Suppr超能文献

咽上研磨疗法对与慢性咽炎相关的肌痛性脑脊髓炎/慢性疲劳综合征的自主神经系统调节作用

Autonomic Nervous System Regulation Effects of Epipharyngeal Abrasive Therapy for Myalgic Encephalomyelitis/Chronic Fatigue Syndrome Associated With Chronic Epipharyngitis.

作者信息

Hirobumi Ito

机构信息

Otolaryngology, Ito ENT Clinic, Funabashi, JPN.

出版信息

Cureus. 2023 Jan 14;15(1):e33777. doi: 10.7759/cureus.33777. eCollection 2023 Jan.

Abstract

OBJECTIVE

To evaluate the autonomic nerve stimulation effect of epipharyngeal abrasive therapy (EAT) on myalgic encephalomyelitis/chronic fatigue syndrome (CFS) associated with chronic epipharyngitis. Heart rate variability analysis was performed. The study was conducted by analyzing heart rate variability.

SUBJECTS AND METHODS

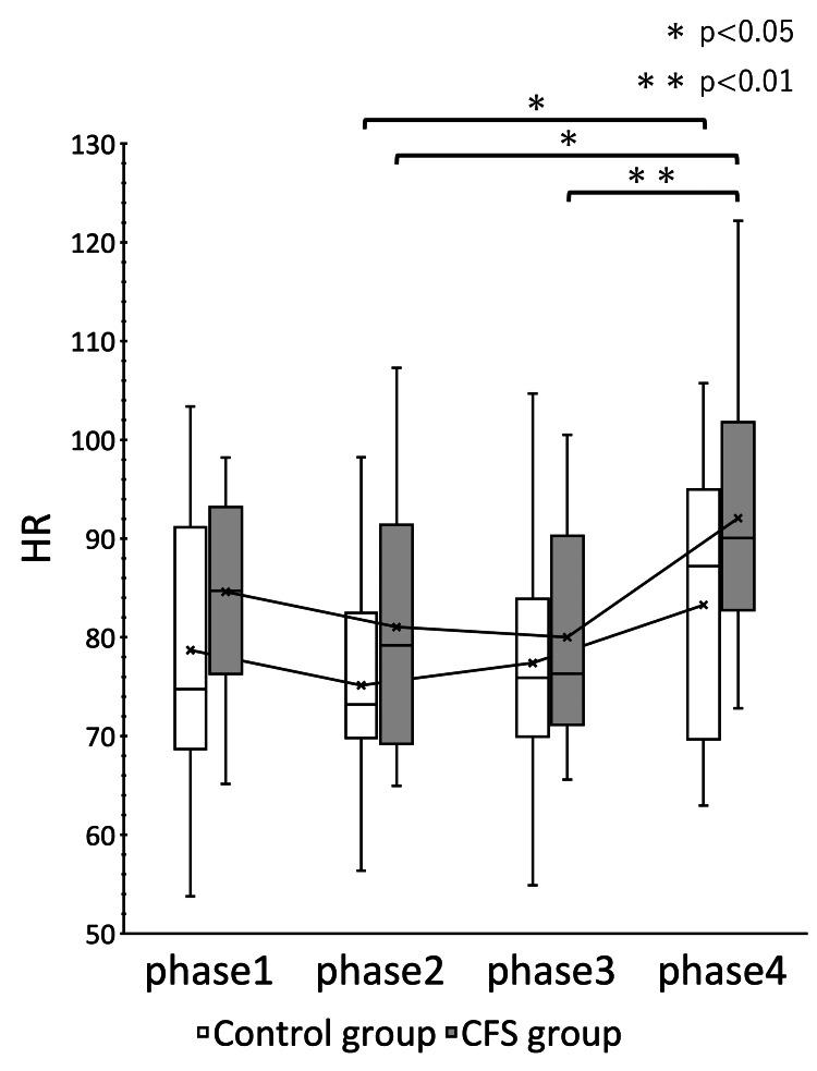
A total of 29 patients with chronic epipharyngitis who underwent EAT from July 2017 to April 2018 were classified into two groups: 11 patients in the CFS group and 18 patients in the control group without CFS. The patients were classified as phase 1 during bed rest, phase 2 during nasal endoscopy, phase 3 during nasal abrasion, and phase 4 during oral abrasion. Electrocardiographic recordings were made, and autonomic function was compared and evaluated by measuring heart rate, coefficient of variation on R-R interval (CVRR), coefficient of component variance high frequency (ccvHF), and low frequency/ccvHF ratio (L/H) for each of the four phases. The Shapiro-Wilk test was performed to confirm the normality of the two groups, and the parametric test was selected. A repeated measures analysis of variance was performed to assess changes over time between the four events in the two groups. Multiple comparisons were corrected by the Bonferroni method. Comparisons between resting data and three events within each group were performed by paired t-test.

