• 文献检索
  • 文档翻译
  • 深度研究
  • 学术资讯
  • Suppr Zotero 插件Zotero 插件
  • 邀请有礼
  • 套餐&价格
  • 历史记录
应用&插件
Suppr Zotero 插件Zotero 插件浏览器插件Mac 客户端Windows 客户端微信小程序
定价
高级版会员购买积分包购买API积分包
服务
文献检索文档翻译深度研究API 文档MCP 服务
关于我们
关于 Suppr公司介绍联系我们用户协议隐私条款
关注我们

Suppr 超能文献

核心技术专利:CN118964589B侵权必究
粤ICP备2023148730 号-1Suppr @ 2026

文献检索

告别复杂PubMed语法,用中文像聊天一样搜索,搜遍4000万医学文献。AI智能推荐,让科研检索更轻松。

立即免费搜索

文件翻译

保留排版,准确专业,支持PDF/Word/PPT等文件格式,支持 12+语言互译。

免费翻译文档

深度研究

AI帮你快速写综述,25分钟生成高质量综述,智能提取关键信息,辅助科研写作。

立即免费体验

鉴定肺动脉高压患者铜代谢相关的生物标志物。

Identification of biomarkers related to copper metabolism in patients with pulmonary arterial hypertension.

机构信息

Department of Respiratory and Critical Care Medicine, The Second Affiliated Hospital of Xi'an Jiaotong University (Xibei Hospital), Xi'an, 710004, Shaanxi, China.

Department of Emergency, The First Affiliated Hospital Xi'an Jiaotong University, Xi'an, 710061, Shaanxi, China.

出版信息

BMC Pulm Med. 2023 Jan 23;23(1):31. doi: 10.1186/s12890-023-02326-6.

DOI:10.1186/s12890-023-02326-6
PMID:36690956
原文链接:https://pmc.ncbi.nlm.nih.gov/articles/PMC9868507/
Abstract

BACKGROUND

The pathogenesis of pulmonary arterial hypertension (PAH) and associated biomarkers remain to be studied. Copper metabolism is an emerging metabolic research direction in many diseases, but its role in PAH is still unclear.

METHODS

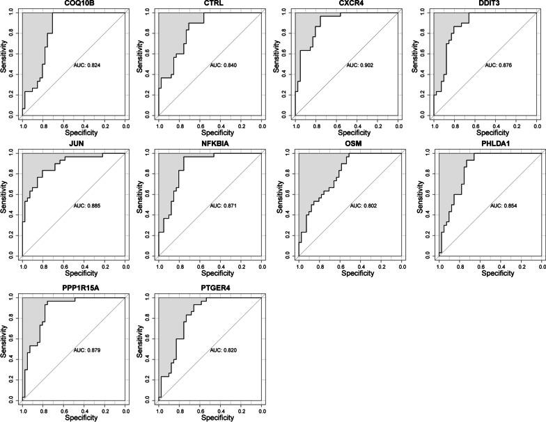
PAH-related datasets were downloaded from the Gene Expression Omnibus database, and 2067 copper metabolism-related genes (CMGs) were obtained from the GeneCards database. Differential expression analysis and the Venn algorithm were used to acquire the differentially expressed CMGs (DE-CMGs). DE-CMGs were then used for the coexpression network construction to screen candidate key genes associated with PAH. Furthermore, the predictive performance of the model was verified by receiver operating characteristic (ROC) analysis, and genes with area under the curve (AUC) values greater than 0.8 were selected as diagnostic genes. Then support vector machine, least absolute shrinkage and selection operator regression, and Venn diagrams were applied to detect biomarkers. Moreover, gene set enrichment analysis was performed to explore the function of the biomarkers, and immune-related analyses were utilized to study the infiltration of immune cells. The drug-gene interaction database was used to predict potential therapeutic drugs for PAH using the biomarkers. Biomarkers expression in clinical samples was verified by real-time quantitative PCR.

RESULTS

Four biomarkers (DDIT3, NFKBIA, OSM, and PTGER4) were screened. The ROC analysis showed that the 4 biomarkers performed well (AUCs > 0.7). The high expression groups for the 4 biomarkers were enriched in protein activity-related pathways including protein export, spliceosome and proteasome. Furthermore, 8 immune cell types were significantly different between the two groups, including naive B cells, memory B cells, and resting memory CD4 T cells. Afterward, a gene-drug network was constructed. This network illustrated that STREPTOZOCIN, IBUPROFEN, and CELECOXIB were shared by the PTGER4 and DDIT3. Finally, the results of RT-qPCR in clinical samples further confirmed the results of the public database for the expression of NFKBIA and OSM.

