• 文献检索
  • 文档翻译
  • 深度研究
  • 学术资讯
  • Suppr Zotero 插件Zotero 插件
  • 邀请有礼
  • 套餐&价格
  • 历史记录
应用&插件
Suppr Zotero 插件Zotero 插件浏览器插件Mac 客户端Windows 客户端微信小程序
定价
高级版会员购买积分包购买API积分包
服务
文献检索文档翻译深度研究API 文档MCP 服务
关于我们
关于 Suppr公司介绍联系我们用户协议隐私条款
关注我们

Suppr 超能文献

核心技术专利:CN118964589B侵权必究
粤ICP备2023148730 号-1Suppr @ 2026

文献检索

告别复杂PubMed语法,用中文像聊天一样搜索,搜遍4000万医学文献。AI智能推荐,让科研检索更轻松。

立即免费搜索

文件翻译

保留排版,准确专业,支持PDF/Word/PPT等文件格式,支持 12+语言互译。

免费翻译文档

深度研究

AI帮你快速写综述,25分钟生成高质量综述,智能提取关键信息,辅助科研写作。

立即免费体验

一种新型射频调制疗法与常规物理治疗方式治疗肌筋膜性骨盆疼痛综合征的比较:一项初步随机试验

A novel radiofrequency modulation therapy versus routine physiotherapy modalities in treatment of myofascial pelvic pain syndrome: a pilot randomized trial.

作者信息

Ashtiani Elaheh Miri, Shokouhi Nasim, Mohseni Mona, Saedi Nafiseh, Haeri-Mehrizi Ali Asghar, Bakhtiyari Mahmood

机构信息

Emam Khomeini Hospital Pelvic Floor Clinic, Tehran University of Medical Sciences, Tehran, Iran.

Yas University Hospital, Tehran University of Medical Sciences, Tehran, Iran.

出版信息

Obstet Gynecol Sci. 2023 May;66(3):230-240. doi: 10.5468/ogs.22171. Epub 2023 Jan 20.

DOI:10.5468/ogs.22171
PMID:36693434
原文链接:https://pmc.ncbi.nlm.nih.gov/articles/PMC10191765/
Abstract

OBJECTIVE

The current study aimed to compare the effectiveness of novel radiofrequency modulation (RM) therapy with a tailored physiotherapy course for patients with chronic pelvic pain (CPP) of myofascial origin, also known as myofascial pelvic pain syndrome (MPPS).

METHODS

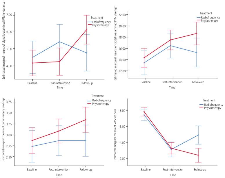
We enrolled 46 patients with myofascial CPP to compare the effectiveness of a 10-session routine physiotherapy course versus a 6-session RM with an integrated device (HIGGS) in alleviating MPPS morbidity and pelvic floor muscle (PFM) rehabilitation. The primary outcome was reduction in pelvic pain after the final session and in the follow-up period 3 months after the final intervention session.

RESULTS

The 6-session therapy in the RM group and the manual, biofeedback, and transcutaneous electrical nerve stimulation therapies in the physiotherapy group were similarly effective in reducing pain and improving PFM endurance after the final intervention session in each group, whereas perineometer readings and PFM strength were associated with greater improvements in the physiotherapy group.

CONCLUSION

The results of this study demonstrated comparable effectiveness of RM in the management of MPPS and improvement of PFM function compared to routine physiotherapy programs with fewer sessions of therapy.

摘要

目的

本研究旨在比较新型射频调制(RM)疗法与量身定制的物理治疗课程对肌筋膜源性慢性盆腔疼痛(CPP)患者(也称为肌筋膜盆腔疼痛综合征(MPPS))的疗效。

方法

我们招募了46例肌筋膜性CPP患者,比较10节常规物理治疗课程与6节使用集成设备(HIGGS)的RM疗法在减轻MPPS发病率和盆底肌肉(PFM)康复方面的效果。主要结局是最后一次治疗后以及最后一次干预治疗后3个月随访期内盆腔疼痛的减轻情况。

结果

RM组的6节治疗以及物理治疗组的手动、生物反馈和经皮电刺激神经疗法在每组最后一次干预治疗后减轻疼痛和改善PFM耐力方面同样有效,而物理治疗组的会阴压力计读数和PFM力量改善更大。

