• 文献检索
  • 文档翻译
  • 深度研究
  • 学术资讯
  • Suppr Zotero 插件Zotero 插件
  • 邀请有礼
  • 套餐&价格
  • 历史记录
应用&插件
Suppr Zotero 插件Zotero 插件浏览器插件Mac 客户端Windows 客户端微信小程序
定价
高级版会员购买积分包购买API积分包
服务
文献检索文档翻译深度研究API 文档MCP 服务
关于我们
关于 Suppr公司介绍联系我们用户协议隐私条款
关注我们

Suppr 超能文献

核心技术专利:CN118964589B侵权必究
粤ICP备2023148730 号-1Suppr @ 2026

文献检索

告别复杂PubMed语法,用中文像聊天一样搜索,搜遍4000万医学文献。AI智能推荐,让科研检索更轻松。

立即免费搜索

文件翻译

保留排版,准确专业,支持PDF/Word/PPT等文件格式,支持 12+语言互译。

免费翻译文档

深度研究

AI帮你快速写综述,25分钟生成高质量综述,智能提取关键信息,辅助科研写作。

立即免费体验

基于双能 CT 的椎体及椎旁肌退变的定量研究:与骨密度的相关性。

Quantitative Study of Vertebral Body and Paravertebral Muscle Degeneration Based on Dual-Energy Computed Tomography: Correlation With Bone Mineral Density.

机构信息

From the Departments of Radiology.

Spinal Surgery, Honghui Hospital Affiliated Xi'an Jiaotong University, Xi'an, China.

出版信息

J Comput Assist Tomogr. 2023;47(1):86-92. doi: 10.1097/RCT.0000000000001388. Epub 2022 Oct 10.

DOI:10.1097/RCT.0000000000001388
PMID:36668981
原文链接:https://pmc.ncbi.nlm.nih.gov/articles/PMC9869939/
Abstract

OBJECTIVES

This study aimed to quantify the degeneration of the vertebral body and paravertebral muscles using dual-energy computed tomography (DECT) and study its relationship with osteoporosis.

METHODS

A total of 130 patients with chronic low back pain were included in this study, and DECT scanning of the lumbar region was undertaken prospectively. By placing a standard quantitative computed tomography corrected phantom under the waist during the DECT procedure, bone mineral density (BMD) and the following quantitative parameters were obtained: calcium density (CaD), vertebral fat fraction (VFF), psoas major area, psoas major fat fraction, erector spinalis area, and erector spinalis fat fraction (ESFF). Independent sample t test and 1-way analysis of variance were used between different age-BMD groups. Pearson test was applied to determine correlations for all measurements, and a mathematical model of BMD was established through regression analysis.

RESULTS

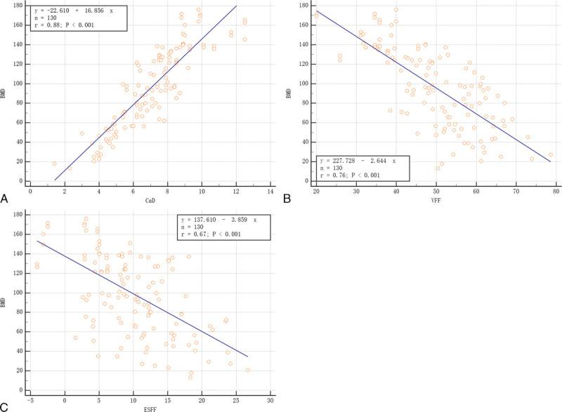
Calcium density, VFF, psoas major area, psoas major fat fraction, erector spinalis area, and ESFF were significantly different among the age-BMD groups (P < 0.05), and BMD was significantly correlated with these parameters (P < 0.05). Calcium density, VFF, and ESFF were included in the BMD regression equation: BMD = 69.062 + 11.637 × CaD - 1.018 × VFF - 0.726 × ESFF (R2 = 0.860, F = 125.979, P < 0.001).