CONCLUSION

In conclusion, four biomarkers (DDIT3, NFKBIA, OSM, and PTGER4) with considerable diagnostic values were identified, and a gene-drug network was further constructed. The results of this study may have significant implications for the development of new diagnostic biomarkers and actionable targets to expand treatment options for PAH patients.

摘要

背景

肺动脉高压(PAH)的发病机制和相关生物标志物仍有待研究。铜代谢是许多疾病中新兴的代谢研究方向,但它在 PAH 中的作用尚不清楚。

方法

从基因表达综合数据库(GEO)下载与 PAH 相关的数据集,并从基因卡片数据库(GeneCards)中获取 2067 个铜代谢相关基因(CMGs)。使用差异表达分析和 Venn 算法获取差异表达的 CMGs(DE-CMGs)。然后,利用 DE-CMGs 构建共表达网络,筛选与 PAH 相关的候选关键基因。进一步通过接受者操作特征(ROC)分析验证模型的预测性能,选择 AUC 值大于 0.8 的基因作为诊断基因。然后,应用支持向量机、最小绝对收缩和选择算子回归以及 Venn 图来检测生物标志物。此外,进行基因集富集分析以探索生物标志物的功能,并利用免疫相关分析研究免疫细胞的浸润。利用药物-基因相互作用数据库,使用生物标志物预测潜在的 PAH 治疗药物。通过实时定量 PCR 验证临床样本中生物标志物的表达。

结果

筛选出 4 个生物标志物(DDIT3、NFKBIA、OSM 和 PTGER4)。ROC 分析表明,这 4 个生物标志物表现良好(AUC 值均大于 0.7)。4 个生物标志物高表达组富集于蛋白质活性相关通路,包括蛋白质输出、剪接体和蛋白酶体。此外,两组间有 8 种免疫细胞类型存在显著差异,包括幼稚 B 细胞、记忆 B 细胞和静止记忆 CD4 T 细胞。随后构建了一个基因-药物网络。该网络表明,PTGER4 和 DDIT3 共享 STREPTOZOCIN、IBUPROFEN 和 CELECOXIB。最后,临床样本的 RT-qPCR 结果进一步证实了公共数据库中 NFKBIA 和 OSM 表达的结果。

结论

总之,本研究鉴定了具有相当诊断价值的 4 个生物标志物(DDIT3、NFKBIA、OSM 和 PTGER4),并进一步构建了一个基因-药物网络。该研究结果可能对开发新的诊断生物标志物和可操作靶点以扩大 PAH 患者的治疗选择具有重要意义。

https://cdn.ncbi.nlm.nih.gov/pmc/blobs/b6b5/9869591/41ce6973856e/12890_2023_2326_Fig9_HTML.jpg
https://cdn.ncbi.nlm.nih.gov/pmc/blobs/b6b5/9869591/131a95787630/12890_2023_2326_Fig1_HTML.jpg
https://cdn.ncbi.nlm.nih.gov/pmc/blobs/b6b5/9869591/c482964dbd0c/12890_2023_2326_Fig2_HTML.jpg
https://cdn.ncbi.nlm.nih.gov/pmc/blobs/b6b5/9869591/90868b11cb89/12890_2023_2326_Fig3_HTML.jpg
https://cdn.ncbi.nlm.nih.gov/pmc/blobs/b6b5/9869591/d0656aa3e4e4/12890_2023_2326_Fig4_HTML.jpg
https://cdn.ncbi.nlm.nih.gov/pmc/blobs/b6b5/9869591/29f124e4c5dc/12890_2023_2326_Fig5_HTML.jpg
https://cdn.ncbi.nlm.nih.gov/pmc/blobs/b6b5/9869591/294b8f014448/12890_2023_2326_Fig6_HTML.jpg
https://cdn.ncbi.nlm.nih.gov/pmc/blobs/b6b5/9869591/95e13a236fb5/12890_2023_2326_Fig7_HTML.jpg
https://cdn.ncbi.nlm.nih.gov/pmc/blobs/b6b5/9869591/38b7d6b25a6f/12890_2023_2326_Fig8_HTML.jpg
https://cdn.ncbi.nlm.nih.gov/pmc/blobs/b6b5/9869591/41ce6973856e/12890_2023_2326_Fig9_HTML.jpg
https://cdn.ncbi.nlm.nih.gov/pmc/blobs/b6b5/9869591/131a95787630/12890_2023_2326_Fig1_HTML.jpg
https://cdn.ncbi.nlm.nih.gov/pmc/blobs/b6b5/9869591/c482964dbd0c/12890_2023_2326_Fig2_HTML.jpg
https://cdn.ncbi.nlm.nih.gov/pmc/blobs/b6b5/9869591/90868b11cb89/12890_2023_2326_Fig3_HTML.jpg
https://cdn.ncbi.nlm.nih.gov/pmc/blobs/b6b5/9869591/d0656aa3e4e4/12890_2023_2326_Fig4_HTML.jpg
https://cdn.ncbi.nlm.nih.gov/pmc/blobs/b6b5/9869591/29f124e4c5dc/12890_2023_2326_Fig5_HTML.jpg
https://cdn.ncbi.nlm.nih.gov/pmc/blobs/b6b5/9869591/294b8f014448/12890_2023_2326_Fig6_HTML.jpg
https://cdn.ncbi.nlm.nih.gov/pmc/blobs/b6b5/9869591/95e13a236fb5/12890_2023_2326_Fig7_HTML.jpg
https://cdn.ncbi.nlm.nih.gov/pmc/blobs/b6b5/9869591/38b7d6b25a6f/12890_2023_2326_Fig8_HTML.jpg
https://cdn.ncbi.nlm.nih.gov/pmc/blobs/b6b5/9869591/41ce6973856e/12890_2023_2326_Fig9_HTML.jpg

