Suppr超能文献

甘油三酯-葡萄糖(TyG)指数是动脉僵硬度、糖尿病发病率、心血管疾病以及全因死亡率和心血管死亡率的一个预测指标:一项纵向双队列分析。

Triglyceride-glucose (TyG) index is a predictor of arterial stiffness, incidence of diabetes, cardiovascular disease, and all-cause and cardiovascular mortality: A longitudinal two-cohort analysis.

作者信息

Muhammad Iram Faqir, Bao Xue, Nilsson Peter M, Zaigham Suneela

机构信息

Department of Clinical Sciences, Lund University, Malmö, Sweden.

Department of Cardiology, Nanjing Drum Tower Hospital, The Affiliated Hospital of Nanjing University Medical School, Nanjing, China.

出版信息

Front Cardiovasc Med. 2023 Jan 4;9:1035105. doi: 10.3389/fcvm.2022.1035105. eCollection 2022.

Abstract

BACKGROUND

Triglyceride-glucose (TyG) index is a useful low-cost marker of insulin resistance. We aimed to evaluate the association between TyG index and arterial stiffness, incidence of diabetes, adverse cardiovascular outcomes, and all-cause and cardiovascular mortality in two large prospective Swedish cohorts, the Malmö Diet and Cancer Study-Cardiovascular Cohort (MDCS-CV) and the Malmö Preventive Project (MPP).

METHODS

Association between baseline TyG index and arterial stiffness, measured by carotid femoral pulse wave velocity (c-f PWV), was assessed using linear regression and general linear models, adjusting for covariates. Cox proportional hazard regression was used to assess the association between TyG index and incidence of diabetes, coronary events (CE), stroke, atrial fibrillation (AF), heart failure, and all-cause and cardiovascular mortality.

RESULTS

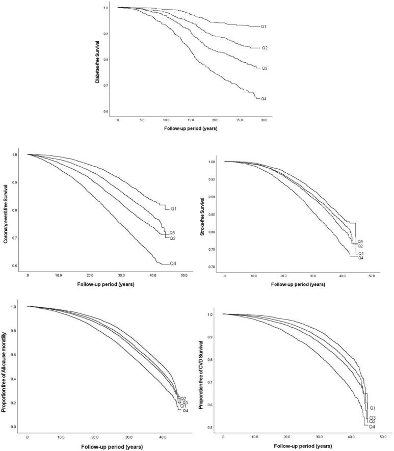
After multivariable adjustment, baseline TyG index was significantly associated with increased arterial stiffness (β for c-f PWV = 0.61, = 0.018). Participants in the highest quartile of TyG index vs. lowest quartile had an increased incidence of diabetes (HR: 3.30, 95% CI: 2.47-4.41), CE (HR: 1.53, 95% CI: 1.41-1.68), stroke (HR: 1.30, 95% CI: 1.18-1.44), all-cause mortality (HR: 1.22, 95% CI: 1.16-1.28), and cardiovascular mortality (HR: 1.37, 95% CI: 1.26-1.49) after adjustment for covariates. Per unit increase in TyG index was associated with increased heart failure risk. No significant association was observed for incident AF.

CONCLUSION

Elevated TyG index is positively associated with increased arterial stiffness and increased incidence of diabetes, CE, stroke, and all-cause and cardiovascular mortality. The results suggest that TyG index can potentially be useful in the identification of those at increased long-term risk of adverse health outcomes.

摘要

背景

甘油三酯-葡萄糖(TyG)指数是一种有用的低成本胰岛素抵抗标志物。我们旨在评估在瑞典两个大型前瞻性队列,即马尔默饮食与癌症研究心血管队列(MDCS-CV)和马尔默预防项目(MPP)中,TyG指数与动脉僵硬度、糖尿病发病率、不良心血管结局以及全因死亡率和心血管死亡率之间的关联。

方法

使用线性回归和一般线性模型评估基线TyG指数与通过颈动脉-股动脉脉搏波速度(c-f PWV)测量的动脉僵硬度之间的关联,并对协变量进行调整。使用Cox比例风险回归评估TyG指数与糖尿病发病率、冠状动脉事件(CE)、中风、心房颤动(AF)、心力衰竭以及全因死亡率和心血管死亡率之间的关联。

结果

经过多变量调整后,基线TyG指数与动脉僵硬度增加显著相关(c-f PWV的β = 0.61,P = 0.018)。与TyG指数最低四分位数的参与者相比,最高四分位数的参与者在调整协变量后,糖尿病发病率增加(HR:3.30,95% CI:2.47 - 4.41)、CE(HR:1.53,95% CI:1.41 - 1.68)、中风(HR:1.30,95% CI:1.18 - 1.44)、全因死亡率(HR:1.22,95% CI:1.16 - 1.28)和心血管死亡率(HR:1.37,95% CI:1.26 - 1.49)均增加。TyG指数每增加一个单位与心力衰竭风险增加相关。未观察到与新发AF有显著关联。

结论

TyG指数升高与动脉僵硬度增加以及糖尿病、CE、中风、全因死亡率和心血管死亡率增加呈正相关。结果表明,TyG指数可能有助于识别那些长期不良健康结局风险增加的人群。

https://cdn.ncbi.nlm.nih.gov/pmc/blobs/3cca/9846351/644b729c09dd/fcvm-09-1035105-g001.jpg

文献检索

告别复杂PubMed语法,用中文像聊天一样搜索,搜遍4000万医学文献。AI智能推荐,让科研检索更轻松。

立即免费搜索

文件翻译

保留排版,准确专业,支持PDF/Word/PPT等文件格式,支持 12+语言互译。

免费翻译文档

深度研究

AI帮你快速写综述,25分钟生成高质量综述,智能提取关键信息,辅助科研写作。

立即免费体验