信息

Int J Mol Sci. 2022 Dec 16;23(24):16072. doi: 10.3390/ijms232416072.

Abstract

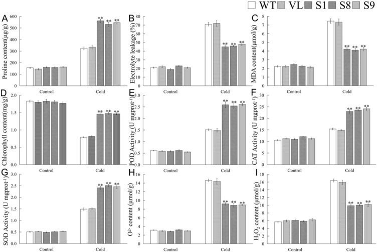
(L.) Borkh is an apple rootstock with good drought and cold resistance. The ICE gene is a key factor in the molecular mechanisms of plant drought and cold resistance. In the present research, the function of drought- and cold-induced of was investigated in . According to GFP fluorescence images, MbICE1 was determined to be a nuclear protein. The was transferred to , showing enhanced tolerance to drought and cold stresses. Under drought and cold treatments, the transgenic had higher chlorophyll content and free proline content than WT plants, but the Malondialdehyde (MDA) content and electrolyte leakage (EL) were lower than those of WT plants. In addition, drought and cold led to a large accumulation of ROS (HO and O) content in , while overexpression of enhanced the antioxidant enzyme activity in and improved the plant's resistance to stresses. Moreover, the accumulation of promoted the expression of , , , , and genes in . These data indicate that is a key regulator of drought and cold and can be used as a backup gene for breeding rootstocks.

摘要

(L.)博克是一种具有良好抗旱和抗寒能力的苹果砧木。ICE 基因是植物抗旱和抗寒分子机制的关键因素。本研究在拟南芥中研究了干旱和冷诱导的 MbICE1 的功能。根据 GFP 荧光图像,确定 MbICE1 是一种核蛋白。将 MbICE1 转入烟草中,表现出增强的抗旱和抗寒能力。在干旱和寒冷处理下,转基因烟草的叶绿素含量和游离脯氨酸含量高于 WT 植株,但丙二醛(MDA)含量和电解质渗漏(EL)低于 WT 植株。此外,干旱和寒冷导致拟南芥中 ROS(HO 和 O)含量大量积累,而过表达 MbICE1 增强了烟草中抗氧化酶的活性,提高了植物的抗逆性。此外,MbICE1 的积累促进了拟南芥中 、 、 、 、 基因的表达。这些数据表明 MbICE1 是干旱和寒冷的关键调节因子,可作为苹果砧木培育的后备基因。

https://cdn.ncbi.nlm.nih.gov/pmc/blobs/ff67/9783906/cc420bd4c9ad/ijms-23-16072-g001.jpg

文献AI研究员

20分钟写一篇综述,助力文献阅读效率提升50倍。

立即体验

用中文搜PubMed

大模型驱动的PubMed中文搜索引擎

马上搜索

文档翻译

学术文献翻译模型,支持多种主流文档格式。

立即体验