相似文献

1
Identification of biomarkers related to copper metabolism in patients with pulmonary arterial hypertension.鉴定肺动脉高压患者铜代谢相关的生物标志物。
BMC Pulm Med. 2023 Jan 23;23(1):31. doi: 10.1186/s12890-023-02326-6.
2
Bioinformatics analysis of the immune cell infiltration characteristics and correlation with crucial diagnostic markers in pulmonary arterial hypertension.肺高血压免疫细胞浸润特征的生物信息学分析及其与关键诊断标志物的相关性。
BMC Pulm Med. 2023 Aug 15;23(1):300. doi: 10.1186/s12890-023-02584-4.
3
Lasso algorithm and support vector machine strategy to screen pulmonary arterial hypertension gene diagnostic markers.套索算法和支持向量机策略筛选肺动脉高压基因诊断标志物。
Scott Med J. 2023 Feb;68(1):21-31. doi: 10.1177/00369330221132158. Epub 2022 Oct 17.
4
Analysis of mG methylation modification patterns and pulmonary vascular immune microenvironment in pulmonary arterial hypertension.分析肺动脉高压中 mG 甲基化修饰模式与肺血管免疫微环境。
Front Immunol. 2022 Dec 5;13:1014509. doi: 10.3389/fimmu.2022.1014509. eCollection 2022.
5
Screening of key biomarkers and immune infiltration in Pulmonary Arterial Hypertension via integrated bioinformatics analysis.通过综合生物信息学分析筛选肺动脉高压的关键生物标志物和免疫浸润。
Bioengineered. 2021 Dec;12(1):2576-2591. doi: 10.1080/21655979.2021.1936816.
6
Identification of fatty acid metabolism signature genes in patients with pulmonary arterial hypertension using WGCNA and machine learning.利用 WGCNA 和机器学习鉴定肺动脉高压患者脂肪酸代谢特征基因。
J Int Med Res. 2024 Sep;52(9):3000605241277740. doi: 10.1177/03000605241277740.
7
Development and validation of biomarkers related to PANoptosis in osteoarthritis.骨关节炎中与 PANoptosis 相关的生物标志物的开发和验证。
Eur Rev Med Pharmacol Sci. 2023 Aug;27(16):7444-7458. doi: 10.26355/eurrev_202308_33396.
8
FAM171B as a Novel Biomarker Mediates Tissue Immune Microenvironment in Pulmonary Arterial Hypertension.FAM171B 作为一种新型生物标志物介导肺动脉高压的组织免疫微环境。
Mediators Inflamm. 2022 Sep 22;2022:1878766. doi: 10.1155/2022/1878766. eCollection 2022.
9
Altered Cellular Immunity and Differentially Expressed Immune-Related Genes in Patients With Systemic Sclerosis-Associated Pulmonary Arterial Hypertension.系统性硬化症相关肺动脉高压患者的细胞免疫改变和差异表达的免疫相关基因。
Front Immunol. 2022 May 18;13:868983. doi: 10.3389/fimmu.2022.868983. eCollection 2022.
10
The identification and verification of hub genes associated with pulmonary arterial hypertension using weighted gene co-expression network analysis.使用加权基因共表达网络分析鉴定和验证与肺动脉高压相关的枢纽基因。
BMC Pulm Med. 2022 Dec 13;22(1):474. doi: 10.1186/s12890-022-02275-6.