CONCLUSIONS

Degeneration of the vertebral body and paravertebral muscles can be quantitatively analyzed using DECT, and CaD, VFF, and ESFF were independent influencing factors of BMD.

摘要

目的

本研究旨在使用双能 CT(DECT)定量评估椎体和椎旁肌肉的退变,并研究其与骨质疏松症的关系。

方法

本研究共纳入 130 例慢性腰痛患者,前瞻性行腰椎 DECT 扫描。在 DECT 检查过程中,在腰部下方放置标准定量 CT 校正体模,以获得骨密度(BMD)和以下定量参数:钙密度(CaD)、椎体脂肪分数(VFF)、腰大肌面积、腰大肌脂肪分数、竖脊肌面积和竖脊肌脂肪分数(ESFF)。在不同年龄-BMD 组之间使用独立样本 t 检验和单因素方差分析。对所有测量值进行 Pearson 检验以确定相关性,并通过回归分析建立 BMD 的数学模型。

结果

不同年龄-BMD 组之间 CaD、VFF、腰大肌面积、腰大肌脂肪分数、竖脊肌面积和 ESFF 差异均有统计学意义(P < 0.05),且 BMD 与这些参数显著相关(P < 0.05)。CaD、VFF 和 ESFF 被纳入 BMD 回归方程:BMD = 69.062 + 11.637 × CaD - 1.018 × VFF - 0.726 × ESFF(R2 = 0.860,F = 125.979,P < 0.001)。

结论

DECT 可定量分析椎体和椎旁肌肉的退变,CaD、VFF 和 ESFF 是 BMD 的独立影响因素。

https://cdn.ncbi.nlm.nih.gov/pmc/blobs/a537/9869939/e8c78f6c4407/jcat-47-086-g004.jpg
https://cdn.ncbi.nlm.nih.gov/pmc/blobs/a537/9869939/f47618898b62/jcat-47-086-g001.jpg
https://cdn.ncbi.nlm.nih.gov/pmc/blobs/a537/9869939/8279c84f07c6/jcat-47-086-g002.jpg
https://cdn.ncbi.nlm.nih.gov/pmc/blobs/a537/9869939/87551dca180b/jcat-47-086-g003.jpg
https://cdn.ncbi.nlm.nih.gov/pmc/blobs/a537/9869939/e8c78f6c4407/jcat-47-086-g004.jpg
https://cdn.ncbi.nlm.nih.gov/pmc/blobs/a537/9869939/f47618898b62/jcat-47-086-g001.jpg
https://cdn.ncbi.nlm.nih.gov/pmc/blobs/a537/9869939/8279c84f07c6/jcat-47-086-g002.jpg
https://cdn.ncbi.nlm.nih.gov/pmc/blobs/a537/9869939/87551dca180b/jcat-47-086-g003.jpg
https://cdn.ncbi.nlm.nih.gov/pmc/blobs/a537/9869939/e8c78f6c4407/jcat-47-086-g004.jpg

