• 文献检索
  • 文档翻译
  • 深度研究
  • 学术资讯
  • Suppr Zotero 插件Zotero 插件
  • 邀请有礼
  • 套餐&价格
  • 历史记录
应用&插件
Suppr Zotero 插件Zotero 插件浏览器插件Mac 客户端Windows 客户端微信小程序
定价
高级版会员购买积分包购买API积分包
服务
文献检索文档翻译深度研究API 文档MCP 服务
关于我们
关于 Suppr公司介绍联系我们用户协议隐私条款
关注我们

Suppr 超能文献

核心技术专利:CN118964589B侵权必究
粤ICP备2023148730 号-1Suppr @ 2026

文献检索

告别复杂PubMed语法,用中文像聊天一样搜索,搜遍4000万医学文献。AI智能推荐,让科研检索更轻松。

立即免费搜索

文件翻译

保留排版,准确专业,支持PDF/Word/PPT等文件格式,支持 12+语言互译。

免费翻译文档

深度研究

AI帮你快速写综述,25分钟生成高质量综述,智能提取关键信息,辅助科研写作。

立即免费体验

基于CT的影像组学列线图用于预测透明细胞肾细胞癌同步远处转移的开发与验证

Development and validation of A CT-based radiomics nomogram for prediction of synchronous distant metastasis in clear cell renal cell carcinoma.

作者信息

Yu Xinxin, Gao Lin, Zhang Shuai, Sun Cong, Zhang Juntao, Kang Bing, Wang Ximing

机构信息

Department of Radiology, Shandong Provincial Hospital Affiliated to Shandong First Medical University, Jinan, China.

School of Medicine, Shandong University, Jinan, China.

出版信息

Front Oncol. 2023 Jan 4;12:1016583. doi: 10.3389/fonc.2022.1016583. eCollection 2022.

DOI:10.3389/fonc.2022.1016583
PMID:36686790
原文链接:https://pmc.ncbi.nlm.nih.gov/articles/PMC9846314/
Abstract

BACKGROUND

Early identification of synchronous distant metastasis (SDM) in patients with clear cell Renal cell carcinoma (ccRCC) can certify the reasonable diagnostic examinations.

METHODS

This retrospective study recruited 463 ccRCC patients who were divided into two cohorts (training and internal validation) at a 7:3 ratio. Besides, 115 patients from other hospital were assigned external validation cohort. A radiomics signature was developed based on features by means of the least absolute shrinkage and selection operator method. Demographics, laboratory variables and CT findings were combined to develop clinical factors model. Integrating radiomics signature and clinical factors model, a radiomics nomogram was developed.

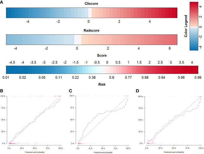
RESULTS

Ten features were used to build radiomics signature, which yielded an area under the curve (AUC) 0.882 in the external validation cohort. By incorporating the clinical independent predictors, the clinical model was developed with AUC of 0.920 in the external validation cohort. Radiomics nomogram (external validation, 0.925) had better performance than clinical factors model or radiomics signature. Decision curve analysis demonstrated the superiority of the radiomics nomogram in terms of clinical usefulness.

CONCLUSIONS

The CT-based nomogram could help in predicting SDM status in patients with ccRCC, which might provide assistance for clinicians in making diagnostic examinations.

摘要

背景

早期识别透明细胞肾细胞癌(ccRCC)患者的同步远处转移(SDM)有助于确定合理的诊断检查。

方法

本回顾性研究纳入了463例ccRCC患者,按7:3的比例分为两个队列(训练队列和内部验证队列)。此外,将来自其他医院的115例患者分配到外部验证队列。基于特征,采用最小绝对收缩和选择算子方法构建了一个影像组学特征。结合人口统计学、实验室变量和CT表现,建立了临床因素模型。将影像组学特征与临床因素模型相结合,构建了影像组学列线图。

结果

使用10个特征构建影像组学特征,在外部验证队列中其曲线下面积(AUC)为0.882。通过纳入临床独立预测因子,建立了临床模型,在外部验证队列中的AUC为0.920。影像组学列线图(外部验证,0.925)的表现优于临床因素模型或影像组学特征。决策曲线分析表明影像组学列线图在临床实用性方面具有优势。

