Suppr超能文献

糖尿病患者青光眼的发病率和病情进展:加那利群岛使用拉古纳ONhE应用程序的研究

Glaucoma Incidence and Progression in Diabetics: The Canary Islands Study Using the Laguna ONhE Application.

作者信息

Gonzalez-Hernandez Marta, Gonzalez-Hernandez Daniel, Betancor-Caro Nisamar, Guedes-Guedes Isabel, Guldager Morten Kirk, Gonzalez de la Rosa Manuel

机构信息

INSOFT S.L. 25 de Julio, 34, 38004 Santa Cruz de Tenerife, Spain.

Ophthalmology Department, Hospital Universitario de Canarias, Carretera Ofra S/N, 38320 San Cristobal de La Laguna, Spain.

出版信息

J Clin Med. 2022 Dec 8;11(24):7294. doi: 10.3390/jcm11247294.

Abstract

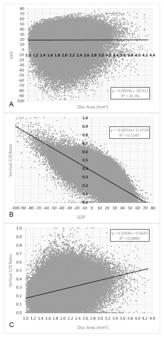
Background: Laguna ONhE provides a globin distribution function (GDF), in which a glaucoma discriminator based on deep learning plays an important role, and there is also an optimized globin individual pointer (GIP) for progression analysis. Methods: Signs of optic nerve glaucoma were identified in 1,124,885 fundus images from 203,115 diabetics obtained over 15 years and 117,813 control images. Results: A total of 743,696 images from 313,040 eyes of 173,661 diabetics were analysed. Some exclusions occurred due to excessive illumination, poor quality, or the absence of optic discs. Suspicion of glaucoma was reported in 6.70%, for an intended specificity of 99% (GDF < −15). More signs of glaucoma occur in diabetics as their years of disease increase, and after age 60, compared to controls. The GIP detected progression (p < 0.01) in 2.59% of cases with 4 controls and in 42.6% with 14 controls was higher in cases with lower GDF values. The GDF was corrected for the disc area and proved to be independent of it (r = 0.001925; p = 0.2814). Conclusions: The GDF index suggests a higher and increasing glaucoma probability in diabetics over time. Doubling the number of check-ups from four to eight increases the ability to detect GIP index progression by a factor of 5.

摘要

背景

Laguna ONhE提供了一种血红蛋白分布函数(GDF),其中基于深度学习的青光眼鉴别器发挥着重要作用,并且还有一个用于进展分析的优化血红蛋白个体指标(GIP)。方法:在15年期间获取的来自203,115名糖尿病患者的1,124,885张眼底图像以及117,813张对照图像中识别出视神经青光眼的体征。结果:对来自173,661名糖尿病患者的313,040只眼睛的总共743,696张图像进行了分析。由于光照过度、质量不佳或视盘缺失而进行了一些排除。报告的青光眼疑似率为6.70%,预期特异性为99%(GDF < -15)。与对照组相比,糖尿病患者随着患病年限增加以及60岁以后,出现更多青光眼体征。GIP在4名对照的情况下检测到2.59%的病例有进展(p < 0.01),在14名对照的情况下检测到42.6%的病例有进展,GDF值较低的病例进展率更高。对GDF进行了视盘面积校正,结果证明其与视盘面积无关(r = 0.001925;p = 0.2814)。结论:GDF指数表明糖尿病患者青光眼的概率随时间推移更高且不断增加。将检查次数从四次增加到八次可使检测GIP指数进展的能力提高5倍。

https://cdn.ncbi.nlm.nih.gov/pmc/blobs/4d31/9786827/7b92693322de/jcm-11-07294-g001.jpg

文献AI研究员

20分钟写一篇综述,助力文献阅读效率提升50倍。

立即体验

用中文搜PubMed

大模型驱动的PubMed中文搜索引擎

马上搜索

文档翻译

学术文献翻译模型,支持多种主流文档格式。

立即体验