引用本文的文献

1
Emerging trends in cardiovascular diseases: the impact of ferroptosis and cuproptosis on cardiomyocyte death.心血管疾病的新趋势:铁死亡和铜死亡对心肌细胞死亡的影响
Mol Cell Biochem. 2025 Jun 23. doi: 10.1007/s11010-025-05340-w.
2
Copper homeostasis dysregulation in respiratory diseases: a review of current knowledge.呼吸系统疾病中铜稳态失调:当前知识综述
Front Physiol. 2024 May 31;15:1243629. doi: 10.3389/fphys.2024.1243629. eCollection 2024.
3
A hypothesis: Potential contributions of metals to the pathogenesis of pulmonary artery hypertension.

本文引用的文献

1
A systematic review with meta-analysis of biomarkers for detection of pulmonary arterial hypertension.一项关于用于检测肺动脉高压的生物标志物的系统评价及荟萃分析。
ERJ Open Res. 2022 May 30;8(2). doi: 10.1183/23120541.00009-2022. eCollection 2022 Apr.
2
Pulmonary Arterial Hypertension.肺动脉高压
N Engl J Med. 2021 Dec 16;385(25):2361-2376. doi: 10.1056/NEJMra2000348.
3
Xbp1s-Ddit3 promotes MCT-induced pulmonary hypertension.Xbp1s-Ddit3 促进 MCT 诱导的肺动脉高压。
假说:金属元素对肺动脉高压发病机制的潜在贡献。
Life Sci. 2024 Jan 1;336:122289. doi: 10.1016/j.lfs.2023.122289. Epub 2023 Nov 24.
4
KnockTF 2.0: a comprehensive gene expression profile database with knockdown/knockout of transcription (co-)factors in multiple species.KnockTF 2.0:一个综合性的基因表达谱数据库,涵盖了多种物种中转录(共)因子的敲除/敲低。
Nucleic Acids Res. 2024 Jan 5;52(D1):D183-D193. doi: 10.1093/nar/gkad1016.
5
Inhibition of pulmonary artery smooth muscle cells via the delivery of curcuminoid WZ35 by Cu-based metal organic frameworks.通过铜基金属有机框架传递姜黄素 WZ35 抑制肺动脉平滑肌细胞。
IET Nanobiotechnol. 2023 Jul;17(5):420-424. doi: 10.1049/nbt2.12138. Epub 2023 May 16.
Clin Sci (Lond). 2021 Nov 12;135(21):2467-2481. doi: 10.1042/CS20210612.
4
The Role of Regulatory T Cells in Pulmonary Arterial Hypertension.调节性 T 细胞在肺动脉高压中的作用。
Front Immunol. 2021 Aug 19;12:684657. doi: 10.3389/fimmu.2021.684657. eCollection 2021.
5
Study on the effect and mechanism of NFKBIA on cervical cancer progress in vitro and in vivo.体内外研究 NFKBIA 对宫颈癌进展的作用及机制。
J Obstet Gynaecol Res. 2021 Nov;47(11):3931-3942. doi: 10.1111/jog.14947. Epub 2021 Aug 2.
6
Cytokines, Chemokines, and Inflammation in Pulmonary Arterial Hypertension.细胞因子、趋化因子与肺动脉高压中的炎症反应。
Adv Exp Med Biol. 2021;1303:275-303. doi: 10.1007/978-3-030-63046-1_15.
7
Metabolism in Pulmonary Hypertension.肺动脉高压中的代谢
Annu Rev Physiol. 2021 Feb 10;83:551-576. doi: 10.1146/annurev-physiol-031620-123956.
8
KEGG: integrating viruses and cellular organisms.KEGG:整合病毒和细胞生物。
Nucleic Acids Res. 2021 Jan 8;49(D1):D545-D551. doi: 10.1093/nar/gkaa970.
9
Perivascular Inflammation in Pulmonary Arterial Hypertension.肺高血压中的血管周围炎症。
Cells. 2020 Oct 22;9(11):2338. doi: 10.3390/cells9112338.
10
The role of the oncostatin M/OSM receptor β axis in activating dermal microvascular endothelial cells in systemic sclerosis.骨桥蛋白 M/骨桥蛋白 M 受体 β 轴在激活系统性硬化症皮肤微血管内皮细胞中的作用。
Arthritis Res Ther. 2020 Jul 31;22(1):179. doi: 10.1186/s13075-020-02266-0.