Wanduku Divine
Department of Mathematical Sciences, Georgia Southern University, 65 Georgia Ave, Room 3309, Statesboro, GA, 30460, USA.
Heliyon. 2022 Dec 22;8(12):e12622. doi: 10.1016/j.heliyon.2022.e12622. eCollection 2022 Dec.
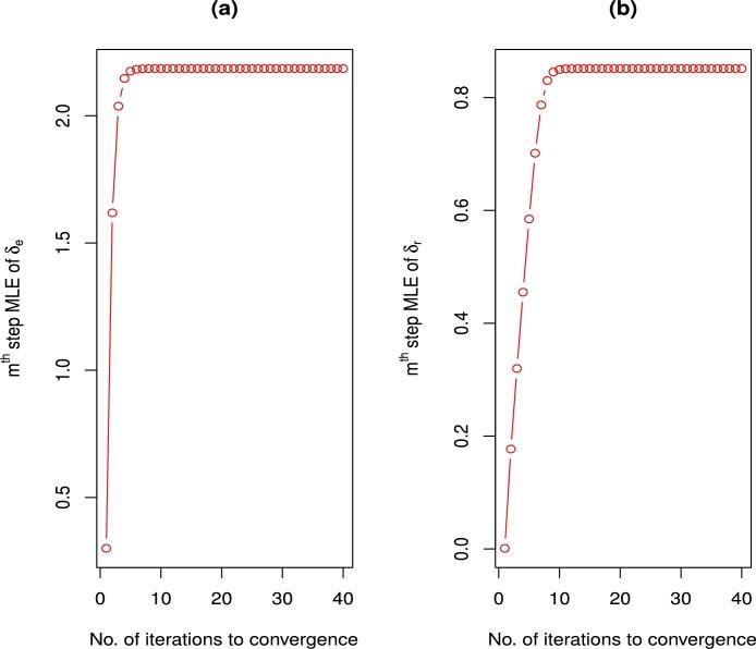
The theory of multilevel hierarchical data Expectation Maximization (EM)-algorithm is introduced via discrete time Markov chain (DTMC) epidemic models. A general model for a multilevel hierarchical discrete data is derived. The observed sample in the system is a stochastic incomplete data, and the missing data exhibits a multilevel hierarchical data structure. The EM-algorithm to find ML-estimates for parameters in the stochastic system is derived. Applications of the EM-algorithm are exhibited in the two DTMC models, to find ML-estimates of the system parameters. Numerical results are given for influenza epidemics in the state of Georgia (GA), USA.
通过离散时间马尔可夫链(DTMC)流行病模型引入了多级分层数据期望最大化(EM)算法理论。推导了一个用于多级分层离散数据的通用模型。系统中的观测样本是随机不完全数据,而缺失数据呈现出多级分层数据结构。推导了用于在随机系统中寻找参数最大似然估计(ML估计)的EM算法。在两个DTMC模型中展示了EM算法的应用,以找到系统参数的ML估计。给出了美国佐治亚州(GA)流感疫情的数值结果。