结论

基于CT的列线图有助于预测ccRCC患者的SDM状态,可为临床医生进行诊断检查提供帮助。

https://cdn.ncbi.nlm.nih.gov/pmc/blobs/ace3/9846314/34c92e6eab8f/fonc-12-1016583-g006.jpg
https://cdn.ncbi.nlm.nih.gov/pmc/blobs/ace3/9846314/f2789319e3bf/fonc-12-1016583-g001.jpg
https://cdn.ncbi.nlm.nih.gov/pmc/blobs/ace3/9846314/e1737d967dc5/fonc-12-1016583-g002.jpg
https://cdn.ncbi.nlm.nih.gov/pmc/blobs/ace3/9846314/e6f820d73ddc/fonc-12-1016583-g003.jpg
https://cdn.ncbi.nlm.nih.gov/pmc/blobs/ace3/9846314/41ee323f6b8f/fonc-12-1016583-g004.jpg
https://cdn.ncbi.nlm.nih.gov/pmc/blobs/ace3/9846314/fe93714aedec/fonc-12-1016583-g005.jpg
https://cdn.ncbi.nlm.nih.gov/pmc/blobs/ace3/9846314/34c92e6eab8f/fonc-12-1016583-g006.jpg
https://cdn.ncbi.nlm.nih.gov/pmc/blobs/ace3/9846314/f2789319e3bf/fonc-12-1016583-g001.jpg
https://cdn.ncbi.nlm.nih.gov/pmc/blobs/ace3/9846314/e1737d967dc5/fonc-12-1016583-g002.jpg
https://cdn.ncbi.nlm.nih.gov/pmc/blobs/ace3/9846314/e6f820d73ddc/fonc-12-1016583-g003.jpg
https://cdn.ncbi.nlm.nih.gov/pmc/blobs/ace3/9846314/41ee323f6b8f/fonc-12-1016583-g004.jpg
https://cdn.ncbi.nlm.nih.gov/pmc/blobs/ace3/9846314/fe93714aedec/fonc-12-1016583-g005.jpg
https://cdn.ncbi.nlm.nih.gov/pmc/blobs/ace3/9846314/34c92e6eab8f/fonc-12-1016583-g006.jpg

相似文献

1
Development and validation of A CT-based radiomics nomogram for prediction of synchronous distant metastasis in clear cell renal cell carcinoma.基于CT的影像组学列线图用于预测透明细胞肾细胞癌同步远处转移的开发与验证
Front Oncol. 2023 Jan 4;12:1016583. doi: 10.3389/fonc.2022.1016583. eCollection 2022.
2
T1 Stage Clear Cell Renal Cell Carcinoma: A CT-Based Radiomics Nomogram to Estimate the Risk of Recurrence and Metastasis.T1期透明细胞肾细胞癌:一种基于CT的影像组学列线图,用于评估复发和转移风险。
Front Oncol. 2020 Nov 4;10:579619. doi: 10.3389/fonc.2020.579619. eCollection 2020.
3
MRI radiomics-based nomogram for individualised prediction of synchronous distant metastasis in patients with clear cell renal cell carcinoma.基于 MRI 放射组学的列线图模型,用于个体化预测透明细胞肾细胞癌患者的同步远处转移。
Eur Radiol. 2021 Feb;31(2):1029-1042. doi: 10.1007/s00330-020-07184-y. Epub 2020 Aug 27.
4
Development and validation of a CT-based nomogram for preoperative prediction of clear cell renal cell carcinoma grades.基于CT的列线图用于术前预测透明细胞肾细胞癌分级的开发与验证
Eur Radiol. 2021 Aug;31(8):6078-6086. doi: 10.1007/s00330-020-07667-y. Epub 2021 Jan 29.
5
A CT-based radiomics nomogram for differentiation of renal angiomyolipoma without visible fat from homogeneous clear cell renal cell carcinoma.基于 CT 的影像组学列线图,用于区分无可见脂肪的肾血管平滑肌脂肪瘤与均质透明细胞肾细胞癌。
Eur Radiol. 2020 Feb;30(2):1274-1284. doi: 10.1007/s00330-019-06427-x. Epub 2019 Sep 10.
6
A Computed Tomography-Based Radiomics Nomogram to Preoperatively Predict Tumor Necrosis in Patients With Clear Cell Renal Cell Carcinoma.一种基于计算机断层扫描的影像组学列线图,用于术前预测透明细胞肾细胞癌患者的肿瘤坏死情况。
Front Oncol. 2020 May 29;10:592. doi: 10.3389/fonc.2020.00592. eCollection 2020.
7
Multiparameter computed tomography (CT) radiomics signature fusion-based model for the preoperative prediction of clear cell renal cell carcinoma nuclear grade: a multicenter development and external validation study.基于多参数计算机断层扫描(CT)影像组学特征融合的透明细胞肾细胞癌核分级术前预测模型:一项多中心开发与外部验证研究
Quant Imaging Med Surg. 2024 Oct 1;14(10):7031-7045. doi: 10.21037/qims-24-35. Epub 2024 Sep 12.
8
A CT-Based Radiomics Nomogram Integrated With Clinic-Radiological Features for Preoperatively Predicting WHO/ISUP Grade of Clear Cell Renal Cell Carcinoma.基于CT的影像组学列线图结合临床放射学特征用于术前预测透明细胞肾细胞癌的WHO/ISUP分级
Front Oncol. 2021 Dec 3;11:712554. doi: 10.3389/fonc.2021.712554. eCollection 2021.
9
Development and validation of a CT based radiomics nomogram for preoperative prediction of ISUP/WHO grading in renal clear cell carcinoma.基于CT的影像组学列线图在肾透明细胞癌术前预测ISUP/WHO分级中的开发与验证
Abdom Radiol (NY). 2025 Mar;50(3):1228-1239. doi: 10.1007/s00261-024-04576-2. Epub 2024 Sep 23.
10
Radiomics nomogram based on CT radiomics features and clinical factors for prediction of Ki-67 expression and prognosis in clear cell renal cell carcinoma: a two-center study.基于 CT 影像组学特征和临床因素的列线图预测透明细胞肾细胞癌 Ki-67 表达和预后的研究:一项多中心研究。
Cancer Imaging. 2024 Aug 6;24(1):103. doi: 10.1186/s40644-024-00744-1.

