Suppr超能文献

双序列定义增加了序列定义的大分子的数据存储容量。

Dual sequence definition increases the data storage capacity of sequence-defined macromolecules.

作者信息

Wetzel Katharina S, Frölich Maximiliane, Solleder Susanne C, Nickisch Roman, Treu Philipp, Meier Michael A R

机构信息

Laboratory of Applied Chemistry, Institute of Organic Chemistry (IOC), Karlsruhe Institute of Technology (KIT), Straße am Forum 7, 76131, Karlsruhe, Germany.

Laboratory of Applied Chemistry, Institute of Biological and Chemical Systems-Functional Molecular Systems (IBCS-FMS), Karlsruhe Institute of Technology (KIT), Hermann-von-Helmholtz-Platz 1, 76344, Eggenstein-Leopoldshafen, Germany.

出版信息

Commun Chem. 2020 May 20;3(1):63. doi: 10.1038/s42004-020-0308-z.

Abstract

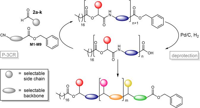
Sequence-defined macromolecules offer applications in the field of data storage. Challenges include synthesising precise and pure sequences, reading stored information and increasing data storage capacity. Herein, the synthesis of dual sequence-defined oligomers and their application for data storage is demonstrated. While applying the well-established Passerini three-component reaction, the degree of definition of the prepared monodisperse macromolecules is improved compared to previous reports by utilising nine specifically designed isocyanide monomers to introduce backbone definition. The monomers are combined with various aldehyde components to synthesise dual-sequence defined oligomers. Thus, the side chains and the backbones of these macromolecules can be varied independently, exhibiting increased molecular diversity and hence data storage capacity per repeat unit. In case of a dual sequence-defined pentamer, 33 bits are achieved in a single molecule. The oligomers are obtained in multigram scale and excellent purity. Sequential read-out by tandem ESI-MS/MS verifies the high data storage capacity of the prepared oligomers per repeat unit in comparison to other sequence defined macromolecules.

摘要

序列定义的大分子在数据存储领域有应用。挑战包括合成精确且纯净的序列、读取存储的信息以及增加数据存储容量。在此,展示了双序列定义低聚物的合成及其在数据存储中的应用。在应用成熟的Passerini三组分反应时,通过使用九种专门设计的异氰化物单体来引入主链定义,与先前报道相比,所制备的单分散大分子的定义程度得到了提高。这些单体与各种醛组分结合以合成双序列定义的低聚物。因此,这些大分子的侧链和主链可以独立变化,展现出增加的分子多样性,从而每个重复单元的数据存储容量增加。对于双序列定义的五聚体,单个分子可实现33位。这些低聚物以多克规模获得且纯度极高。与其他序列定义的大分子相比,通过串联电喷雾电离质谱/质谱(ESI-MS/MS)进行的顺序读出验证了所制备的低聚物每个重复单元具有高数据存储容量。

https://cdn.ncbi.nlm.nih.gov/pmc/blobs/b321/9814518/97594dac10d0/42004_2020_308_Fig1_HTML.jpg

文献AI研究员

20分钟写一篇综述,助力文献阅读效率提升50倍。

立即体验

用中文搜PubMed

大模型驱动的PubMed中文搜索引擎

马上搜索

文档翻译

学术文献翻译模型,支持多种主流文档格式。

立即体验