结论

本研究结果表明,与疗程较少的常规物理治疗方案相比,RM在MPPS管理和PFM功能改善方面具有相当的疗效。

https://cdn.ncbi.nlm.nih.gov/pmc/blobs/3d1d/10191765/2b70da1d655a/ogs-22171f2.jpg
https://cdn.ncbi.nlm.nih.gov/pmc/blobs/3d1d/10191765/55773cb1edc7/ogs-22171f1.jpg
https://cdn.ncbi.nlm.nih.gov/pmc/blobs/3d1d/10191765/2b70da1d655a/ogs-22171f2.jpg
https://cdn.ncbi.nlm.nih.gov/pmc/blobs/3d1d/10191765/55773cb1edc7/ogs-22171f1.jpg
https://cdn.ncbi.nlm.nih.gov/pmc/blobs/3d1d/10191765/2b70da1d655a/ogs-22171f2.jpg

相似文献

1
A novel radiofrequency modulation therapy versus routine physiotherapy modalities in treatment of myofascial pelvic pain syndrome: a pilot randomized trial.一种新型射频调制疗法与常规物理治疗方式治疗肌筋膜性骨盆疼痛综合征的比较:一项初步随机试验
Obstet Gynecol Sci. 2023 May;66(3):230-240. doi: 10.5468/ogs.22171. Epub 2023 Jan 20.
2
Observations on the Therapeutic Efficacy of Biomimetic Physiotherapy Combined with Manipulation Therapy in Managing Myofascial Pelvic Pain Syndrome in Women.仿生物理疗法联合手法治疗对女性肌筋膜性骨盆疼痛综合征的疗效观察。
Altern Ther Health Med. 2024 May;30(5):162-167.
3
Evaluating the Effectiveness of Radiofrequency Therapy and Manual Pelvic Fascial Release in Treating Myofascial Pelvic Pain.评估射频治疗和手动骨盆筋膜松解治疗肌筋膜性骨盆疼痛的有效性。
Int Urogynecol J. 2024 Jun;35(6):1219-1225. doi: 10.1007/s00192-024-05763-x. Epub 2024 May 9.
4
The effect of myofascial release and microwave diathermy combined with acupuncture versus acupuncture therapy in tension-type headache patients: A pragmatic randomized controlled trial.肌筋膜松解术与微波透热疗法联合针刺与针刺疗法治疗紧张型头痛患者的疗效:一项实用随机对照试验。
Physiother Res Int. 2018 Apr;23(2):e1700. doi: 10.1002/pri.1700. Epub 2017 Dec 20.
5
Myofascial Pelvic Pain: Best Orientation and Clinical Practice. Position of the European Association of Urology Guidelines Panel on Chronic Pelvic Pain.肌筋膜盆腔疼痛:最佳体位和临床实践。欧洲泌尿外科学会慢性盆腔疼痛指南小组立场。
Eur Urol Focus. 2023 Jan;9(1):172-177. doi: 10.1016/j.euf.2022.07.007. Epub 2022 Aug 6.
6
Consensus guidelines for the management of chronic pelvic pain.慢性盆腔疼痛管理的共识指南。
J Obstet Gynaecol Can. 2005 Sep;27(9):869-910. doi: 10.1016/s1701-2163(16)30993-8.
7
A randomized, double-blind, placebo-controlled trial of onabotulinumtoxin A trigger point injections for myofascial pelvic pain.一项肌筋膜性骨盆疼痛的肉毒毒素 A 触发点注射的随机、双盲、安慰剂对照试验。
Am J Obstet Gynecol. 2019 Nov;221(5):517.e1-517.e9. doi: 10.1016/j.ajog.2019.06.044. Epub 2019 Jun 27.
8
Acupuncture-like versus conventional transcutaneous electrical nerve stimulation in the management of active myofascial trigger points: A randomized controlled trial.针刺样与传统经皮电神经刺激治疗活动性肌筋膜触发点:一项随机对照试验。
J Bodyw Mov Ther. 2021 Oct;28:483-488. doi: 10.1016/j.jbmt.2021.06.016. Epub 2021 Jun 12.
9
The Overactive Pelvic Floor (OPF) and Sexual Dysfunction. Part 2: Evaluation and Treatment of Sexual Dysfunction in OPF Patients.盆腔过度活动症(OPF)和性功能障碍。第 2 部分:OPF 患者性功能障碍的评估和治疗。
Sex Med Rev. 2021 Jan;9(1):76-92. doi: 10.1016/j.sxmr.2020.04.002. Epub 2020 Jul 4.
10
[Physiotherapy of pelvic floor for incontinence].[盆底肌治疗尿失禁]
Arch Ital Urol Androl. 2001 Sep;73(3):143-6.

