Suppr超能文献

用于发展可持续农业的[物种名称]化感物质。 (原文中 spp. 指代不明,这里按常规理解为某物种复数形式翻译)

Allelopathic Substances of spp. for Developing Sustainable Agriculture.

作者信息

Kato-Noguchi Hisashi, Hamada Yuri, Kojima Misuzu, Kumagai Sanae, Iwasaki Arihiro, Suenaga Kiyotake

机构信息

Department of Applied Biological Science, Faculty of Agriculture, Kagawa University, Miki, Kagawa 761-0795, Japan.

Department of Chemistry, Faculty of Science and Technology, Keio University, 3-14-1 Hiyoshi, Kohoku, Yokohama 223-8522, Japan.

出版信息

Plants (Basel). 2023 Jan 13;12(2):376. doi: 10.3390/plants12020376.

Abstract

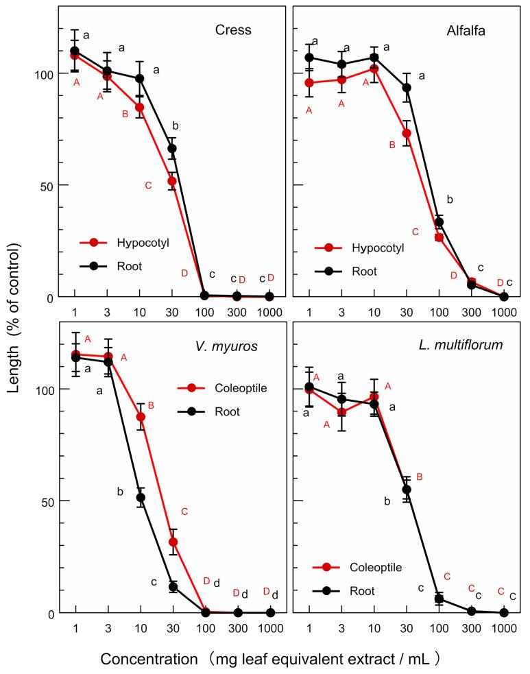
Osmanthus fragrans Lour. has been cultivated for more than 2500 years because of the fragrance and color of the flowers. The flowers and roots have been used in tea, liquors, foods, and traditional Chinese medicine. The species contains more than 180 compounds including terpenoids, phenylpropanoids, polyphenols, flavonoids, and sterols. However, there has been limited information available on the allelopathic properties and allelopathic substances of O. fragrans. We investigated the allelopathy and allelopathic substances of O. fragrans and Osmanthus heterophyllus (G.Don) P.S. Green, as well as Osmanthus × fortunei Carrière, which is the hybrid species between O. fragrans and O. heterophyllus. The leaf extracts of O. fragrans, O. heterophyllus, and O. × fortunei suppressed the growth of cress (Lepidium sativum L.), alfalfa (Medicago sativa L.), Lolium multiflorum Lam., and Vulpia myuros (L.) C.C.Gmel with the extract concentration dependently. The extract of the hybrid species O. × fortune was the most active among the extracts. The main allelopathic substances of O. × fortunei and O. fragrans were isolated and identified as (+)-pinoresinol and 10-acetoxyligustroside, respectively. (+)-Pinoresinol was also found in the fallen leaves of O. × fortunei. Both compounds showed an allelopathic activity on the growth of cress and L. multiflorum. On the other hand, several allelopathic substances including (+)-pinoresinol may be involved in the allelopathy of O. heterophyllus. O. fragrans, O. heterophyllus, and O. × fortunei are evergreen trees. but their senescent leaves fall and cover the soil under the trees. It is possible that those allelopathic substances are liberated through the decomposition process of the leaves into their rhizosphere soil, and that they accumulate in the soil and provide a competitive advantage to the species through the inhibition of the growth of the neighboring competing plants. Therefore, the leaves of these Osmanthus species are allelopathic and potentially useful for weed management options in some agriculture settings to reduce commercial herbicide dependency for the developing sustainable agriculture systems.

摘要

桂花(Osmanthus fragrans Lour.)因其花朵的芬芳和颜色而被栽培了2500多年。其花和根被用于茶、酒、食品和传统中药中。该物种含有180多种化合物,包括萜类化合物、苯丙素类化合物、多酚、黄酮类化合物和甾醇。然而,关于桂花化感特性和化感物质的信息有限。我们研究了桂花、狭叶木犀(Osmanthus heterophyllus (G.Don) P.S. Green)以及桂花与狭叶木犀的杂交种四季桂(Osmanthus × fortunei Carrière)的化感作用和化感物质。桂花、狭叶木犀和四季桂的叶片提取物均能抑制水芹(Lepidium sativum L.)、紫花苜蓿(Medicago sativa L.)、多花黑麦草(Lolium multiflorum Lam.)和鼠尾看麦娘(Vulpia myuros (L.) C.C.Gmel)的生长,且抑制作用随提取物浓度的增加而增强。杂交种四季桂的提取物活性最强。四季桂和桂花的主要化感物质分别被分离鉴定为(+)-松脂醇和10-乙酰氧基裂环马钱子苷。在四季桂的落叶中也发现了(+)-松脂醇。这两种化合物对水芹和多花黑麦草的生长均表现出化感活性。另一方面,包括(+)-松脂醇在内的几种化感物质可能参与了狭叶木犀的化感作用。桂花、狭叶木犀和四季桂都是常绿树,但它们的衰老叶片会掉落并覆盖树下的土壤。这些化感物质有可能通过叶片在根际土壤中的分解过程释放出来,并在土壤中积累,通过抑制邻近竞争植物的生长为该物种提供竞争优势。因此,这些桂花品种的叶片具有化感作用,在一些农业环境中对于杂草管理选择可能具有潜在用途,以减少商业除草剂的使用,从而发展可持续农业系统。

https://cdn.ncbi.nlm.nih.gov/pmc/blobs/e486/9861473/5ac17cff06a7/plants-12-00376-g001.jpg

文献AI研究员

20分钟写一篇综述,助力文献阅读效率提升50倍。

立即体验

用中文搜PubMed

大模型驱动的PubMed中文搜索引擎

马上搜索

文档翻译

学术文献翻译模型,支持多种主流文档格式。

立即体验