RESULTS

The CFS group had an increased baseline heart rate compared to the control group, and the CFS group had a greater increase in parasympathetic activity and a decrease in heart rate with nasal abrasion. Oral abrasion elicited a pharyngeal reflex and increased heart rate and both sympathetic and parasympathetic activity.

CONCLUSION

The CFS group was in a state of dysautonomia due to autonomic overstimulation, with an elevated baseline heart rate. The CFS group was considered to be in a state of impaired autonomic homeostasis, with an increased likelihood that overstimulation would induce a pathological vagal reflex and the Reilly phenomenon would develop. The direct effects of EAT on the autonomic nervous system were considered to be vagus nerve stimulation and the regulation of autonomic function by opposing stimulation input to sympathetic and parasympathetic nerves. As an indirect effect, bleeding from the epipharyngeal mucosa due to abrasion was thought to restore the function of the cerebral venous and lymphatic excretory systems and the autonomic nerve center.

摘要

目的

评估咽上磨蚀疗法(EAT)对与慢性咽炎相关的肌痛性脑脊髓炎/慢性疲劳综合征(CFS)的自主神经刺激效果。进行心率变异性分析。该研究通过分析心率变异性来开展。

对象与方法

选取2017年7月至2018年4月期间接受EAT治疗的29例慢性咽炎患者,分为两组:CFS组11例,无CFS的对照组18例。患者在卧床休息时为1期,鼻内镜检查时为2期,鼻磨蚀时为3期,口磨蚀时为4期。进行心电图记录,并通过测量四个阶段中每个阶段的心率、R-R间期变异系数(CVRR)、高频成分变异系数(ccvHF)以及低频/ccvHF比值(L/H)来比较和评估自主神经功能。采用夏皮罗-威尔克检验确认两组数据的正态性,并选择参数检验。进行重复测量方差分析以评估两组中四个事件随时间的变化。多重比较采用邦费罗尼方法进行校正。每组内静息数据与三个事件之间的比较采用配对t检验。

结果

与对照组相比,CFS组的基线心率升高,且CFS组在鼻磨蚀时副交感神经活动增加幅度更大,心率下降。口磨蚀引发咽反射,心率增加,交感神经和副交感神经活动均增强。

结论

CFS组由于自主神经过度刺激而处于自主神经功能障碍状态,基线心率升高。CFS组被认为处于自主神经稳态受损状态,过度刺激诱发病理性迷走反射和Reilly现象的可能性增加。EAT对自主神经系统的直接作用被认为是迷走神经刺激以及通过对抗交感神经和副交感神经的刺激输入来调节自主神经功能。作为间接作用,磨蚀导致的咽黏膜出血被认为可恢复脑静脉和淋巴排泄系统以及自主神经中枢的功能。

https://cdn.ncbi.nlm.nih.gov/pmc/blobs/f37d/9840732/840f6918e41c/cureus-0015-00000033777-i01.jpg

文献AI研究员

20分钟写一篇综述,助力文献阅读效率提升50倍。

立即体验

用中文搜PubMed

大模型驱动的PubMed中文搜索引擎

马上搜索

文档翻译

学术文献翻译模型,支持多种主流文档格式。

立即体验