引用本文的文献

1
Matrix Radiofrequency Combined with Myofascial Manipulation in the Treatment of Myofascial Pelvic Pain: A Retrospective Study.射频联合肌筋膜手法治疗肌筋膜性骨盆疼痛的回顾性研究
Int Urogynecol J. 2025 Jul 10. doi: 10.1007/s00192-025-06202-1.

本文引用的文献

1
Role of para-cervical block in reducing immediate postoperative pain after total laparoscopic hysterectomy: a prospective randomized placebo-controlled trial.宫颈旁阻滞在减轻全腹腔镜子宫切除术后即刻疼痛中的作用:一项前瞻性随机安慰剂对照试验。
Obstet Gynecol Sci. 2021 Jan;64(1):122-129. doi: 10.5468/ogs.20271. Epub 2021 Jan 12.
2
Comparison of pain and proper sample status according to usage of tenaculum and analgesia: a randomized clinical trial.根据宫颈钳使用情况和镇痛措施比较疼痛及样本状态是否适宜:一项随机临床试验
Obstet Gynecol Sci. 2020 Jul;63(4):506-513. doi: 10.5468/ogs.19185. Epub 2020 Jun 19.
3
Short-wave diathermy in the clinical management of musculoskeletal disorders: a pilot observational study.
短波透热疗法在肌肉骨骼疾病临床管理中的应用:一项初步观察性研究。
Int J Biometeorol. 2020 Jun;64(6):981-988. doi: 10.1007/s00484-019-01806-x. Epub 2019 Nov 20.
4
Effect of one session of tDCS on the severity of pain in women with chronic pelvic pain.单次经颅直流电刺激对慢性盆腔疼痛女性疼痛严重程度的影响。
J Bodyw Mov Ther. 2019 Jul;23(3):678-682. doi: 10.1016/j.jbmt.2017.12.014. Epub 2017 Dec 24.
5
Pelvic pain rehabilitation.盆腔疼痛康复
Turk J Phys Med Rehabil. 2018 Nov 4;64(4):291-299. doi: 10.5606/tftrd.2018.3616. eCollection 2018 Dec.
6
Comparing the effectiveness of functional electrical stimulation via sexual cognitive/behavioral therapy of pelvic floor muscles versus local injection of botulinum toxin on the sexual functioning of patients with primary vaginismus: a randomized clinical trial.比较通过盆底肌肉性认知/行为疗法进行功能性电刺激与局部注射肉毒杆菌毒素对原发性阴道痉挛患者性功能的有效性:一项随机临床试验。
Int Urogynecol J. 2019 Nov;30(11):1821-1828. doi: 10.1007/s00192-018-3836-7. Epub 2018 Dec 1.
7
Physiotherapy interventions for patients with chronic pelvic pain: A systematic review of the literature.物理疗法干预慢性盆腔疼痛患者的系统评价文献综述。
Physiother Theory Pract. 2019 Dec;35(12):1131-1138. doi: 10.1080/09593985.2018.1472687. Epub 2018 May 14.
8
Pelvic musculoskeletal dysfunctions in women with and without chronic pelvic pain.患有和未患有慢性盆腔疼痛的女性的骨盆肌肉骨骼功能障碍
J Bodyw Mov Ther. 2018 Jan;22(1):92-96. doi: 10.1016/j.jbmt.2017.05.001. Epub 2017 May 3.
9
Comprehensive pelvic floor physical therapy program for men with idiopathic chronic pelvic pain syndrome: a prospective study.针对特发性慢性盆腔疼痛综合征男性患者的综合盆底物理治疗方案:一项前瞻性研究。
Transl Androl Urol. 2017 Oct;6(5):910-915. doi: 10.21037/tau.2017.08.17.
10
Non-invasive stimulation techniques to relieve abdominal/pelvic pain: Is more always better?缓解腹部/盆腔疼痛的非侵入性刺激技术:越多越好吗?
World J Gastroenterol. 2017 May 28;23(20):3758-3760. doi: 10.3748/wjg.v23.i20.3758.