Epiconcept, Paris, France.
National Centre for Microbiology, Institute of Health Carlos III, Madrid, Spain.
Influenza Other Respir Viruses. 2023 Jan;17(1):e13069. doi: 10.1111/irv.13069. Epub 2022 Nov 21.
In 2021-2022, influenza A viruses dominated in Europe. The I-MOVE primary care network conducted a multicentre test-negative study to measure influenza vaccine effectiveness (VE).
Primary care practitioners collected information on patients presenting with acute respiratory infection. Cases were influenza A(H3N2) or A(H1N1)pdm09 RT-PCR positive, and controls were influenza virus negative. We calculated VE using logistic regression, adjusting for study site, age, sex, onset date, and presence of chronic conditions.
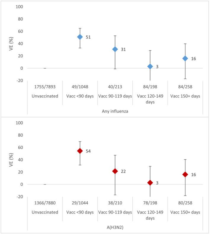
Between week 40 2021 and week 20 2022, we included over 11 000 patients of whom 253 and 1595 were positive for influenza A(H1N1)pdm09 and A(H3N2), respectively. Overall VE against influenza A(H1N1)pdm09 was 75% (95% CI: 43-89) and 81% (95% CI: 45-93) among those aged 15-64 years. Overall VE against influenza A(H3N2) was 29% (95% CI: 12-42) and 25% (95% CI: -41 to 61), 33% (95% CI: 14-49), and 26% (95% CI: -22 to 55) among those aged 0-14, 15-64, and over 65 years, respectively. The A(H3N2) VE among the influenza vaccination target group was 20% (95% CI: -6 to 39). All 53 sequenced A(H1N1)pdm09 viruses belonged to clade 6B.1A.5a.1. Among 410 sequenced influenza A(H3N2) viruses, all but eight belonged to clade 3C.2a1b.2a.2.
Despite antigenic mismatch between vaccine and circulating strains for influenza A(H3N2) and A(H1N1)pdm09, 2021-2022 VE estimates against circulating influenza A(H1N1)pdm09 were the highest within the I-MOVE network since the 2009 influenza pandemic. VE against A(H3N2) was lower than A(H1N1)pdm09, but at least one in five individuals vaccinated against influenza were protected against presentation to primary care with laboratory-confirmed influenza.
2021-2022 年期间,欧洲以甲型流感病毒为主。I-MOVE 初级保健网络开展了一项多中心病例对照研究,以衡量流感疫苗的有效性(VE)。
初级保健医生收集急性呼吸道感染患者的信息。病例为甲型流感 A(H3N2)或 A(H1N1)pdm09 RT-PCR 阳性,对照为流感病毒阴性。我们使用逻辑回归计算 VE,调整研究地点、年龄、性别、发病日期和慢性病存在情况。
2021 年第 40 周至 2022 年第 20 周期间,我们纳入了超过 11000 名患者,其中 253 名和 1595 名患者甲型流感 A(H1N1)pdm09 和 A(H3N2)阳性。15-64 岁人群中,针对甲型流感 A(H1N1)pdm09 的总体 VE 为 75%(95%CI:43-89)和 81%(95%CI:45-93)。针对甲型流感 A(H3N2)的总体 VE 为 29%(95%CI:12-42)和 25%(95%CI:-41 至 61),33%(95%CI:14-49)和 26%(95%CI:-22 至 55),分别为 0-14 岁、15-64 岁和 65 岁以上人群。流感疫苗接种目标人群中甲型流感 A(H3N2)的 VE 为 20%(95%CI:-6 至 39)。53 株测序的甲型流感 A(H1N1)pdm09 病毒均属于 6B.1A.5a.1 分支。410 株测序的甲型流感 A(H3N2)病毒中,除 8 株外,均属于 3C.2a1b.2a.2 分支。
尽管甲型流感 A(H3N2)和 A(H1N1)pdm09 的疫苗与流行株之间存在抗原错配,但 I-MOVE 网络自 2009 年流感大流行以来,针对循环的甲型流感 A(H1N1)pdm09 的 2021-2022 年 VE 估计值最高。针对甲型流感 A(H3N2)的 VE 低于 A(H1N1)pdm09,但至少五分之一接种流感疫苗的人在初级保健中出现经实验室确诊的流感的风险得到了保护。