Suppr超能文献

非重症非住院 COVID-19 患者中皮质类固醇的使用时机:开放标签、两中心、随机对照研究(TICS-COV19 研究)。

Timing of corticosteroids in non-severe non-hospitalized COVID-19 patients: open-label, two-center, randomized controlled study (TICS-COV19 study).

机构信息

Department of Internal Medicine, Allergy and Clinical Immunology, Faculty of Medicine, Ain Shams University, Cairo, Egypt.

Department of Internal Medicine, Asalam Center, Cairo, Egypt.

出版信息

Korean J Intern Med. 2023 Mar;38(2):207-217. doi: 10.3904/kjim.2022.232. Epub 2023 Jan 17.

Abstract

BACKGROUND/AIMS: Corticosteroids (CSs) are frequently used in coronavirus disease 2019 (COVID-19); however, their utility remains controversial in mild to moderate cases. The timing of CSs initiation during the disease course remains unaddressed. The study aims to evaluate the impact of early CSs in non-severe COVID-19.

METHODS

A randomized controlled, open-label study was conducted on 754 COVID-19 patients randomized into a study group (n = 377) in which patients received CSs with COVID-19 protocol and a control group (n = 377) in which patients received COVID-19 protocol only.

RESULTS

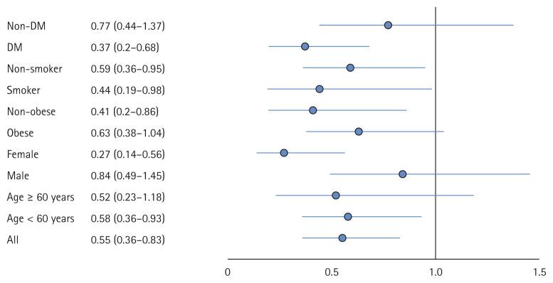
Both groups were comparable regarding baseline characteristics, presenting symptoms, and inflammatory markers. The composite endpoint (need for O2, need for hospitalization or 28-day mortality) was significantly (p = 0.004) lower in the CS group 42 (11.14%) versus the control group 70 (18.67%) with odds ratio 0.55 (95% confidence interval [CI], 0.36 to 0.83), absolute risk reduction 7.53% (95% CI, 2.46% to 12.59%) and number needed to treat of 13.29 (95% CI, 7.94 to 40.61). Regarding severity at day 10, only (11.1%) of the study group patients were severe versus (18.7%) of the control group patients (p < 0.001). The median time-to-return to daily activity in the CS group was 8.0 days, while in the control group, it was 22.0 days (p < 0.001).

CONCLUSION

In non-severe COVID-19, CS may decrease hospitalization, severity, and mortality.

摘要

背景/目的:皮质类固醇(CSs)在 2019 年冠状病毒病(COVID-19)中经常使用;然而,它们在轻度至中度病例中的效用仍存在争议。在疾病过程中开始使用 CSs 的时间仍未得到解决。本研究旨在评估非重症 COVID-19 患者早期使用 CSs 的效果。

方法

对 754 名 COVID-19 患者进行了一项随机对照、开放标签研究,将患者随机分为研究组(n=377),患者接受 COVID-19 方案和 CSs;对照组(n=377),患者仅接受 COVID-19 方案。

结果

两组在基线特征、临床表现和炎症标志物方面无差异。复合终点(需要氧气、需要住院或 28 天死亡率)在 CS 组(42 例,11.14%)明显低于对照组(70 例,18.67%),优势比为 0.55(95%置信区间 [CI],0.36 至 0.83),绝对风险降低 7.53%(95% CI,2.46%至 12.59%),治疗需要数为 13.29(95% CI,7.94 至 40.61)。第 10 天的严重程度方面,研究组仅 11.1%的患者为重症,而对照组为 18.7%(p<0.001)。CS 组恢复日常活动的中位时间为 8.0 天,而对照组为 22.0 天(p<0.001)。

结论

在非重症 COVID-19 中,CS 可能降低住院率、严重程度和死亡率。

https://cdn.ncbi.nlm.nih.gov/pmc/blobs/a2cf/9993104/b28e6b68dee7/kjim-2022-232f1.jpg

相似文献

5
Systemic corticosteroids for the treatment of COVID-19.
Cochrane Database Syst Rev. 2021 Aug 16;8(8):CD014963. doi: 10.1002/14651858.CD014963.

引用本文的文献

2
Prevalence and Outcomes of Candida auris Infections in a Tertiary Hospital in the United Arab Emirates (UAE).
Cureus. 2024 Sep 23;16(9):e69988. doi: 10.7759/cureus.69988. eCollection 2024 Sep.
3
The Efficacy of Oral/Intravenous Corticosteroid Use in COVID-19 Patients: A Systematic Review.
J Exp Pharmacol. 2024 Oct 1;16:321-337. doi: 10.2147/JEP.S484596. eCollection 2024.
4
Corticosteroids for non-severe COVID-19 infections? Too early to conclude.
Korean J Intern Med. 2023 Mar;38(2):144-146. doi: 10.3904/kjim.2023.046. Epub 2023 Feb 27.

本文引用的文献

3
Sex steroids and COVID-19 mortality in women.
Trends Endocrinol Metab. 2021 Aug;32(8):533-536. doi: 10.1016/j.tem.2021.04.006. Epub 2021 Apr 19.
7
8
High-dose methylprednisolone in nonintubated patients with severe COVID-19 pneumonia.
Eur J Clin Invest. 2021 Feb;51(2):e13458. doi: 10.1111/eci.13458. Epub 2020 Dec 1.

文献AI研究员

20分钟写一篇综述,助力文献阅读效率提升50倍。

立即体验

用中文搜PubMed

大模型驱动的PubMed中文搜索引擎

马上搜索

文档翻译

学术文献翻译模型,支持多种主流文档格式。

立即体验