相似文献

1
Quantitative Study of Vertebral Body and Paravertebral Muscle Degeneration Based on Dual-Energy Computed Tomography: Correlation With Bone Mineral Density.基于双能 CT 的椎体及椎旁肌退变的定量研究:与骨密度的相关性。
J Comput Assist Tomogr. 2023;47(1):86-92. doi: 10.1097/RCT.0000000000001388. Epub 2022 Oct 10.
2
Dual-Energy Computed Tomography Virtual Noncalcium Technique in Diagnosing Osteoporosis: Correlation With Quantitative Computed Tomography.双能计算机断层扫描虚拟去钙技术在骨质疏松症诊断中的应用:与定量计算机断层扫描的相关性
J Comput Assist Tomogr. 2021;45(3):452-457. doi: 10.1097/RCT.0000000000001168.
3
Fatty infiltration of paraspinal muscles is associated with bone mineral density of the lumbar spine.脊柱旁肌肉脂肪浸润与腰椎骨密度有关。
Arch Osteoporos. 2019 Oct 15;14(1):99. doi: 10.1007/s11657-019-0639-5.
4
Associations between paraspinal muscles fatty infiltration and lumbar vertebral bone mineral density - An investigation by fast kVp switching dual-energy CT and QCT.椎旁肌脂肪浸润与腰椎骨密度的相关性——基于快速千伏切换双能CT和定量CT的研究
Eur J Radiol Open. 2022 Oct 14;9:100447. doi: 10.1016/j.ejro.2022.100447. eCollection 2022.
5
Quantitative measurements of dual-energy CT parameters in the diagnosis of osteoporosis - a highly sensitive and specific technique: An observational study.双能 CT 参数定量测量在骨质疏松症诊断中的应用——一种高灵敏度和特异性的技术:一项观察性研究。
Medicine (Baltimore). 2024 Jul 5;103(27):e38559. doi: 10.1097/MD.0000000000038559.
6
quantification of bone mineral density of lumbar vertebrae using fast kVp switching dual-energy CT: correlation with quantitative computed tomography.使用快速千伏切换双能CT定量检测腰椎骨密度:与定量计算机断层扫描的相关性
Quant Imaging Med Surg. 2021 Jan;11(1):341-350. doi: 10.21037/qims-20-367.
7
Quantitative analysis of modified functional muscle-bone unit and back muscle density in patients with lumbar vertebral fracture in Chinese elderly men: a case-control study.中文老年男性腰椎骨折患者改良功能性肌-骨单位及腰背肌密度的定量分析:病例对照研究。
Aging Clin Exp Res. 2019 May;31(5):637-644. doi: 10.1007/s40520-018-1024-8. Epub 2018 Aug 20.
8
The relationship between calcium (water) density and age distribution in adult women with spectral CT: initial result compared to bone mineral density by dual-energy X-ray absorptiometry.成年女性光谱CT中钙(水)密度与年龄分布的关系:与双能X线吸收法测量的骨密度相比的初步结果
Acta Radiol. 2019 Jun;60(6):762-768. doi: 10.1177/0284185118801139. Epub 2018 Sep 24.
9
Correlation Between Bone Mineral Density (BMD) and Paraspinal Muscle Fat Infiltration Based on QCT: A Cross-Sectional Study.基于 QCT 的骨密度(BMD)与脊柱旁肌肉脂肪浸润的相关性:一项横断面研究。
Calcif Tissue Int. 2022 Jun;110(6):666-673. doi: 10.1007/s00223-022-00944-6. Epub 2022 Jan 10.
10
Regional bone mineral density differences measured by quantitative computed tomography: does the standard clinically used L1-L2 average correlate with the entire lumbosacral spine?定量计算机断层扫描测量的区域骨密度差异:临床常用的 L1-L2 平均值与整个腰骶部脊柱相关吗?
Spine J. 2019 Apr;19(4):695-702. doi: 10.1016/j.spinee.2018.10.007. Epub 2018 Oct 18.

引用本文的文献

1
Opportunistic assessment of variations in tissue composition content using chest QCT.利用胸部定量计算机断层扫描对组织成分含量变化进行机会性评估。
Sci Rep. 2025 Jul 28;15(1):27428. doi: 10.1038/s41598-025-13001-7.
2
Correlation between paraspinal muscle fat infiltration and thoracic vertebral degeneration based on phantom-less QCT: a novel insight into thoracic vertebral degeneration.基于无体模定量CT的椎旁肌脂肪浸润与胸椎退变的相关性:对胸椎退变的新认识
Eur Spine J. 2025 Mar;34(3):837-852. doi: 10.1007/s00586-025-08645-y. Epub 2025 Jan 13.
3
Clinical use of quantitative computed tomography to evaluate the effect of less paraspinal muscle damage on bone mineral density changes after lumbar interbody fusion.