引用本文的文献

1
Navigating advanced renal cell carcinoma in the era of artificial intelligence.在人工智能时代应对晚期肾细胞癌
Cancer Imaging. 2025 Feb 18;25(1):16. doi: 10.1186/s40644-025-00835-7.
2
The predictive value of radiomics and deep learning for synchronous distant metastasis in clear cell renal cell carcinoma.放射组学和深度学习对透明细胞肾细胞癌同步远处转移的预测价值。
Discov Oncol. 2025 Jan 25;16(1):86. doi: 10.1007/s12672-025-01806-x.
3
AI-powered radiomics: revolutionizing detection of urologic malignancies.人工智能赋能的放射组学:泌尿系恶性肿瘤检测的革命。

本文引用的文献

1
CT Radiomics for the Prediction of Synchronous Distant Metastasis in Clear Cell Renal Cell Carcinoma.CT 放射组学预测透明细胞肾细胞癌的同步远处转移。
J Comput Assist Tomogr. 2021;45(5):696-703. doi: 10.1097/RCT.0000000000001211.
2
Differentiation between pancreatic metastases from renal cell carcinoma and pancreatic neuroendocrine neoplasm using endoscopic ultrasound.应用内镜超声鉴别肾细胞癌胰腺转移和胰腺神经内分泌肿瘤。
Pancreatology. 2021 Oct;21(7):1364-1370. doi: 10.1016/j.pan.2021.07.001. Epub 2021 Jul 14.
3
A population-based study to predict distant metastasis in patients with renal cell carcinoma.
Curr Opin Urol. 2024 Jan 1;34(1):1-7. doi: 10.1097/MOU.0000000000001144. Epub 2023 Nov 1.
基于人群的研究预测肾细胞癌患者的远处转移。
Ann Palliat Med. 2021 Apr;10(4):4273-4288. doi: 10.21037/apm-20-2481. Epub 2021 Mar 23.
4
Radiomics signature on dynamic contrast-enhanced MR images: a potential imaging biomarker for prediction of microvascular invasion in mass-forming intrahepatic cholangiocarcinoma.动态对比增强磁共振成像的放射组学特征:预测肿块型肝内胆管细胞癌微血管侵犯的潜在影像学生物标志物。
Eur Radiol. 2021 Sep;31(9):6846-6855. doi: 10.1007/s00330-021-07793-1. Epub 2021 Feb 26.
5
Texture analysis of T2-weighted MRI predicts SDH mutation in paraganglioma.T2加权磁共振成像的纹理分析可预测副神经节瘤中的SDH突变。
Neuroradiology. 2021 Apr;63(4):547-554. doi: 10.1007/s00234-020-02607-5. Epub 2020 Nov 19.
6
MRI radiomics-based nomogram for individualised prediction of synchronous distant metastasis in patients with clear cell renal cell carcinoma.基于 MRI 放射组学的列线图模型,用于个体化预测透明细胞肾细胞癌患者的同步远处转移。
Eur Radiol. 2021 Feb;31(2):1029-1042. doi: 10.1007/s00330-020-07184-y. Epub 2020 Aug 27.
7
The role of active surveillance and cytoreductive nephrectomy in metastatic renal cell carcinoma.主动监测和减瘤性肾切除术在转移性肾细胞癌中的作用。
Cancer Treat Res Commun. 2020;23:100169. doi: 10.1016/j.ctarc.2020.100169. Epub 2020 Feb 22.
8
Interplay between inflammation and cancer.炎症与癌症的相互作用。
Adv Protein Chem Struct Biol. 2020;119:199-245. doi: 10.1016/bs.apcsb.2019.09.004. Epub 2019 Nov 26.
9
Albumin-fibrinogen ratio and fibrinogen-prealbumin ratio as promising prognostic markers for cancers: an updated meta-analysis.白蛋白-纤维蛋白原比值和纤维蛋白原前白蛋白比值作为癌症有前途的预后标志物:一项更新的荟萃分析。
World J Surg Oncol. 2020 Jan 13;18(1):9. doi: 10.1186/s12957-020-1786-2.
10
First-line Treatment of Metastatic Renal Cell Carcinoma: A Systematic Review and Network Meta-analysis.转移性肾细胞癌的一线治疗:系统评价和网络荟萃分析。
Eur Urol Oncol. 2019 Nov;2(6):708-715. doi: 10.1016/j.euo.2019.09.002. Epub 2019 Oct 4.