本文引用的文献

1
Dual-Energy Computed Tomography Virtual Noncalcium Technique in Diagnosing Osteoporosis: Correlation With Quantitative Computed Tomography.双能计算机断层扫描虚拟去钙技术在骨质疏松症诊断中的应用:与定量计算机断层扫描的相关性
J Comput Assist Tomogr. 2021;45(3):452-457. doi: 10.1097/RCT.0000000000001168.
2
Does dual-energy abdominal computed tomography increase the radiation dose to patients: a prospective observational study.双能腹部计算机断层扫描是否会增加患者的辐射剂量:一项前瞻性观察研究。
Pol J Radiol. 2021 Apr 15;86:e208-e216. doi: 10.5114/pjr.2021.105594. eCollection 2021.
3
Imaging Evaluation of Fat Infiltration in Paraspinal Muscles on MRI: A Systematic Review with a Focus on Methodology.
定量计算机断层扫描在评估腰椎椎间融合术后椎旁肌较少损伤对骨密度变化影响中的临床应用
Asian Spine J. 2024 Jun;18(3):415-424. doi: 10.31616/asj.2023.0447. Epub 2024 Jun 25.
4
Exploring the interplay between paraspinal muscular status and bone health in osteoporosis and fracture risk: a comprehensive literature review on computed tomography (CT) and magnetic resonance imaging (MRI) studies.探索骨质疏松症中椎旁肌肉状态与骨骼健康及骨折风险之间的相互作用:关于计算机断层扫描(CT)和磁共振成像(MRI)研究的综合文献综述
Quant Imaging Med Surg. 2024 Jun 1;14(6):4189-4201. doi: 10.21037/qims-23-1770. Epub 2024 Apr 15.
MRI 评估脊柱旁肌肉脂肪浸润:一项侧重于方法学的系统评价。
Orthop Surg. 2021 Jun;13(4):1141-1148. doi: 10.1111/os.12962. Epub 2021 May 4.
4
Skeletal muscle fat quantification by dual-energy computed tomography in comparison with 3T MR imaging.双能 CT 与 3T MRI 对骨骼肌脂肪定量的比较研究。
Eur Radiol. 2021 Oct;31(10):7529-7539. doi: 10.1007/s00330-021-07820-1. Epub 2021 Mar 26.
5
Dual-Energy Computed Tomography for Fat Quantification in the Liver and Bone Marrow: A Literature Review.双能 CT 用于肝脏和骨髓脂肪定量的文献综述。
Rofo. 2020 Dec;192(12):1137-1153. doi: 10.1055/a-1212-6017. Epub 2020 Sep 10.
6
Fat quantification of the rotator cuff musculature using dual-energy CT-A pilot study.双能 CT 对肩袖肌肉脂肪定量的初步研究。
Eur J Radiol. 2020 Sep;130:109145. doi: 10.1016/j.ejrad.2020.109145. Epub 2020 Jun 23.
7
Marrow Adipocytes: Origin, Structure, and Function.骨髓脂肪细胞:起源、结构与功能。
Annu Rev Physiol. 2020 Feb 10;82:461-484. doi: 10.1146/annurev-physiol-021119-034513. Epub 2019 Nov 8.
8
Fatty infiltration of paraspinal muscles is associated with bone mineral density of the lumbar spine.脊柱旁肌肉脂肪浸润与腰椎骨密度有关。
Arch Osteoporos. 2019 Oct 15;14(1):99. doi: 10.1007/s11657-019-0639-5.
9
Bone Mineral Density Testing in Spinal Cord Injury: 2019 ISCD Official Position.脊髓损伤中的骨密度检测:2019 ISCD 官方立场。
J Clin Densitom. 2019 Oct-Dec;22(4):554-566. doi: 10.1016/j.jocd.2019.07.012. Epub 2019 Aug 3.
10
Pelvic muscle size and myosteatosis: Relationship with age, gender, and obesity.盆底肌肉大小与肌脂肪变性:与年龄、性别和肥胖的关系。
Indian J Radiol Imaging. 2019 Apr-Jun;29(2):155-162. doi: 10.4103/ijri.IJRI_414_18.